NEET 2022 Daily Practice Questions Live Updates
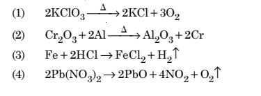
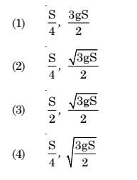
NEET 2022 will be conducted on July 17. Shiksha.com brings to you daily practice questions on Physics, Chemistry, Botany and Zoology.
LIVE UPDATE
- 10:49 AM IST• 11 Jul 2022
NEET Daily Practice Test – July 11, 2022
Q1: Meiotic division of the secondary oocyte is completed:
(1) Prior to ovulation
(2) At the time of copulation
(3) After zygote formation
(4) At the time of fusion of a sperm with an ovum
Q2: If the distance between two consecutive base pairs is 0.34 nm and the total number of base pairs of a DNA double helix in a typical mammalian cell is 6.6×109 bp, then the length of the DNA is approximately:
(1) 2.0 meters
(2) 2.5 meters
(3) 2.2 meters
(4) 2.7 meters
Q3: Which of the following is a natural polymer?
(1) cis-1,4-polyisoprene
(2) poly (Butadiene-styrene)
(3) polybutadiene
(4) poly (Butadiene-acrylonitrile)
Q4: Which of the following graph represents the variation of resistivity (ρ) with temperature (T) for copper?
Click here to check the answers to the above questions.
- Q1: (4)
- Q2: (3)
- Q3: (1)
- Q4: (3)
- 12:06 PM IST• 8 Jul 2022
NEET Daily Practice Test – July 8, 2022
Q1: Match the following:
Q2: Flippers of Penguins and Dolphins are examples of:
(1) Adaptive radiation
(2) Convergent evolution
(3) Industrial melanism
(4) Natural selection
Q3: HCl was passed through a solution of CaCl2, MgCl2 and NaCl. Which of the following compound(s) crystallise(s)?
(1) Both MgCl2 and CaCl2
(2) Only NaCl
(3) Only MgCl2
(4) NaCl, MgCl2 and CaCl2
Q4: The average thermal energy for a mono-atomic gas is: (kB is Boltzmann constant and T, absolute temperature)
(1) ½ KBT
(2) 3/2 KBT
(3) 5/2 KBT
(4) 7/2 KBT
Click here to check the answers to the above questions.
- Q1: (1)
- Q2: (2)
- Q3: (2)
- Q4: (2)
- 11:04 AM IST• 7 Jul 2022
NEET Daily Practice Test – July 7, 2022
Q1: Identify the incorrect statement.
(1) Heart wood does not conduct water but gives mechanical support.
(2) Sapwood is involved in conduction of water and minerals from root to leaf.
(3) Sapwood is the innermost secondary xylem and is lighter in colour.
(4) Due to deposition of tannins, resins, oils etc., heart wood is dark in colour.
Q2: Some dividing cells exit the cell cycle and enter vegetative inactive stage. This is called quiescent stage (G0). This process occurs at the end of:
(1) M phase
(2) G1 phase
(3) S phase
(4) G2 phase
Q3: Which of the following is a basic amino acid?
(1) Serine
(2) Alanine
(3) Tyrosine
(4) Lysine
Q4: A wire of length L, area of cross section A is hanging from a fixed support. The length of the wire changes to L1 when mass M is suspended from its free end. The expression for Young’s modulus is:
Click here to check the answers to the above questions.
- Q1: (3)
- Q2: (2)
- Q3: (4)
- Q4: (4)
- 12:28 PM IST• 6 Jul 2022
NEET Daily Practice Test – July 6, 2022
Q1: Match the following concerning essential elements and their functions in plants:
Q2: Strobili or cones are found in:
(1) Salvinia
(2) Pteris
(3) Marchantia
(4) Equisetum
Q3: Which of the following is the correct order of increasing field strength of ligands to form coordination compounds?
Q4: Two bodies of mass 4 kg and 6 kg are tied to the ends of a massless string. The string passes over a pulley which is frictionless (see figure). The acceleration of the system in terms of acceleration due to gravity (g) is:
(1) g
(2) g/2
(3) g/5
(4) g/10
Click here to check the answers to the above questions.
- Q1: (3)
- Q2: (4)
- Q3: (1)
- Q4: (3)
- 11:00 AM IST• 5 Jul 2022
NEET Daily Practice Test – July 5, 2022
Q1:
Q2:
Q3: The mixture which shows positive deviation from Raoult’s law is:
(1) Ethanol+Acetone
(2) Benzene+Toluene
(3) Acetone+Chloroform
(4) Chloroethane+Bromoethane
Q4: The energy required to break one bond in DNA is 10?20 J. This value in eV is nearly:
(1) 6
(2) 0.6
(3) 0.06
(4) 0.006
Click here to check the answers to the above questions.
- Q1: (2)
- Q2: (4)
- Q3: (1)
- Q4: (3)
- 11:31 AM IST• 4 Jul 2022
NEET Daily Practice Test – July 4, 2022
Q1: Which of the following statements are true for the phylum-Chordata?
