UGC NET 2025-26 Result (OUT) Live: Dec Cutoff, Scorecard & Final Answer Key PDF Download Link @ugcnet.nta.nic.in
The UGC NET 2025 Result, Cut off and Final Answer Key for the December session have been released at ugcnet.nta.nic.in. Stay tuned for the latest live updates about the UGC NET 2025 Result including the download link, methods to check scorecard, cut off marks and more.
UGC NET 2025-26 Result Live Updates: The National Testing Agency (NTA) released the UGC NET Result, Cut off & Final Answer Key on February 4 for the December session. Candidates who appeared in the exam will be able to download their scorecard and cut off marks.
The December session exam was conducted from December 31 to January 7 in Computer-Based Test mode. The UGC NET Provisional answer key was released on January 14. To check the result, candidates required their login credentials including the application number and date of birth.
How To Check UGC NET December Result 2025?
- Visit at ugcnet.nta.nic.in.
- On homepage, click on UGC NET December Result link
- A login page will appear
- Enter application number, date of birth and security code
- UGC NET result will appear on screen
- Download and save it
Direct link to download UGC NET 2025 Dec Result: https://ugcnet.nta.nic.in/results-for-ugc-net-dec-2025-is-live/
UGC NET 2025 Cut Off Marks (December Session)
The UGC NET Cut off marks for the December session depends upon the difficulty level of an exam, feedback of the candidate, number of good attempts across Paper 1 and 2 in all the shifts. The cut off has been announced subject and category-wise. It is the minimum qualifying marks that are required by the candidate to clear the exam.
Stay tuned for live updates about the UGC NET Result including how to download scorecard pdf, subject-wise cut off marks, merit list and more.
LIVE UPDATE
UGC NET 2025-26 Result Cutoff Answer Key TODAY Live Updates
- 11:21 AM IST• 5 Feb 2026
UGC NET 2025 Live Updates: Total Questions and Marks
Total Marks - UGC NET Paper 1: 100
- UGC NET Paper 2: 200
Total Questions - UGC NET Paper 1: 50
- UGC NET Paper 2: 100
- 10:48 AM IST• 5 Feb 2026
Is the UGC NET 2025 result released?
Yes. The UGC NET 2025 result for the Dec session has been released on the official website at ugcnet.nta.nic.in.
- 10:10 AM IST• 5 Feb 2026
What is UGC NET 2025 Cut Off?
NTA released the UGC NET 2025 Dec session result on the official website. The UGC NET cut-off also released as subject-wise cut-off marks. Both PDFs can be accessed on the official website from the Public Notices section on the official website.
- 9:36 AM IST• 5 Feb 2026
UGC NET December 2025 Result Live: Re-evaluation Provisions
The NTA has announced the UGC NET 2025 December session result. Stay tuned for the latest live updates!
- 9:10 AM IST• 5 Feb 2026
UGC NET 2025 Result LIVE: Minimum Qualifying Marks
The minimum passing marks in percentage for the general category is 40%, and for the reserved category is 35% for both papers. The cutoff for JRF is slightly higher than that for the assistant professor. Also, the cutoff varies as per the difficulty level of the examination.
- 8:34 AM IST• 5 Feb 2026
UGC NET 2025 Final Answer Key, Result OUT
The UGC NET 2025 Result and final answer key is available on Feb 4 at ugcnet.nta.nic.in.
- 8:07 AM IST• 5 Feb 2026
Steps To Download The UGC NET 2025 Scorecard
- Visit the official website: ugcnet.nta.nic.in
- On the homepage, click on the link UGC NET Dec 2025 Result
- The login window will open, enter application number, date of birth, and the security code
- Click on the Submit button, the UGC NET 2025 result will be displayed on the screen
- Download and save it for future references
- 7:16 AM IST• 5 Feb 2026
UGC NET 2025 Result Live: What is the marking scheme for dropped questions?
