Haloalkanes and Haloarenes
Get insights from 279 questions on Haloalkanes and Haloarenes, answered by students, alumni, and experts. You may also ask and answer any question you like about Haloalkanes and Haloarenes
Follow Ask QuestionQuestions
Discussions
Active Users
Followers
New answer posted
5 months agoContributor-Level 10
This is a multiple choice answer as classified in NCERT Exemplar
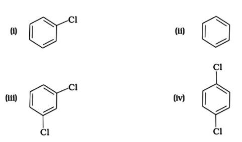
The correct answer is (i). Sandmeyer's reaction can be used to synthesise haloarenes from amines. A primary aromatic amine that has been dissolved or suspended in cold aqueous mineral acid is treated with sodium nitrite to create a diazonium salt in this procedure. When this freshly produced salt is combined with cuprous chloride, the diazonium group is replaced with - Cl, resulting in aryl chloride. Option I is the chemical Y, which is an aryl chloride.
New answer posted
5 months agoContributor-Level 10
This is a multiple choice answer as classified in NCERT Exemplar
The Correct Answer is Option (iv) Because the tertiary carbocation is the most stable, it interacts the most with concentrated HCl. As a result, for tertiary alcohol, room temperature is sufficient for the reaction. However, for primary and secondary alcohols, the presence of a catalyst (ZnCl2) is required.
As a result, option (iv) is accurate.
New answer posted
5 months agoContributor-Level 10
This is a multiple choice answer as classified in NCERT Exemplar
The Correct Answer is Option (ii). Haloalkanes are made by combining alcohols with halogen acids, in which the hydroxyl group of the alcohol is replaced by the halogen. Primary, secondary, and tertiary alcohols are represented by options (A), (B), and (C). Tertiary alcohols are more reactive than secondary and primary alcohols, and they generate haloalkanes from haloacids without the need of catalysts at ambient temperature. Alcohols have a reactivity order of 3? >2? >1? . As a result, the proper option is (ii).
New answer posted
5 months agoContributor-Level 10
This is a short answer type question as classified in NCERT Exemplar
Ambident nucleophiles are groups that include two nucleophilic centres, such as cyanide and nitrile. In the cyanide group, linkage can occur from both the carbon and nitrogen ends. The carbon end functions as a greater nucleophile in an aqueous media because it leads to the creation of a C-C sbond, which is stronger than a N-C bond in the identical molecule.
New answer posted
5 months agoContributor-Level 10
This is a short answer type question as classified in NCERT Exemplar
In the presence of ZnCl2, ethanol can be treated with HCl to produce chloroethane. Iodoethane is formed when chloroethane reacts with NaI.
C2H5OH+HCl→ZnCl2? C2H5Cl→ NaI ? C2H5I
New answer posted
5 months agoContributor-Level 10
This is a short answer type question as classified in NCERT Exemplar
Resonance effect: Because the C – X bond has the characteristics of a partial double bond, it is extremely difficult to break.
(i) The C - X bond in haloarenes is extremely less reactive to nucleophilic groups
(ii) The C atom linked to the halogen is sp2 hybridised in the C – X bond. Carbon that has been sp2 hybridised with a higher s-character is more electronegative in nature and can retain the electron pair of the C - X bond more tightly than carbon that has been sp3 hybridised with a lower s -character in haloalkanes.

New answer posted
5 months agoContributor-Level 10
This is a short answer type question as classified in NCERT Exemplar
The reaction of HCl and isobutylene is given as:

Steps in reaction involves are:

New answer posted
5 months agoContributor-Level 10
This is a short answer type question as classified in NCERT Exemplar
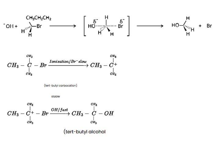
Tert-butyl bromide is substituted via the SN1 process because it may produce a stable carbocation in the first step after the halide group is cleaved. The nucleophile OH - interacts with the carbocation next. The primary halide n-butylbromide, on the other hand, is unable to create a stable carbocation, thus it undergoes the SN2 process, which is a one-step substitution involving OH - attack and concomitant X - leaving to generate n-butyl alcohol.

New answer posted
5 months agoContributor-Level 10
This is a short answer type question as classified in NCERT Exemplar
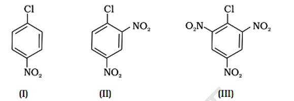
Because of resonance stabilisation, aryl halides are less reactive to nucleophilic substitution. The inclusion of a -NO2, an electron-withdrawing group in the ortho or para position, enhances the aryl halide's sensitivity to substitution. The more electron withdrawing groups there are in the aryl halide, the more reactive it is. The decreasing sequence of reactivity, according to this theory, is III > II > I.
New answer posted
5 months agoContributor-Level 10
This is a short answer type question as classified in NCERT Exemplar
Nucleophilic substitution and elimination (β-elimination) reactions are both possible with alkyl halides.
Although, with the appropriate reaction conditions and reagent selection, a specific product can be produced. In most cases, the elimination reaction is best suited to strong and bigger bases, as well as high temperatures. The substitution reaction, on the other hand, is best for weaker and smaller bases at lower temperatures.
CH3CH2Br+alc.KOH
KCH2=CH2 + HBr
CH3CH2Br + aqKOH→CH3CH2OH + KBr
Taking an Exam? Selecting a College?
Get authentic answers from experts, students and alumni that you won't find anywhere else
Sign Up on ShikshaOn Shiksha, get access to
- 65k Colleges
- 1.2k Exams
- 681k Reviews
- 1800k Answers