(a) In Urochordata notochord extends from head to tail and it is present throughout their life.
(b) In Vertebrata notochord is present during the embryonic period only.
(c) Central nervous system is dorsal and hollow.
(d) Chordata is divided into 3 subphyla: Hemichordata, Tunicata and Cephalochordata.
(1) (d) and (c)
(2) (c) and (a)
(3) (a) and (b)
(4) (b) and (c)
Q2: In relation to Gross primary productivity and Net primary productivity of an ecosystem, which one of the following statements is correct?
(1) Gross primary productivity is always less than net primary productivity.
(2) Gross primary productivity is always more than net primary productivity.
(3) Gross primary productivity and Net primary productivity are one and same.
(4) There is no relationship between Gross primary productivity and Net primary productivity.
Q3: Elimination reaction of 2-Bromo-pentane to form pent-2-ene is:
(a) ?-Elimination reaction
(b) Follows Zaitsev rule
(c) Dehydrohalogenation reaction
(d) Dehydration reaction
(1) (a), (b), (c)
(2) (a), (c), (d)
(3) (b), (c), (d)
(4) (a), (b), (d)
Q4:
Click here to check the answers to the above questions.
- Q1: (4)
- Q2: (2)
- Q3: (1)
- Q4: (1)
- 12:48 PM IST• 1 Jul 2022
NEET Daily Practice Test – July 1, 2022
Q1: If the head of cockroach is removed, it may live for few days because:
(1) the supra-oesophageal ganglia of the cockroach are situated in ventral part of abdomen.
(2) the cockroach does not have nervous system.
(3) the head holds a small proportion of a nervous system while the rest is situated along the ventral part of its body.
(4) the head holds a 1/3rd of a nervous system while the rest is situated along the dorsal part of its body.
Q2: Which of the following would help in prevention of diuresis?
(1) More water reabsorption due to undersecretion of ADH
(2) Reabsorption of Na+ and water from renal tubules due to aldosterone
(3) Atrial natriuretic factor causes vasoconstriction
(4) Decrease in secretion of renin by JG cells
Q3: Which of the following is a cationic detergent?
(1) Sodium lauryl sulphate
(2) Sodium stearate
(3) Cetyltrimethyl ammonium bromide
(4) Sodium dodecylbenzene sulphonate
Q4: Light of frequency 1.5 times the threshold frequency is incident on a photosensitive material. What will be the photoelectric current if the frequency is halved and intensity is doubled?
(1) doubled
(2) four times
(3) one-fourth
(4) zero
Click here to check the answers to the above questions.
- Q1: (3)
- Q2: (2)
- Q3: (3)
- Q4: (4)
- 3:54 PM IST• 30 Jun 2022
NEET Daily Practice Test – June 30, 2022
Q1: Select the correct events that occur during inspiration.
(a) Contraction of diaphragm
(b) Contraction of external inter-costal muscles
(c) Pulmonary volume decreases
(d) Intra pulmonary pressure increases
(1) (a) and (b)
(2) (c) and (d)
(3) (a), (b) and (d)
(4) only (d)
Q2: Name the enzyme that facilitates opening of DNA helix during transcription.
(1) DNA ligase
(2) DNA helicase
(3) DNA polymerase
(4) RNA polymerase
Q3: A tertiary butyl carbocation is more stable than a secondary butyl carbocation because of which of the following?
(1) ?I effect of ?CH3 groups
(2) +R effect of ?CH3 groups
(3) ?R effect of ?CH3 groups
(4) Hyperconjugation
Q4: For transistor action, which of the following statements is correct?
(1) Base, emitter and collector regions should have same doping concentrations.
(2) Base, emitter and collector regions should have same size.
(3) Both emitter junction as well as the collector junction are forward biased.
(4) The base region must be very thin and lightly doped.
Click here to check the answers to the above questions.
- Q1: (1)
- Q2: (4)
- Q3: (4)
- Q4: (4)
- 12:14 PM IST• 29 Jun 2022
NEET Daily Practice Test – June 29, 2022
Q1: Which of the following is put into Anaerobic sludge digester for further sewage treatment?
(1) Primary sludge
(2) Floating debris
(3) Effluents of primary treatment
(4) Activated sludge
Q2: Which of the following is not an inhibitory substance governing seed dormancy?
(1) Gibberellic acid
(2) Abscisic acid
(3) Phenolic acid
(4) Para-ascorbic acid
Q3: Identify the correct statement from the following:
(1) Wrought iron is impure iron with 4% carbon.
(2) Blister copper has blistered appearance due to evolution of CO2 .
(3) Vapour phase refining is carried out for Nickel by Van Arkel method.
(4) Pig iron can be moulded into a variety of shapes.
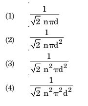
Q4: The mean free path for a gas, with molecular diameter d and number density n can be expressed as:
Click here to check the answers to the above questions.