If, in case a question is found to be incorrect and the question is dropped, then two marks will be awarded to candidates who have attempted the question.
- 6:41 AM IST• 5 Feb 2026
I have not cleared the UGC NET exam. Can I appear for the exam again?
Yes you can definitely appear for the UGC NET exam again If you did not clear it in the first attempt. The UGC NET exam is conducted twice a year by the National Testing Agency (NTA) for the selection of Assistant Professor and award for Junior Research Fellowship (JRF) in various Indian Universities and Colleges.
- 6:08 AM IST• 5 Feb 2026
UGC NET 2025 Dec Result Live Updates: Log in Details
The UGC NET 2025 Dec result released, candidates can check at ugcnet.nta.nic.in by using their application number and date of birth.
- 5:13 AM IST• 5 Feb 2026
Is there negative marking in UGC NET 2025?
UGC NET exam does not have a negative marking scheme. The candidates are awarded for correct answers but no mark deductions are made for incorrect answers.
- 4:50 AM IST• 5 Feb 2026
How many attempts for UGC NET?
There is no limit on the number of attempts for the UGC NET exam. Candidates can apply and appear for the UGC NET exam as many times as they want, but important is that they meet the educational and age criteria for the exam.
- 4:09 AM IST• 5 Feb 2026
UGC NET Dec Result 2025 Download Link OUT
The authority released the UGC NET 2025 result on its official website. Candidates can check via logging in to the official website.
- 3:09 AM IST• 5 Feb 2026
UGC NET 2025 Result Live Updates: Normalisation of Marks
The UGC NET normalisation process is an established practice in which scores of candidates who appear for the same exam in different sessions are compared. Thereafter, to normalise the scores of all candidates, the percentile scores are used.
- 2:38 AM IST• 5 Feb 2026
UGC NET Dec Result 2025 Live Updates: Website to check
- ugcnet.nta.nic.in
- nta.ac.in.
- 1:36 AM IST• 5 Feb 2026
UGC NET 2025 Cut Off Out LIVE Updates
The NTA released the UGC NET Cut Off Marks at ugcnet.nta.nic.in.
- 1:05 AM IST• 5 Feb 2026
UGC NET 2025 Political Science Cut Off Live
- 12:19 AM IST• 5 Feb 2026
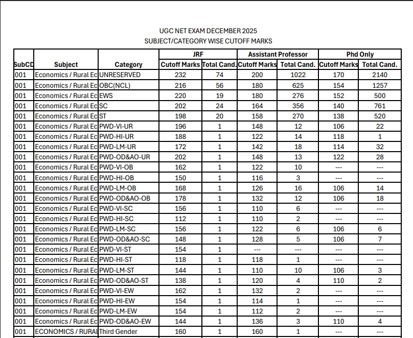
UGC NET 2025 Cut Off Marks Economics
- 12:09 AM IST• 5 Feb 2026
UGC NET 2025 Dec Result Download Link: Live Updates
The NTA released the UGC NET 2025 Result for the December Session at ugcnet.nta.nic.in. The download link is provided below:
https://ugcnet.nta.nic.in/results-for-ugc-net-dec-2025-is-live/
- 11:55 PM IST• 4 Feb 2026
UGC NET Result 2025 Download Link Soon for Dec session
The exam conducting authority is expected to release the UGC NET 2025 Dec session result on its official website at ugcnet.nta.nic.in. Candidates will be able to download it by logging in to the official website.
- 11:51 PM IST• 4 Feb 2026
UGC NET 2025 Result & Cut Off Marks OUT
The NTA released the UGC NET 2025 December session result and cut off marks.
- 11:36 PM IST• 4 Feb 2026
How to check UGC NET 2025 Dec Final Answer key?
- Open the official website of UGC NET at ugcnet.nta.nic.in.
- Click on UGC NET Dec Final Answer Key 2025 link on the homepage
- A new PDF file will open.
- Check the final answer key and download the page.
