Moving Charges and Magnetism
Get insights from 125 questions on Moving Charges and Magnetism, answered by students, alumni, and experts. You may also ask and answer any question you like about Moving Charges and Magnetism
Follow Ask QuestionQuestions
Discussions
Active Users
Followers
New answer posted
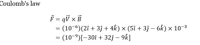
2 months agoContributor-Level 10
There are two types of electricity - static and current. The current electricity is divided into Alternating Current (AC) and Direct Current (DC). Based on the production methods, electricity is divided into - heat, chemical, pressure, light and magnetism.
New answer posted
2 months agoContributor-Level 10
There are four types of power supply - switch-mode power supplies, linear power supplies, linear power supplies, and programmable power supplies
New answer posted
2 months agoContributor-Level 10
According to this law, at any point, magnetic field due to a tiny current element is directly proportional to the current element length.
New answer posted
2 months agoContributor-Level 10
Tesla (T) is the SI unit of magnetic field. Tesla is named after Nikola Tesla.
New answer posted
2 months agoContributor-Level 10
The different types of magnetism are - Diamagnetism, Paramagnetism, and Ferromagnetism.
New answer posted
2 months agoBeginner-Level 5
The exact formula for the magnetic force per unit length between two parallel current-carrying conductors:
For more information, check: Force between parallel conductors
New answer posted
2 months agoContributor-Level 10
M? = (√3/4 a²)I * 4 = √3I² no. of turns = 4
M? = a²I * 3 = 3Ia² no. of turns = 3
New question posted
3 months agoTaking an Exam? Selecting a College?
Get authentic answers from experts, students and alumni that you won't find anywhere else
Sign Up on ShikshaOn Shiksha, get access to
- 65k Colleges
- 1.2k Exams
- 681k Reviews
- 1800k Answers