- Q1: (4)
- Q2: (1)
- Q3: (4)
- Q4: (2)
- 11:09 AM IST• 28 Jun 2022
NEET Daily Practice Test – June 28, 2022
Q1: Identify the wrong statement with regard to Restriction Enzymes.
(1) Each restriction enzyme functions by inspecting the length of a DNA sequence.
(2) They cut the strand of DNA at palindromic sites.
(3) They are useful in genetic engineering.
(4) Sticky ends can be joined by using DNA ligases.
Q2: In light reaction, plastoquinone facilitates the transfer of electrons from:
(1) PS-II to Cytb6 f complex
(2) Cytb6 f complex to PS-I
(3) PS-I to NADP+
(4) PS-I to ATP synthase
Q3: A mixture of N2 and Ar gases in a cylinder contains 7 g of N2 and 8 g of Ar. If the total pressure of the mixture of the gases in the cylinder is 27 bar, the partial pressure of N2 is:
[Use atomic masses (in g mol?1) : N=14, Ar=40]
(1) 9 bar
(2) 12 bar
(3) 15 bar
(4) 18 bar
Q4: A 40 µF capacitor is connected to a 200 V, 50 Hz ac supply. The rms value of the current in the circuit is, nearly:
(1) 1.7 A
(2) 2.05 A
(3) 2.5 A
(4) 25.1 A
Click here to check the answers to the above questions.
- Q1: (4)
- Q2: (1)
- Q3: (3)
- Q4: (3)
- 4:41 PM IST• 27 Jun 2022
NEET Daily Practice Test – June 27, 2022
Q1: Identify the wrong statement with reference to transport of oxygen.
(1) Binding of oxygen with haemoglobin is mainly related to partial pressure of O2.
(2) Partial pressure of CO2 can interfere with O2 binding with haemoglobin.
(3) Higher H+ conc. in alveoli favours the formation of oxyhaemoglobin.
(4) Low pCO2 in alveoli favours the formation of oxyhaemoglobin.
Q2: Name the plant growth regulator which upon spraying on sugarcane crop, increases the length of stem, thus increasing the yield of sugarcane crop.
(1) Cytokinin
(2) Gibberellin
(3) Ethylene
(4) Abscisic acid
Q3: An increase in the concentration of the reactants of a reaction leads to change in:
(1) activation energy
(2) heat of reaction
(3) threshold energy
(4) collision frequency
Q4: The increase in the width of the depletion region in a p-n junction diode is due to:
(1) forward bias only
(2) reverse bias only
(3) both forward bias and reverse bias
(4) increase in forward current
Click here to check the answers to the above questions.
- Q1: (3)
- Q2: (2)
- Q3: (4)
- Q4: (2)
- 1:18 PM IST• 24 Jun 2022
NEET Daily Practice Test – June 24, 2022
Q1: In gel electrophoresis, separated DNA fragments can be visualized with the help of:
(1) Acetocarmine in bright blue light
(2) Ethidium bromide in UV radiation
(3) Acetocarmine in UV radiation
(4) Ethidium bromide in infrared radiation
Q2: In water hyacinth and water lily, pollination takes place by:
(1) insects or wind
(2) water currents only
(3) wind and water
(4) insects and water
Q3: Paper chromatography is an example of:
(1) Adsorption chromatography
(2) Partition chromatography
(3) Thin layer chromatography
(4) Column chromatography
Q4: In a certain region of space with volume 0.2 m3, the electric potential is found to be 5 V throughout. The magnitude of electric field in this region is:
(1) zero
(2) 0.5 N/C
(3) 1 N/C
(4) 5 N/C
Click here to check the answers to the above questions.
- Q1: (2)
- Q2: (1)
- Q3: (2)
- Q4: (1)
- 5:08 PM IST• 23 Jun 2022
NEET Daily Practice Test – June 23, 2022
Q1: Which is the important site of formation of glycoproteins and glycolipids in eukaryotic cells?
(1) Endoplasmic reticulum
(2) Peroxisomes
(3) Golgi bodies
(4) Polysomes
Q2: Match the following columns and select the correct option.
Q3: Reaction between benzaldehyde and acetophenone in presence of dilute NaOH is known as:
(1) Aldol condensation
(2) Cannizzaro’s reaction
(3) Cross Cannizzaro’s reaction
(4) Cross Aldol condensation
Q4:
Click here to check the answers to the above questions.
- Q1: (3)
- Q2: (3)
- Q3: (4)
- Q4: (2)
- 12:32 PM IST• 22 Jun 2022
NEET Daily Practice Test – June 22, 2022
Q1: Which of the following statements about inclusion bodies is incorrect?
(1) They are not bound by any membrane.
(2) These are involved in ingestion of food particles.
(3) They lie free in the cytoplasm.
(4) These represent reserve material in cytoplasm.
Q2: How many true breeding pea plant varieties did Mendel select as pairs, which were similar except in one character with contrasting traits?
(1) 4
(2) 2
(3) 14
(4) 8
Q3:
Q4:
Click here to know the answers to the above questions.