- Keep a hard copy of the same
- 11:07 PM IST• 4 Feb 2026
UGC NET 2025 Final Answer Key Download Link Subject-Wise
The NTA released the UGC NET Final Answer Key on the official portal at ugcnet.nta.nic.in. The download link subject-wise is provided below:
https://ugcnet.nta.nic.in/final-answer-keys-for-ugc-net-dec-2025/
- 11:02 PM IST• 4 Feb 2026
UGC NET 2025 Result Live: Details required to download
Details required to download the UGC NET 2025 result for the Dec session are:
- Application number
- Date of birth
- 10:41 PM IST• 4 Feb 2026
How to check UGC NET 2025 Dec Final Answer key?
- Open the official website of UGC NET at ugcnet.nta.nic.in.
- Click on UGC NET Dec Final Answer Key 2025 link on the homepage
- A new PDF file will open.
- Check the final answer key and download the page.
- Keep a hard copy of the same
- 10:34 PM IST• 4 Feb 2026
Where the NTA will release the UGC NET 2025 Result?
The authority will release the UGC NET 2025 result for the Dec session on the official website at ugcnet.nta.nic.in. Stay tuned for the latest live updates!
- 10:13 PM IST• 4 Feb 2026
UGC NET 2025 Final Answer Key PDF Download Link: LIVE
The NTA released the UGC NET 2025 Final Answer Key on the official website at ugcnet.nta.nic.in. Download Link is also provided below:
https://ugcnet.nta.nic.in/final-answer-keys-for-ugc-net-dec-2025/
- 10:04 PM IST• 4 Feb 2026
UGC NET 2025 Result Live: Where to check the result?
Candidates will be able to check their UGC NET 2025 result on the official website at ugcnet.nta.nic.in.
- 10:03 PM IST• 4 Feb 2026
UGC NET 2025 Final Answer Key OUT
The NTA released the UGC NET 2025 Final Answer Key for the December Session.
- 9:35 PM IST• 4 Feb 2026
Credentials required to check the UGC NET 2025 Dec result
Candidates required the application number and date of birth to check the UGC NET 2025 Dec session result. Also, the security PIN, as shown in the image.
- 9:07 PM IST• 4 Feb 2026
UGC NET 2025 Cut off Marks: Live Updates
The NTA is set to release the UGC NET Cut Off marks for the Dec session soon. Stay tuned!
- 8:32 PM IST• 4 Feb 2026
UGC NET Dec Result 2025 Live: Marking scheme for dropped questions
If, in case a question is found to be incorrect and the question is dropped, then two marks will be awarded to candidates who have attempted the question. As there is no negative marking in the exam.
- 8:06 PM IST• 4 Feb 2026
UGC NET 2025 Live Updates: Preparation of Dec session Result
The UGC NET 2025 Dec session result will be prepared and announced on the basis of final answer key. The answer key finalized by the experts after the challenge will be final.
- 7:35 PM IST• 4 Feb 2026
UGC NET Dec 2025 Result LIVE: What is weeding out rules?
The UGC NET Dec 2025 records will be preserved for 90 days from the date of declaration of result.
- 7:03 PM IST• 4 Feb 2026
UGC NET 2025 Live Updates: Credentials required to check the Dec result
Candidates required the application number and date of birth to check the UGC NET 2025 Dec session result. Also, the security PIN, as shown in the image.
- 6:36 PM IST• 4 Feb 2026
UGC NET 2025 Final Answer Key consists of
The UGC NET 2025 Dec session final answer key contains the question ID and correct choice ID in the form of a PDF.
