Probability
Get insights from 304 questions on Probability, answered by students, alumni, and experts. You may also ask and answer any question you like about Probability
Follow Ask QuestionQuestions
Discussions
Active Users
Followers
New answer posted
9 months agoContributor-Level 10
This is a True or False Type Questions as classified in NCERT Exemplar
Sol:
New answer posted
9 months agoContributor-Level 10
This is a True or False Type Questions as classified in NCERT Exemplar
Sol:
New answer posted
9 months agoContributor-Level 10
This is a True or False Type Questions as classified in NCERT Exemplar
Sol:
New answer posted
9 months agoContributor-Level 10
This is a Objective Type Questions as classified in NCERT Exemplar

New answer posted
9 months agoContributor-Level 10
This is a Objective Type Questions as classified in NCERT Exemplar
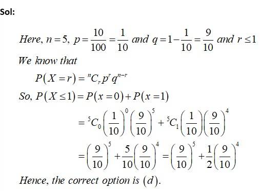
Sol:
New answer posted
9 months agoContributor-Level 10
This is a Objective Type Questions as classified in NCERT Exemplar
Sol:
New answer posted
9 months agoContributor-Level 10
This is a Objective Type Questions as classified in NCERT Exemplar

New answer posted
9 months agoContributor-Level 10
This is a Objective Type Questions as classified in NCERT Exemplar
Sol:
New answer posted
9 months agoContributor-Level 10
This is a Objective Type Questions as classified in NCERT Exemplar
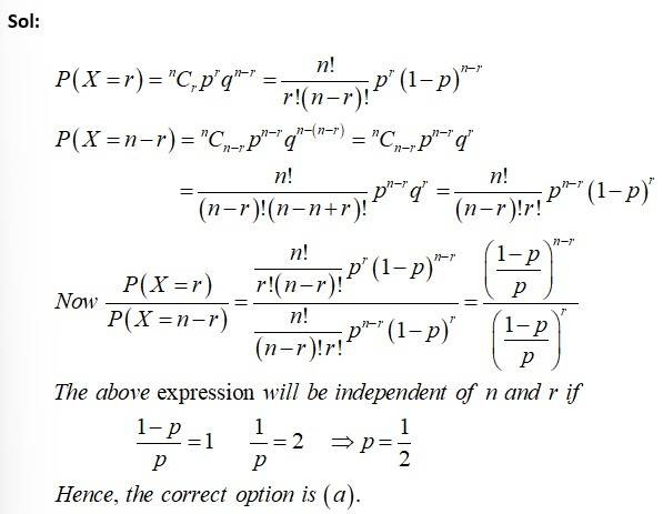
Sol:
New answer posted
9 months agoContributor-Level 10
This is a Objective Type Questions as classified in NCERT Exemplar
Sol:

Taking an Exam? Selecting a College?
Get authentic answers from experts, students and alumni that you won't find anywhere else
Sign Up on ShikshaOn Shiksha, get access to
- 66k Colleges
- 1.2k Exams
- 687k Reviews
- 1800k Answers