- Q1: (2)
- Q2: (3)
- Q3: (1)
- Q4: (3)
- 10:52 AM IST• 21 Jun 2022
NEET Daily Practice Test – June 21, 2022
Q1: Cuboidal epithelium with brush border of microvilli is found in:
(1) lining of intestine
(2) ducts of salivary glands
(3) proximal convoluted tubule of nephron
(4) eustachian tube
Q2: Match the trophic levels with their correct species examples in grassland ecosystem.
Q3:
(1) 0.20 K
(2) 0.80 K
(3) 0.40 K
(4) 0.60 K
Q4:
Click here to know the answers to the above questions.
- Q1: (3)
- Q2: (1)
- Q3: (3)
- Q4:(3)
- 11:46 AM IST• 20 Jun 2022
NEET Daily Practice Test – June 20, 2022
Q1: Identify the correct statement with regard to G1 phase (Gap 1) of interphase.
(1) DNA synthesis or replication takes place.
(2) Reorganisation of all cell components takes place.
(3) Cell is metabolically active, grows but does not replicate its DNA.
(4) Nuclear Division takes place.
Q2: The enzyme enterokinase helps in conversion of:
(1) protein into polypeptides
(2) trypsinogen into trypsin
(3) caseinogen into casein
(4) pepsinogen into pepsin
Q3: The correct option for free expansion of an ideal gas under adiabatic condition is:
Q4: Two particles of mass 5 kg and 10 kg respectively are attached to the two ends of a rigid rod of length 1 m with negligible mass. The centre of mass of the system from the 5 kg particle is nearly at a distance of:
(1) 33 cm
(2) 50 cm
(3) 67 cm
(4) 80 cm
Click here to know the answers to the above questions.
- Q1: (3)
- Q2: (2)
- Q3: (1)
- Q4: (3)
- 12:38 PM IST• 17 Jun 2022
NEET Daily Practice Test – June 17, 2022
Q1: The product(s) of reaction catalyzed by nitrogenase in root nodules of leguminous plants is/are:
(1) Ammonia alone
(2) Nitrate alone
(3) Ammonia and oxygen
(4) Ammonia and hydrogen
Q2: The ovary is half inferior in:
(1) Brinjal
(2) Mustard
(3) Sunflower
(4) Plum
Q3: The calculated spin only magnetic moment of Cr2+ ion is:
(1) 3.87 BM
(2) 4.90 BM
(3) 5.92 BM
(4) 2.84 BM
Q4: In a guitar, two strings A and B made of same material are slightly out of tune and produce beats of frequency 6 Hz. When tension in B is slightly decreased, the beat frequency increases to 7 Hz. If the frequency of A is 530 Hz, the original frequency of B will be:
(1) 523 Hz
(2) 524 Hz
(3) 536 Hz
(4) 537 Hz
Click here to know the answers to the above questions.
- Q1: (4)
- Q2: (4)
- Q3: (2)
- Q4: (2)
- 3:00 PM IST• 16 Jun 2022
NEET Daily Practice Test – June 16, 2022
Q1: The plant parts which consist of two generations – one within the other:
(a) Pollen grains inside the anther
(b) Germinated pollen grain with two male gametes
(c) Seed inside the fruit
(d) Embryo sac inside the ovule
(1) (a) only
(2) (a), (b) and (c)
(3) (c) and (d)
(4) (a) and (d)
Q2: Which of the following is correct about viroids?
(1) They have RNA with protein coat.
(2) They have free RNA without protein coat.
(3) They have DNA with protein coat.
(4) They have free DNA without protein coat.
Q3: Which of the following amine will give the carbylamine test?
Q4: A screw gauge has least count of 0.01 mm and there are 50 divisions in its circular scale. The pitch of the screw gauge is:
(1) 0.01 mm
(2) 0.25 mm
(3) 0.5 mm
(4) 1.0 mm
Click here to get the answers to the above questions.
- Q1: (4)
- Q2: (2)
- Q3: (1)
- Q4: (3)
- 1:39 PM IST• 14 Jun 2022
NEET Daily Practice Test – June 14, 2022
Q1: Identify the substances having glycosidic bond and peptide bond, respectively in their structure:
(1) Chitin, cholesterol
(2) Glycerol, trypsin
(3) Cellulose, lecithin
(4) Inulin, insulin
Q2: Montreal protocol was signed in 1987 for control of:
(1) Transport of Genetically modified organisms from one country to another
(2) Emission of ozone depleting substances
(3) Release of Green House gases
(4) Disposal of e-wastes
Q3: Which of the following oxoacid of sulphur has ?O?O? linkage?
Q4: The phase difference between displacement and acceleration of a particle in a simple harmonic motion is:
(1) ? rad
(2) 3 rad 2 ?
(3) rad 2 ?
(4) zero
Click here to get the answers to the above questions.
- Q1: (4)
- Q2: (2)
- Q3: (3)
- Q4: (1)
- 11:32 AM IST• 13 Jun 2022
NEET Daily Practice Test – June 13, 2022
Q1: The infectious stage of Plasmodium that enters the human body is:
(1) Trophozoites
(2) Sporozoites
(3) Female gametocytes
(4) Male gametocytes
Q2: Match the following columns and select the correct option.
