Sequences and Series
Get insights from 207 questions on Sequences and Series, answered by students, alumni, and experts. You may also ask and answer any question you like about Sequences and Series
Follow Ask QuestionQuestions
Discussions
Active Users
Followers
New answer posted
12 months agoContributor-Level 10
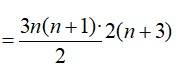
70. The given series is 3 8 + 11 + 9 14 + …
So, an= (nth term of 3, 6, 9, …) (nth term of 8, 11, 14, …)
i e, a = 3, d = 6- 3 = 3i e, a= 8, d = 11- 8 = 3
= [3 + (n- 1) 3] [8 + (n -1) 3]
= [3 + 3n- 3] [8 + 3n -3]
= 3n (3n + 5)
= 9n2 + 15n.
So, Sn = 9∑n2 + 15∑ n.

= 3n (n + 1) (n + 3)
New answer posted
12 months agoContributor-Level 10
69. The given series is 52 + 62 + 72 + … + 202
This can be rewritten as (12 +22 + 32 + 42 + 52 + 62 + 72 + … + 202) - (12 + 22 + 32 + 42)
So, sum = (12 + 22 + 32 + 42 … + 202) - (12 + 22+ 32 + 42)
= 2870 30
= 2840.
New answer posted
12 months agoContributor-Level 10
68. The given series is
So, an =
So. Putting n = 1, 2, 3….n.
a1 =
a2 =
a3 =
So, adding. L.H.S and R.H.S. up ton terms
a1 + a2 + a3 + … + an =
Sn = 1 { equal terns cancelled out}
Sn =
Sn =
New answer posted
12 months agoContributor-Level 10
67. The given series is 3 * 12 + 5 * 22 + 7 * 32 + ….
So,an = (nth term of A P 3, 5, 7, .) (nth term of A P 1, 2, 3, ….)2
a = 3, d = 5 -3 = 2a = 1, d = 2 -1 = 1.
= [3 + (n- 1) 2] [1 + (n- 1) 1]2
=[3 + 2n- 2] [1 + n- 1]2
(2n + 1)(n)2
= 2n3 + n2
So, = 5n2∑n3 + ∑n2
New answer posted
12 months agoContributor-Level 10
65. Given series is 1*2+2 *3+3* 4+4* 5+…
So, an (nth term of A.P 1, 2, 3…) (nth term of A.P. 2, 3, 4, 5…)
i e, a = 2, d = 2 -1 = 1i e, a = 2, d = 3 - 2 = 1
= [1 + (n- 1) 1] [2 + (n -1) 1]
= [1 + n- 1] [2 + n -1]
= n (n -1)
= n2-n.
Sn (sum of n terms of the series) = ∑n2 + ∑n.
Sn = +
=
=
New answer posted
12 months agoContributor-Level 10
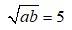
64. Let a and b be the roots of quadratic equation
So, A.M = 8
a + b =16 ….I
G.M. =

ab = 25…. II
We know that is a quadratic equation
(sum of roots) + product of roots = 0
using I and II
Which is the reqd. quadratic equation
New answer posted
12 months agoContributor-Level 10
63. Given,
Principal value, amount deposited, P= ?500
Interest Rate, R= 10
Using compound interest = simple interest +
Amount at the end of 1st year
=
= ?500* (1.1)
Amount at the end of 2nd year
=
=
= ?500 (1.1)2
Similarly,
Amount at the end of 3rd year = ?500 (1.1)3
So, the amount will form a G.P.
? 500 (1.1)? 500 (1.1)2?500 (1.1)3, ……….
After 10 years = ?500 (1.1)10
New answer posted
12 months agoContributor-Level 10
62. Since the numbers of bacteria doubles every hour. The number after every hour will be a G.P
So, a=30
r=2
At end of 2nd hour, a3 (or 3rd term) =
= 30*24
= 120
At end of 4th hour, a5 (r 4th term) =
= 30*24
= 30*16
= 480
Following the trend,
And at the end of nth hour, an+1=
= 30 *2n
New answer posted
12 months agoContributor-Level 10
60. Let a and b be the two numbers and a>b so a-b = (+ ve)
So, sum of two numbers = 6. G.M of a and b

Taking an Exam? Selecting a College?
Get authentic answers from experts, students and alumni that you won't find anywhere else
Sign Up on ShikshaOn Shiksha, get access to
- 66k Colleges
- 1.2k Exams
- 690k Reviews
- 1850k Answers


