Probability
Get insights from 304 questions on Probability, answered by students, alumni, and experts. You may also ask and answer any question you like about Probability
Follow Ask QuestionQuestions
Discussions
Active Users
Followers
New answer posted
7 months agoContributor-Level 10
11.00
Let probability of hitting the target = p ⇒ p=1/2
Let n be the minimum number of bombs
According to given condition
1 - (?C?P?(1-P)? + ?C?P¹(1-P)?¹) ≥ 99/100
⇒ 2? ≥ (n+1)100
n=10 ⇒ 2¹? ≥ 1100 Reject
n=11 ⇒ 2¹¹ ≥ 1200 Select
New answer posted
8 months agoContributor-Level 10
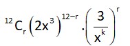
gen term = 
For constant term
36 – 3r – rk = 0
for r = 1, 2, 4
12Cr212-r>28
Possible values of k = 3, 1
New answer posted
8 months agoContributor-Level 10
P (En) = n/36 for n = 1, 2, 3, …., 8
If one of the number from {1, 2, ….8} is left then total 29 by 3 ways
Similarly by leaving terms more 2 or 3 we get 16 more combinations
Total number of different set a possible is 16 + 3
= 19
New answer posted
8 months agoContributor-Level 10
This is a True or False Type Questions as classified in NCERT Exemplar
Taking an Exam? Selecting a College?
Get authentic answers from experts, students and alumni that you won't find anywhere else
Sign Up on ShikshaOn Shiksha, get access to
- 66k Colleges
- 1.2k Exams
- 687k Reviews
- 1800k Answers