Q3: Reaction between acetone and methylmagnesium chloride followed by hydrolysis will give:
(1) Isopropyl alcohol
(2) Sec. butyl alcohol
(3) Tert. butyl alcohol
(4) Isobutyl alcohol
Q4: The solids which have the negative temperature coefficient of resistance are:
(1) metals
(2) insulators only
(3) semiconductors only
(4) insulators and semiconductors
Click here to get the answers to the above questions.
- Q1: (2)
- Q2: (1)
- Q3: (3)
- Q4: (4)
- 12:43 PM IST• 10 Jun 2022
NEET Daily Practice Test – June 10, 2022
Q1: Match the following columns and select the correct option.
Q2: Which of the following hormone levels will cause release of ovum (ovulation) from the graffian follicle?
(1) High concentration of Estrogen
(2) High concentration of Progesterone
(3) Low concentration of LH
(4) Low concentration of FSH
Q3: On electrolysis of dil.sulphuric acid using Platinum (Pt) electrode, the product obtained at anode will be:
(1) Hydrogen gas
(2) Oxygen gas
(3) H2S gas
(4) SO2 gas
Q4: A body weighs 72 N on the surface of the earth. What is the gravitational force on it, at a height equal to half the radius of the earth?
(1) 48 N
(2) 32 N
(3) 30 N
(4) 24 N
Click here to get the answers to the above questions.
- Q1: (2)
- Q2: (1)
- Q3: (2)
- Q4: (3)
- 11:12 AM IST• 9 Jun 2022
NEET Daily Practice Test – June 9, 2022
Q1: Select the correct match.
Q2: Which of the following pairs is of unicellular algae?
(1) Laminaria and Sargassum
(2) Gelidium and Gracilaria
(3) Anabaena and Volvox
(4) Chlorella and Spirulina
Q3: Which of the following set of molecules will have zero dipole moment?
(1) Ammonia, beryllium difluoride, water, 1,4-dichlorobenzene
(2) Boron trifluoride, hydrogen fluoride, carbon dioxide, 1,3-dichlorobenzene
(3) Nitrogen trifluoride, beryllium difluoride, water, 1,3-dichlorobenzene
(4) Boron trifluoride, beryllium difluoride, carbon dioxide, 1,4-dichlorobenzene
Q4: The energy equivalent of 0.5 g of a substance is:
Click here to get the answers to the above questions.
- Q1: (3)
- Q2: (4)
- Q3: (4)
- Q4: (2)
- 4:13 PM IST• 8 Jun 2022
NEET Daily Practice Test – June 8, 2022
Q1: Choose the correct pair from the following:
Q2: Match the following with respect to meiosis:
Q3: An element has a body centered cubic (bcc) structure with a cell edge of 288 pm. The atomic radius is:
Q4: Two cylinders A and B of equal capacity are connected to each other via a stop cock. A contains an ideal gas at standard temperature and pressure. B is completely evacuated. The entire system is thermally insulated. The stop cock is suddenly opened. The process is:
(1) isothermal
(2) adiabatic
(3) isochoric
(4) isobaric
Click here to get the answers to the above questions.
- Q1: (1)
- Q2: (2)
- Q3: (1)
- Q4: (2)
- 4:32 PM IST• 7 Jun 2022
NEET Daily Practice Test – June 7, 2022
Q1: Identify the wrong statement with reference to the gene ‘I’ that controls ABO blood groups.
(1) The gene (I) has three alleles.
(2) A person will have only two of the three alleles.
(3) When IA and IB are present together, they express same type of sugar.
(4) Allele ‘i’ does not produce any sugar.
Q2: Select the option including all sexually transmitted diseases.
(1) Gonorrhoea, Syphilis, Genital herpes
(2) Gonorrhoea, Malaria, Genital herpes
(3) AIDS, Malaria, Filaria
(4) Cancer, AIDS, Syphilis
Q3: Identify the incorrect match.
Q4: A ray is incident at an angle of incidence i on one surface of a small angle prism (with angle of prism A) and emerges normally from the opposite surface. If the refractive index of the material of the prism is µ, then the angle of incidence is nearly equal to:
Click here to get the answers to the above questions.
- Q1: (3)
- Q2: (1)
- Q3: (4)
- Q4: (3)
- 10:56 AM IST• 6 Jun 2022
NEET Daily Practice Test – June 6, 2022
Q1: In which of the following techniques, the embryos are transferred to assist those females who cannot conceive?
(1) ZIFT and IUT
(2) GIFT and ZIFT
(3) ICSI and ZIFT
(4) GIFT and ICSI
Q2: Floridean starch has structure similar to:
(1) Starch and cellulose
(2) Amylopectin and glycogen
(3) Mannitol and algin
(4) Laminarin and cellulose
Q3: Identify compound X in the following sequence of reactions:
Q4:
Click here to get the answers to the above questions.