- 6:04 PM IST• 4 Feb 2026
Steps to check UGC NET Dec Result if Forgot Application Number
In case, candidates forget their application number, required to log into their registered account to check the UGC NET result for Dec session, they can re-generate it by following the steps mentioned below.- Open the official website; ugcnet.nta.nic.in
- Click on the link available for UGC NET 2025 result
- Click on the “Forgot Application No.?” link
- Enter the below-mentioned details: Name, Father’s name, Mother’s name, Date of birth & security pin as visible on the screen
- Click on the ‘Get Application Number’ button
- 5:28 PM IST• 4 Feb 2026
UGC NET 2025 Live Updates: Total Marks
- Paper 1: 100 marks
- Paper 2: 200 marks
- 5:03 PM IST• 4 Feb 2026
UGC NET 2025 Dec Result Soon Anytime: LIVE Updates
The NTA is expected to soon release the UGC NET 2025 Exam for the December session at anytime. Stay tuned for the latest live updates!
- 4:29 PM IST• 4 Feb 2026
UGC NET 2025 Result LIVE: Language
The UGC NET 2025 exam is conducted in English and Hindi for all subjects, except for language-specific papers where the language of the paper will be the same as the subject.
- 4:03 PM IST• 4 Feb 2026
UGC NET 2025 Result Dec LIVE: Release Date
The UGC NET 2025 Result for the December session is expected to be released on February 4 (tentatively).
- 3:31 PM IST• 4 Feb 2026
UGC NET 2025 Dec Live Updates: Details on answer key
Details mentioned on the UGC NET 2025 Answer Key are mentioned below:
- Name of the exam
- Exam Date
- Subject ID
- Exam Shift
- Correct option ID
- Question ID
- 2:58 PM IST• 4 Feb 2026
UGC NET 2025 Result Live Updates: Calculation of score using answer key
Candidates can calculate their scores using UGC NET answer key by the formula as provided below:
Total Marks Obtained = Number of correct answers x Marks allotted for each correct question
- 2:36 PM IST• 4 Feb 2026
UGC NET 2025 Result LIVE: Conducting body
The National Testing Agency (NTA) is the exam conducting body of the UGC NET exam.
- 2:09 PM IST• 4 Feb 2026
UGC NET 2025 Dec Result LIVE: Can I appear for the exam again, if not cleared the paper in first attempt?
Yes you can definitely appear for the UGC NET exam again If you did not clear it in the first attempt. The UGC NET exam is conducted twice a year by the National Testing Agency (NTA) for the selection of Assistant Professor and award for Junior Research Fellowship (JRF) in various Indian Universities and Colleges.
- 1:41 PM IST• 4 Feb 2026
What are the login credentials?
Candidates will be able to check their UGC NET 2025 Dec Result from the official website by using their login credentials, including the application number, date of birth, and security pin as displayed on the screen.
- 1:20 PM IST• 4 Feb 2026
How to Download UGC NET December 2025 Result at ugcnet.nta.nic.in?
Candidates can check these steps to know how to download result
- Go to official website ugcnet.nta.nic.in.
- On homepage under Candidate Activity Section, check for "UGC NET December 2025 Scorecard."
- Enter Application Number and Date of Birth.
- Click on submit button
- UGC NET December 2025 result will be displayed on screen
- Save pdf and take printout of it
- 12:58 PM IST• 4 Feb 2026
UGC NET 2026 Result Websites
The official website to check UGC NET December 2025 result is ugcnet.nta.nic.in. However, due to high traffic, it might crash. In that case, candidates can check their result online at official website of NTA nta.nic.in.
- ugcnet.nta.nic.in
- nta.nic.in
- 12:30 PM IST• 4 Feb 2026
UGC NET 2025 Dec Result Live Updates: Negative Marking
There is no negative marking in the UGC NET 2025 exam. 2 marks will be awarded for each correct answer.
- 12:09 PM IST• 4 Feb 2026
Where can I check my UGC NET 2025 Dec Scorecard?
The NTA will release the UGC NET 2025 Dec Scorecard on the official website at ugcnet.nta.nic.in. Candidates will be able to download it from the official website or via download link that will be provided here once it is released.
