Class 11th
Get insights from 8k questions on Class 11th, answered by students, alumni, and experts. You may also ask and answer any question you like about Class 11th
Follow Ask QuestionQuestions
Discussions
Active Users
Followers
New answer posted
3 months agoContributor-Level 10
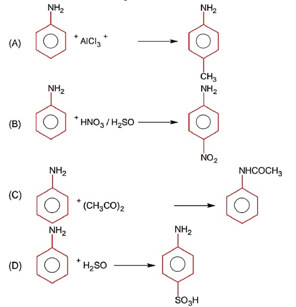
Aniline being a base does not give Friedel Craft reaction because it react with AlCl3 used in Friedel Craft reaction.
New answer posted
3 months agoContributor-Level 10
Ba has outer electronic configuration 6s2.
CaC2O4 is insoluble in water.
Compound of Li are covalent so soluble in organic solvent.
Na forms strong monoacidic base.
New answer posted
3 months agoContributor-Level 10
3-Ethylhex-3-ene will not show stereo isomerism
Methylhex-1-ene will show steroisomerism (optical isomerism)
4-Methylhex-1-ene will show stereoisomerism (optical) since it has one chiral carbon
New answer posted
3 months agoContributor-Level 10
Diborane is produced when NaBH4 is reacted with I2

New answer posted
3 months agoContributor-Level 10
circum centre =
Mid point of BC =
Equation of OD is y = 2x +
New question posted
3 months agoNew answer posted
3 months agoContributor-Level 10
Species | Sigma bonds | lone pairs | Hybridisation |
SF4 | 4 | 1 | Sp3d |
IF5 | 5 | 1 | Sp3d2 |
2 | 0 | Sp | |
4 | 0 | Sp3 |
Taking an Exam? Selecting a College?
Get authentic answers from experts, students and alumni that you won't find anywhere else
Sign Up on ShikshaOn Shiksha, get access to
- 65k Colleges
- 1.2k Exams
- 679k Reviews
- 1800k Answers