- Q1: (1)
- Q2: (2)
- Q3: (3)
- Q4: (2)
- 12:34 PM IST• 3 Jun 2022
NEET Daily Practice Test – June 3, 2022
Q1: Match the following diseases with the causative organism and select the correct option.
Q2: Presence of which of the following conditions in urine are indicative of Diabetes Mellitus?
(1) Uremia and Ketonuria
(2) Uremia and Renal Calculi
(3) Ketonuria and Glycosuria
(4) Renal calculi and Hyperglycaemia
Q3: Hydrolysis of sucrose is given by the following reaction.
Q4:
Click here to get the answers to the above questions.
- Q1: (2)
- Q2: (3)
- Q3: (1)
- Q4: (3)
- 4:31 PM IST• 2 Jun 2022
NEET Daily Practice Test – June 2, 2022
Q1: The roots that originate from the base of the stem are:
(1) Fibrous roots
(2) Primary roots
(3) Prop roots
(4) Lateral roots
Q2: Match the following columns and select the correct option.
Q3: Identify the correct statements from the following:
Q4: The ratio of contributions made by the electric field and magnetic field components to the intensity of an electromagnetic wave is: (c=speed of electromagnetic waves)
Click here to get the answers to the above questions.
- Q1: (1)
- Q2: (2)
- Q3: (4)
- Q4: (2)
- 1:06 PM IST• 1 Jun 2022
NEET Daily Practice Test – June 1, 2022
Q1: The process of growth is maximum during:
(1) Log phase
(2) Lag phase
(3) Senescence
(4) Dormancy
Q2: Identify the correct statement with reference to human digestive system.
(1) Ileum opens into small intestine.
(2) Serosa is the innermost layer of the alimentary canal.
(3) Ileum is a highly coiled part.
(4) Vermiform appendix arises from duodenum.
Q3:
Q4: For which one of the following, Bohr model is not valid?
(1) Hydrogen atom
(2) Singly ionised helium atom (He+)
(3) Deuteron atom
(4) Singly ionised neon atom (Ne+)
Click here to get the answers to the above questions.
- Q1: (2)
- Q2: (3)
- Q3: (1)
- Q4: (4)
- 10:54 AM IST• 31 May 2022
NEET Daily Practice Test – May 31, 2022
Q1: Which of the following is not an attribute of a population?
(1) Sex ratio
(2) Natality
(3) Mortality
(4) Species interaction
Q2: By which method was a new breed ‘Hisardale’ of sheep formed by using Bikaneri ewes and Marino rams?
(1) Out crossing
(2) Mutational breeding
(3) Cross breeding
(4) Inbreeding
Q3: Identify a molecule which does not exist.
Q4: Anisole on cleavage with HI gives:
Click here to get the answers to the above questions.
- Q1: (4)
- Q2: (3)
- Q3: (1)
- Q4: (1)
- 10:20 AM IST• 26 May 2022
NEET Daily Practice Test – May 26, 2022
Q1:
Q2: For irreversible expansion of an ideal gas under isothermal condition, the correct option is:
Q3:
Q4: Following are the statements about prostomium of earthworm.
(a) It serves as a covering for mouth.
(b) It helps to open cracks in the soil into which it can crawl.
(c) It is one of the sensory structures.
(d) It is the first body segment.
Choose the correct answer from the options given below.
(1) (a), (b) and (c) are correct
(2) (a), (b) and (d) are correct
(3) (a), (b), (c) and (d) are correct
(4) (b) and (c) are correct
Click here to get the answers to the above questions.
- Q1: (1)
- Q2: (3)
- Q3: (1)
- Q4: (1)
- 11:45 AM IST• 25 May 2022
NEET Daily Practice Test – May 25, 2022
Q1:
Q2:
Q3: DNA fingerprinting involves identifying differences in some specific regions in DNA sequence, called as:
(1) Satellite DNA
(2) Repetitive DNA
(3) Single nucleotides
(4) Polymorphic DNA
Q4: During muscular contraction which of the following events occur?
(a) ‘H’ zone disappears
(b) ‘A’ band widens
(c) ‘I’ band reduces in width
(d) Myosine hydrolyzes ATP, releasing the ADP and Pi
(e) Z-lines attached to actins are pulled inwards
Choose the correct answer from the options given below.
(1) (a), (c), (d), (e) only
(2) (a), (b), (c), (d) only
(3) (b), (c), (d), (e) only
(4) (b), (d), (e), (a) only
Click here to get answers to above questions
- Q1: (2)
- Q2: (1)
- Q3: (2)
- Q4: (1)
- 10:38 AM IST• 24 May 2022
NEET Daily Practice Test – May 24, 2022
Q1:
Q2:
Q3: Now a days it is possible to detect the mutated gene causing cancer by allowing radioactive probe to hybridise its complimentary DNA in a clone of cells, followed by its detection using autoradiography because:
(1) mutated gene partially appears on a photographic film.
(2) mutated gene completely and clearly appears on a photographic film.