- 11:47 AM IST• 4 Feb 2026
UGC NET 2025 December Result Download Link Soon: LIVE
The UGC NET December 2025 Result download link will be activated soon on the official website at ugcnet.nta.nic.in. It is expected today at anytime. Candidates required their login credentials to access their result.
- 11:30 AM IST• 4 Feb 2026
UGC NET 2025 Cut Off Soon: Live Updates
UGC NET cut-off will be released as subject-wise cut-off marks. Both PDFs can be accessed on the official website from the Public Notices section on the official website. UGC NET is conducted to determine the eligibility of the candidates to become Assistant Professors and get the Fellowship award to complete a Ph.D. at the expense of the Indian government.
- 11:05 AM IST• 4 Feb 2026
What are the steps to download the UGC NET 2025 Dec Final Answer Key?
- Open the official website; ugcnet.nta.nic.in.
- Click on UGC NET Dec Final Answer Key 2025 link on the homepage
- A new PDF file will open.
- Check the final answer key and download the page.
- Keep a hard copy of the same
- 10:35 AM IST• 4 Feb 2026
NTA will announce the UGC NET 2025 Result for Dec session at
The NTA will release the UGC NET 2025 Result for Dec session at ugcnet.nta.nic.in.
- 10:05 AM IST• 4 Feb 2026
UGC NET 2025 Dec Result Soon at ugcnet.nta.nic.in
The NTA is expected to soon release the UGC NET 2025 result for the exam conducted from Dec 31 to January 7. It is expected to be released soon. Stay tuned for the latest live updates!
- 9:34 AM IST• 4 Feb 2026
Where to check the UGC NET 2025 Result for the Dec session?
Once the UGC NET 2025 Result is released, candidates will be able to check from the official website at ugcnet.nta.nic.in.
- 9:15 AM IST• 4 Feb 2026
Is the UGC NET 2025 Result for the December session announced?
No. The NTA has not yet announced the UGC NET 2025 result for the December session. Stay tuned for the latest live updates!
- 8:41 AM IST• 4 Feb 2026
UGC NET 2025 Dec Live Updates: NTA helpline numbers
Candidates can contact the NTA office via telephone or email if they require any help regarding the examination.
Telephone: 011-40759000
e-mail: ugcnet@nta.ac.in - 8:09 AM IST• 4 Feb 2026
UGC NET Result 2025 Live Updates: Result date and time
The NTA is expected to release the UGC NET 2025 Result on February 4. The time has not been announced officially yet. Stay tuned for the latest live updates!
- 7:39 AM IST• 4 Feb 2026
How to download UGC NET 2025 Final Answer Key?
- Open the official website: ugcnet.nta.nic.in.
- On the homepage, click "Final UGC NET Answer Key 2025" link
- A login page will be displayed on the screen
- Enter the application number, date of birth and security code
- Submit the details
- The UGC NET final answer key pdf will appear on the screen
- Download and save it for future references
- 7:08 AM IST• 4 Feb 2026
UGC NET 2025 Result Expected Anytime Soon
It is expected that the authority will soon release the UGC NET 2025 result on the official website.
- 6:37 AM IST• 4 Feb 2026
UGC NET 2025 Live Updates: Total Questions and Marks
Total Marks - UGC NET Paper 1: 100
- UGC NET Paper 2: 200
Total Questions - UGC NET Paper 1: 50
- UGC NET Paper 2: 100
- 5:48 AM IST• 4 Feb 2026
UGC NET 2025 Result Live Updates: When
The authority is ex[ected to release date of the UGC NET 2025 result on February 4. Stay tuned for the latest updates!
- 5:09 AM IST• 4 Feb 2026
Is the UGC NET 2025 result released?
No. The UGC NET 2025 result for the Dec session is expected to be released soon on the official website at ugcnet.nta.nic.in.
- 4:15 AM IST• 4 Feb 2026
Is there negative marking in the UGC NET 2025 exam?
