Sequences and Series
Get insights from 207 questions on Sequences and Series, answered by students, alumni, and experts. You may also ask and answer any question you like about Sequences and Series
Follow Ask QuestionQuestions
Discussions
Active Users
Followers
New answer posted
12 months agoContributor-Level 10
27. Given,
Sum of n terms of AP, Sn=3n2+5n
Put n=1,
S1=3 * 12+5 * 1=3+5=8=a1 (? S1=sum of 1* terms of AP)
Put n=2,
S2=3 * 22+5 * 2=3 * 4+10=12+10 =22
=a1+a2 (? Sum of first two term of A.P)
So, a1+a2=22
8 +a2=22
a2=22 – 8
a2=14
? First term, a=a1=8
Common difference, d=a2 – a1=14 – 8=6
Now, given that, am = 164.
a+ (m – 1)d=164.
8+ (m – 1)6=164.
(m – 1)6=164 – 8.
m – 1=
m=26+1
m=27.
New answer posted
12 months agoContributor-Level 10
26. Let a and d be the first term and common difference of A.P.
Then,
Dividing both sides by m/n we get,
[2a+(n – 1)d]n=m[2a+(n – 1)d].
2an+dmn – dn=2am+dmn – dm.
2an – 2am=dn – dm+2mn – dmn
2a(n – m)=d(n – m)
d=
d=2a.
Now, Ratio of mth and nthterm
=
Putting d=2a in the above we get,
ratio of mth and nth term =
=
=
=
= .
New answer posted
12 months agoContributor-Level 10
25. Let e and d the first term and common difference of an AP.
Then,
Sum of first p terms, Sp=a.
.
Similarly, Sq=b
----------------(2)
And. Sr=C
-----------------(3)
So, L.H.S. + (? given)
= + +
= + +
=c[q – r+r – p+p – q]+ [(p – 1)(q – r)+(q – 1)(r – p)+(r – 1)(p – q)]
=C * 0 + [pq – pr – q+r+qr – pq – r+p+pr=qr – p+q]
=0+ [pq – pq – pr+pr – q+q+r – r+qr+qr+p – p]
=
=0.
=R.H.S.
New answer posted
12 months agoContributor-Level 10
24. Let a and d be the first elements and common different of the A.P.
Then, Sum of first p terms of the AP=Sum of first q terms of A.P
Sp=Sq
p [2a+pd – d]=q [2a+qd – d]
2ap+p2d – pd=2aq+q2d – qd
2ap – 2aq+p2d – q2d – pd+qd=0
2a (p – q)+ [p2 – q2 – p+q]d=0.
2a (p – q)+ [ (p – q) (p+q) – (p – q)]d=0
(p – q) {2a+ [ (p+q) – 1]d}=0
Deviding both sides by p – q,
2a+ [ (p+q) –1]d=0.
And multiplying by P+Q/2 we get,
which in the form where n=p+q.
Sp+q=0.
New answer posted
12 months agoContributor-Level 10
23. Let a1, a2 be the first terms and d1, d2 be the common difference of the first term A.P.S
So,
---------------(1)
The ratio of their 18thterms.
=
=
= --------(2)
Comparing eqn (1) and (2),
=
So, ratio of their 18th terms =
New answer posted
12 months agoContributor-Level 10
22. Given, sum of n terms of A.P, Sn= (pn+qn2), p&q are constants substituting n=1,
S1=p* 1+q* 12=p+q=a1 [sum upto1st term only]
And substituting n=2,
S2=p* 2+q* 22=2p+4q=a1+q2 [sum upto 2ndtern only]
So, a1+a2=2p+4q
⇒ a2=2p+4q – a1=2p+4q – (p+q)=2p – p+4q – q
⇒ a2=p+3q
So, common difference, d=a2 – a1
= (p+3q) – (p+q)
=p+3q – p – q
=2q.
New answer posted
12 months agoContributor-Level 10
21. Given, ak =5k+1
Putting k =1,
a1 =5 * 1+1=5+1=6.
an =5n+1=l
So, sum of unto n teams of the AP, Sn =
Sn =
= .
New answer posted
12 months agoContributor-Level 10
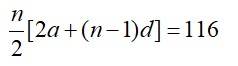
20. The given A.P. is 25,22,19, …
So, a=25
d=22 – 25= –3
Given that, sum of first n terms of the AP=116.

n [2 * 25+ (n – 1) (–3)]=116 * 2
n [50 – 3n+3]=232
n [53 – 3n]=232 .
53n – 3n2=232.
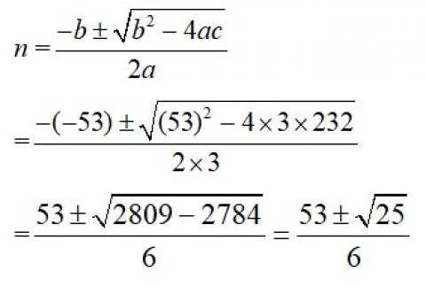
3n2 – 53n+232.
Using quadratic formula, a=3, b= –53, c=232.

n = or
= or
= or 8.
As n N, n=8.
? Last term=a+ (n – 1)d
=a+ (8 – 1)d
=25+7* (–3)
=25 – 21
=4.
New answer posted
12 months agoContributor-Level 10
19. Let a and d be the first term and the common difference of an A.P.
Then, given ap =
a+(p – 1)d = --------(1)
and aq =
a+(q – 1)d = ---------(2)
Subtracting eqn (2) from (1) we get,
a+(p – 1)d – [a+(q – 1)d]=
a+(p – 1)d– a–(q– 1)d=
[(p – 1)–(q – 1)]d=
[p – 1 – q+1]d=
[p – q]d= .
d= .
Putting d= in eqn (1) we get,
.
.
So, sum of first pq terms,
= .
=
New answer posted
12 months agoContributor-Level 10
18. Let the sum of n farms of the A.P –6, , –5, …. gives –25.
Then,

From the given A.P.
a= –6
d= –
So, –25=
–25 * 2=n
–50=n
–50=n
–50 * 2 =n[n – 25]=n2 – 25n
n2 – 25n+100=0.
n2 – 5n – 20n+100=0
n(n – 5) – 20(n – 5)=0
(n – 5)(n – 20)=0
So, n=5 and n=20.
When n=5
= –25.
When n=20
= = –120 + 19 * 5 = –120 + 95 = –25.
Taking an Exam? Selecting a College?
Get authentic answers from experts, students and alumni that you won't find anywhere else
Sign Up on ShikshaOn Shiksha, get access to
- 66k Colleges
- 1.2k Exams
- 690k Reviews
- 1850k Answers