(3) mutated gene does not appear on a photographic film as the probe has no complimentarity with it. (4) mutated gene does not appear on photographic film as the probe has complimentarity with it.
Q4: Following are the statements with reference to ‘lipids’.
(a) Lipids having only single bonds are called unsaturated fatty acids.
(b) Lecithin is a phospholipid.
(c) Trihydroxy propane is glycerol.
(d) Palmitic acid has 20 carbon atoms including carboxyl carbon.
(e) Arachidonic acid has 16 carbon atoms.
Choose the correct answer from the options given below.
(1) (a) and (b) only
(2) (c) and (d) only
(3) (b) and (c) only
(4) (b) and (e) only
Click here to get answers to the above questions.
- Q1: (4)
- Q2: (4)
- Q3: (3)
- Q4: (3)
- 2:23 PM IST• 23 May 2022
NEET Daily Practice Test – May 23, 2022
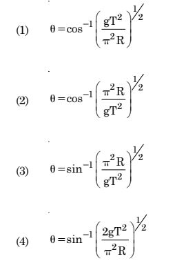
Q1: A particle moving in a circle of radius R with a uniform speed takes a time T to complete one revolution.
If this particle were projected with the same speed at an angle ‘?’ to the horizontal, the maximum height attained by it equals 4R. The angle of projection, ?, is then given by:
Q2:
Q3:
Q4:
Click here to get answers to the above questions.
- Q1: (4)
- Q2: (1)
- Q3: (1)
- Q4: (1)
- 11:56 AM IST• 19 May 2022
NEET Daily Practice Test – May 19, 2022
Q1: A step down transformer connected to an ac mains supply of 220 V is made to operate at 11 V, 44 W lamp. Ignoring power losses in the transformer, what is the current in the primary circuit?
(1) 0.2 A
(2) 0.4 A
(3) 2 A
(4) 4 A
Q2:
Q3: In some members of which of the following pairs of families, pollen grains retain their viability for months after release?
(1) Poaceae ; Rosaceae
(2) Poaceae ; Leguminosae
(3) Poaceae ; Solanaceae
(4) Rosaceae ; Leguminosae
Q4: Assertion (A):
A person goes to high altitude and experiences ‘altitude sickness’ with symptoms like breathing difficulty and heart palpitations.
Reason (R):
Due to low atmospheric pressure at high altitudes, the body does not get sufficient oxygen.
In the light of the above statements, choose the correct answer from the options given below.
(1) Both (A) and (R) are true and (R) is the correct explanation of (A)
(2) Both (A) and (R) are true but (R) is not the correct explanation of (A)
(3) (A) is true but (R) is false
(4) (A) is false but (R) is true
Click here to get answers to the above questions.
- Q1 (1)
- Q2: (3)
- Q3: (4)
- Q4: (1)
- 12:25 PM IST• 18 May 2022
NEET Daily Practice Test – May 18, 2022
Q1: A ball of mass 0.15 kg is dropped from a height 10 m, strikes the ground and rebounds to the same height. The magnitude of impulse imparted to the ball is (g=10 m/s2) nearly:
(1) 0 kg m/s
(2) 4.2 kg m/s
(3) 2.1 kg m/s
(4) 1.4 kg m/s
Q2:
Q3: Which of the following statements is incorrect?
(1) During aerobic respiration, role of oxygen is limited to the terminal stage.
(2) In ETC (Electron Transport Chain), one molecule of NADH+H+ gives rise to 2 ATP molecules, and one FADH2 gives rise to 3 ATP molecules
(3) ATP is synthesized through complex V.
(4) Oxidation-reduction reactions produce proton gradient in respiration.
Q4: The Adenosine deaminase deficiency results into:
(1) Dysfunction of Immune system
(2) Parkinson’s disease
(3) Digestive disorder
(4) Addison’s disease
Click here to get answers to the above questions.
- Q1: (2)
- Q2: (3)
- Q3: (2)
- Q4: (1)
- 1:16 PM IST• 17 May 2022
NEET Daily Practice Test – May 17, 2022
Q1: A uniform conducting wire of length 12a and resistance ‘R’ is wound up as a current carrying coil in the shape of,
(i) an equilateral triangle of side ‘a’.
(ii) a square of side ‘a’.
The magnetic dipole moments of the coil in each case respectively are:
Q2: In which one of the following arrangements the given sequence is not strictly according to the properties indicated against it?
Q3: Which of the following statements is correct?
(1) Fusion of two cells is called Karyogamy.
(2) Fusion of protoplasms between two motile on non-motile gametes is called plasmogamy.
(3) Organisms that depend on living plants are called saprophytes.
(4) Some of the organisms can fix atmospheric nitrogen in specialized cells called sheath cells.
Q4: Match List - I with List - II.
Click here to get answers to the above questions.
- Q1: (1)
- Q2: (2)
- Q3: (2)
- Q4: (4)
- 10:51 AM IST• 12 May 2022
NEET Daily Practice Test – May 12, 2022
Q1: Twenty seven drops of same size are charged at 220 V each. They combine to form a bigger drop. Calculate the potential of the bigger drop.