There is no negative marking in the UGC NET 2025 examination. Candidates will be awarded with two marks for each correct answer.
- 3:32 AM IST• 4 Feb 2026
What is UGC NET 2025 Cut Off?
NTA will release the UGC NET 2025 Dec session result soon on the official website. Candidates who appeared UGC NET cut-off will be released as subject-wise cut-off marks. Both PDFs can be accessed on the official website from the Public Notices section on the official website.
- 2:51 AM IST• 4 Feb 2026
UGC NET 2025 Cut off Marks: Live Updates
The NTA is set to release the UGC NET Cut Off marks for the Dec session soon. Stay tuned!
- 2:08 AM IST• 4 Feb 2026
UGC NET Result 2025 Live: Release Date
The UGC NET Dec exam result 2025 will be released at ugcnet.nta.ac.in. The result release date is tentatively February 4. Stay tuned for the latest live updates!
- 1:54 AM IST• 4 Feb 2026
UGC NET December 2025 Result Live: Re-evaluation Provisions
The NTA has not yet announced the UGC NET 2025 December session result yet. It is expected anytime soon. Stay tuned for the latest live updates!
- 1:07 AM IST• 4 Feb 2026
UGC NET 2025 Result LIVE: Minimum Qualifying Marks
The minimum passing marks in percentage for the general category is 40%, and for the reserved category is 35% for both papers. The cutoff for JRF is slightly higher than that for the assistant professor. Also, the cutoff varies as per the difficulty level of the examination.
- 10:01 PM IST• 3 Feb 2026
UGC NET 2025 Final Answer Key, Result to be Out Soon
The UGC NET 2025 Result and final answer key will be available by Feb 4 (tentatively) at ugcnet.nta.nic.in.
- 9:25 PM IST• 3 Feb 2026
Steps To Download The UGC NET 2025 Scorecard
- Visit the official website: ugcnet.nta.nic.in
- On the homepage, click on the link UGC NET Dec 2025 Result
- The login window will open, enter application number, date of birth, and the security code
- Click on the Submit button, the UGC NET 2025 result will be displayed on the screen
- Download and save it for future references
- 9:05 PM IST• 3 Feb 2026
UGC NET 2025 Result Live: What is the marking scheme for dropped questions?
If, in case a question is found to be incorrect and the question is dropped, then two marks will be awarded to candidates who have attempted the question.
- 8:24 PM IST• 3 Feb 2026
I have not cleared the UGC NET exam. Can I appear for the exam again?
Yes you can definitely appear for the UGC NET exam again If you did not clear it in the first attempt. The UGC NET exam is conducted twice a year by the National Testing Agency (NTA) for the selection of Assistant Professor and award for Junior Research Fellowship (JRF) in various Indian Universities and Colleges.
- 8:09 PM IST• 3 Feb 2026
UGC NET 2025 Dec Result Live Updates: Log in Details
Once the UGC NET 2025 Dec result is released, candidates will be able to check at ugcnet.nta.nic.in by using their application number and date of birth.
- 7:50 PM IST• 3 Feb 2026
Is there negative marking in UGC NET 2025?
UGC NET exam does not have a negative marking scheme. The candidates are awarded for correct answers but no mark deductions are made for incorrect answers.
- 7:38 PM IST• 3 Feb 2026
How many attempts for UGC NET?
There is no limit on the number of attempts for the UGC NET exam. Candidates can apply and appear for the UGC NET exam as many times as they want, but important is that they meet the educational and age criteria for the exam.
- 7:21 PM IST• 3 Feb 2026
UGC NET Dec Result 2025 Download Link
The authority is expected to release the UGC NET 2025 result on its official website. Candidates will be able to check via logging in to the official website.
- 7:01 PM IST• 3 Feb 2026
UGC NET 2025 Result Live Updates: Normalisation of Marks
The UGC NET normalisation process is an established practice in which scores of candidates who appear for the same exam in different sessions are compared. Thereafter, to normalise the scores of all candidates, the percentile scores are used.
