Amines
Get insights from 163 questions on Amines, answered by students, alumni, and experts. You may also ask and answer any question you like about Amines
Follow Ask QuestionQuestions
Discussions
Active Users
Followers
New question posted
a month agoNew question posted
2 months agoNew answer posted
2 months agoContributor-Level 10
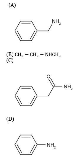
Due to inter molecular -Bonding in , than is more soluble and having more B.P point than A.
New question posted
2 months agoTaking an Exam? Selecting a College?
Get authentic answers from experts, students and alumni that you won't find anywhere else
Sign Up on ShikshaOn Shiksha, get access to
- 65k Colleges
- 1.2k Exams
- 686k Reviews
- 1800k Answers








