Sequences and Series
Get insights from 207 questions on Sequences and Series, answered by students, alumni, and experts. You may also ask and answer any question you like about Sequences and Series
Follow Ask QuestionQuestions
Discussions
Active Users
Followers
New answer posted
7 months agoContributor-Level 10
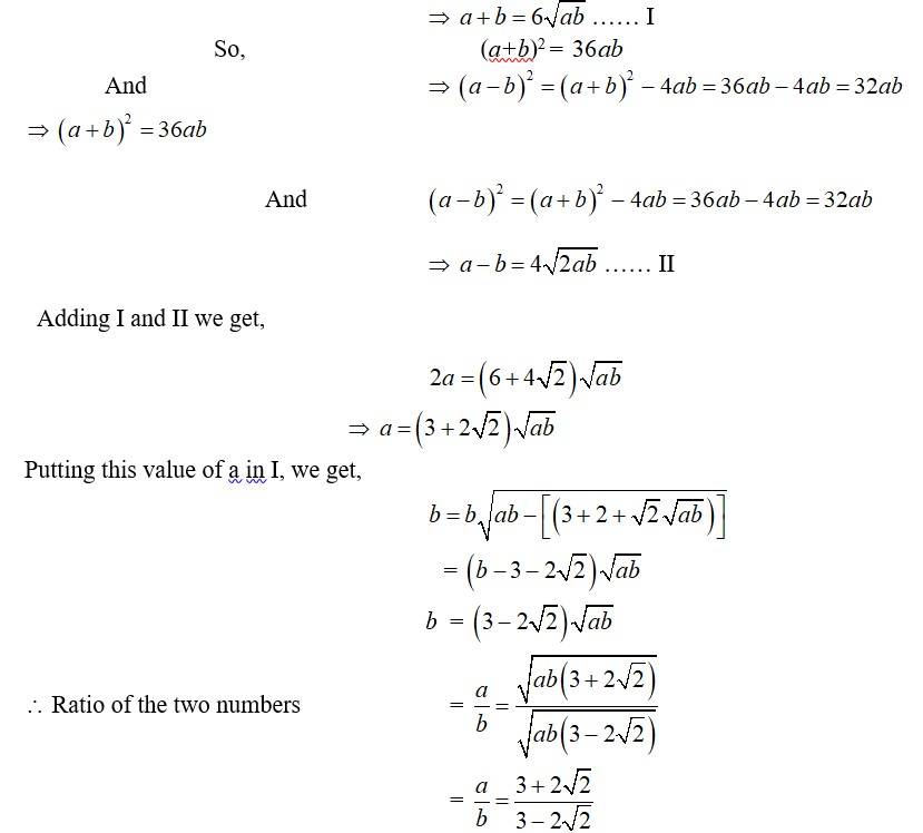
60. Let a and b be the two numbers and a>b so a-b = (+ ve)
So, sum of two numbers = 6. G.M of a and b

New answer posted
7 months agoContributor-Level 10
58. Let G1 and G2 be the two numbers between 3 and 81 so that 3, G1, G2, 81 is in G.P.
So, a = 3
a4 = ar3 = 81 (when r = common ratio)
r3 = 27
r3 = 33
r = 3
So, G1 = ar = 33=9 and G2 = ar2 3´ (3)2 =27
New answer posted
7 months agoContributor-Level 10
57. Let r be the common ratio of the G.P. then,
First term = a1 = a = a
So, L.H.S.=
=
=
=
=
R.H.S.=
=
=
= { }
=
L.H.S. = R.H.S.
New answer posted
7 months agoContributor-Level 10
56. Let a and r be the first term and common difference of the G.P
Thus, Sum of the first on term,
Let Sn = sum of term from (n+1)th to (2n)th term
=
=
[ the above is a G.P. with first term arx and common ratio =
and number of term from (2n)th to (n+1)th = n
So,
=
=
New answer posted
7 months agoContributor-Level 10
55. Given, first term and xth term and a and b
Let r be the common ratio of the G.P.
Then,
Product of x terms, p= ……
p= ….
= (a *a* ….n term)(r´r2´r3 …. )
=
p =
So, [We know that,
= [
= [So,
=
= last term = b (given)]
=
New answer posted
7 months agoContributor-Level 10
54. Let a and r be the first term and common ratio of the G.P.
Then, ap = a
…… I
and aq = b
…….II
Also, ar = c
….III
Given, L.H.S. =
using I, II and III
A0 R[pqprq+r+qrpqr+p+prqrp+q]
= R
= 1
= R.H.S
New answer posted
7 months agoContributor-Level 10
53. Let the four numbers is G.P. be a, ar, ar2, ar3
Given,
I
And
II
Dividing II by I we get,
r = 2
So, putting r = 2 in I we get ,
a = 3
The four numbers are 3, 3´(-2), 3´(-2)2, 3´(-2)3
3, 6, 12, 24
New answer posted
7 months agoContributor-Level 10
The product of corresponding terms of the given sequence are
=
=
So, looking at the sequence forms a G.P.
(above the)
With common ratio =
Taking an Exam? Selecting a College?
Get authentic answers from experts, students and alumni that you won't find anywhere else
Sign Up on ShikshaOn Shiksha, get access to
- 66k Colleges
- 1.2k Exams
- 681k Reviews
- 1800k Answers