- 6:35 PM IST• 3 Feb 2026
UGC NET Dec Result 2025 Live Updates: Website to check
- ugcnet.nta.nic.in
- nta.ac.in.
- 6:08 PM IST• 3 Feb 2026
UGC NET 2025 Result Live Updates: Where to Check?
The Dec UGC NET result 2025, once released, can be checked by candidates on the official website at ugcnet.nta.nic.in.
- 5:40 PM IST• 3 Feb 2026
UGC NET 2025 Dec Result Live Updates: Check Marking Scheme
- As per the information brochure.
- Each question carries 02 (two) marks.
- For each correct response, candidate will get 02 (two) marks.
- There is no negative marking for incorrect response.
- No marks will be given for questions un-answered/un-attempted/marked for Review.
- To answer a question, the candidate needs to choose one option as correct option.
- If a question is found to be incorrect/ambiguous or has multiple correct answers, only those candidates who have attempted the question and chosen one of the correct answers would be given the credit.
- If a question is found to be incorrect and the Question is dropped, then two marks (+2) will be awarded to only to those candidates who have attempted the question. The reason could be due to human error or technical error. Since, there is no negative marking, candidate needs to choose one most appropriate option as correct answer.
- 5:16 PM IST• 3 Feb 2026
UGC NET 2025 Result Dec Live Updates: Release Date
The authority has not announced the release of the UGC NET 2025 result date officially. It is expected to be announced by Feb 4. Stay tuned for the latest live updates!
- 4:50 PM IST• 3 Feb 2026
UGC NET 2025 Cut Off: Live Updates
UGC NET cut-off will be released as subject-wise cut-off marks. Both PDFs can be accessed on the official website from the Public Notices section on the official website. UGC NET is conducted to determine the eligibility of the candidates to become Assistant Professors and get the Fellowship award to complete a Ph.D. at the expense of the Indian government.
- 4:36 PM IST• 3 Feb 2026
UGC NET Dec Result 2025 Live Updates: Result date and time
The NTA has not announced the release date and time of the UGC NET 2025 Dec Result. It is expected to be released on February 4. Stay tuned for the latest live updates!
- 4:09 PM IST• 3 Feb 2026
UGC NET 2025 Result Dec Live: When and Where
The NTA is expected to soon announce the UGC NET result 2025 for the December session at ugcnet.nta.nic.in. Stay tuned for the latest live updates!
- 3:47 PM IST• 3 Feb 2026
Where will the UGC NET 2025 Result for the December Session be released?
The UGC NET Result 2025 for the December session be out at ugcnet.nta.nic.in. Stay tuned for the latest live updates!
Commonly asked questions
The UGC NET 2026 expected cutoff may fall within the range of 216 to 160 for all subjects and categories. The NTA will release the UGC NET 2026 June session cutoff marks after the declaration of the result. Candidates who will meet or exceed the cutoff marks will qualify for further recruitment process.
The UGC NET 2026 Cut off for the June session will be released at ugcnet.nta.nic.in. It is the minimum qualifying marks required by the student to clear the exam. The Cutoff PDF has been released along with the result.
Open the official website of NTA, find the "UGC NET Cut Off" link, now select History and choose the session of that particular year. The UGC NET cut-off marks will be displayed to download.
Follow Shiksha.com for latest education news in detail on Exam Results, Dates, Admit Cards, & Schedules, Colleges & Universities news related to Admissions & Courses, Board exams, Scholarships, Careers, Education Events, New education policies & Regulations.
To get in touch with Shiksha news team, please write to us at news@shiksha.com

Comments
(2)
Y
3 months ago


Role: Editorial Domain
Education: Mass Com & Journalism, MSC Mathematics
Expertise: Sarkari Exam Expert
About
Shikha Goyal is a double post graduate with more than 12 years of experience in education domain, journal
Read Full Bio