(1) 660 V
(2) 1320 V
(3) 1520 V
(4) 1980 V
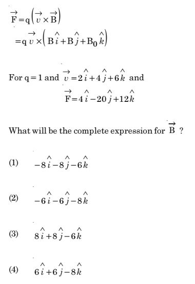
Q2: Which of the following molecules is non-polar in nature?
Q3: Match List - I with List-II.
Q4: Statement I:
The codon ‘AUG’ codes for methionine and phenylalanine.
Statement II:
‘AAA’ and ‘AAG’ both codons code for the amino acid lysine. In the light of the above statements, choose the correct answer from the options given below.
(1) Both Statement I and Statement II are true
(2) Both Statement I and Statement II are false
(3) Statement I is correct but Statement II is false
(4) Statement I is incorrect but Statement II is true
Click here to get answers to the above questions.
- Q1: (4)
- Q2: (3)
- Q3: (3)
- Q4: (4)
- 12:24 PM IST• 11 May 2022
NEET Daily Practice Test – May 11, 2022
Q1:
Q2:
Q3:
Q4: Which of the following is not a step in Multiple Ovulation Embryo Transfer Technology (MOET)?
(1) Cow is administered hormone having LH like activity for super ovulation
(2) Cow yields about 6-8 eggs at a time
(3) Cow is fertilized by artificial insemination
(4) Fertilized eggs are transferred to surrogate mothers at 8-32 cell stage
Click here to get answers to the above questions.
- Q1: (4)
- Q2: (3)
- Q3: (1)
- Q4: (1)
- 10:12 AM IST• 10 May 2022
NEET Daily Practice Test – May 10, 2022
Q1: A point object is placed at a distance of 60 cm from a convex lens of focal length 30 cm. If a plane mirror were put perpendicular to the principal axis of the lens and at a distance of 40 cm from it, the final image would be formed at a distance of:
(1) 20 cm from the lens, it would be a real image.
(2) 30 cm from the lens, it would be a real image.
(3) 30 cm from the plane mirror, it would be a virtual image.
(4) 20 cm from the plane mirror, it would be a virtual image.
Q2: The reagent ‘R’ in the given sequence of chemical reaction is:
Q3: What is the role of RNA polymerase III in the process of transcription in eukaryotes?
(1) Transcribes rRNAs (28S, 18S and 5.8S)
(2) Transcribes tRNA, 5s rRNA and snRNA
(3) Transcribes precursor of mRNA
(4) Transcribes only snRNAs
Q4:
Click here to get answers to the above questions.
- Q1: (4)
- Q2: (2)
- Q3: (2)
- Q4: (2)
- 10:13 AM IST• 9 May 2022
NEET Daily Practice Test – May 9, 2022
Q1: A uniform rod of length 200 cm and mass 500 g is balanced on a wedge placed at 40 cm mark. A mass of 2 kg is suspended from the rod at 20 cm and another unknown mass ‘m’ is suspended from the rod at 160 cm mark as shown in the figure. Find the value of ‘m’ such that the rod is in equilibrium. (g=10 m/s2)
Q2: From the following pairs of ions which one is not an iso-electronic pair?
Q3: In the exponential growth equation
(1) The base of number logarithms
(2) The base of exponential logarithms
(3) The base of natural logarithms
(4) The base of geometric logarithms
Q4:
Click here to get answers to the above questions.
- Q1: (4)
- Q2: (4)
- Q3: (3)
- Q4: (3)
- 4:16 PM IST• 7 May 2022
NEET Daily Practice Test – May 7, 2022
Q1: A series LCR circuit containing 5.0 H inductor, 80 µF capacitor and 40 ? resistor is connected to 230 V variable frequency ac source. The angular frequencies of the source at which power transferred to the circuit is half the power at the resonant angular frequency are likely to be:
(1) 25 rad/s and 75 rad/s
(2) 50 rad/s and 25 rad/s
(3) 46 rad/s and 54 rad/s
(4) 42 rad/s and 58 rad/s
Q2: Match List - I with List - II.
Q3: Select the correct pair.
(1) Large colorless empty - Subsidiary cells cells in the epidermis of grass leaves
(2) In dicot leaves, vascular - Conjunctive bundles are surrounded tissue by large thick-walled cells
(3) Cells of medullary rays - Interfascicular that form part of cambium cambial ring
(4) Loose parenchyma cells - Spongy rupturing the epidermis parenchyma and forming a lensshaped opening in bark
Q4: Which of these is not an important component of initiation of parturition in humans?
(1) Increase in estrogen and progesterone ratio
(2) Synthesis of prostaglandins
(3) Release of Oxytocin
(4) Release of Prolactin
Click here to get answers to the above questions.
- Q1: (3)
- Q2: (4)
- Q3: (3)
- Q4: (4)
- 12:55 PM IST• 6 May 2022
NEET Daily Practice Test – May 6, 2022
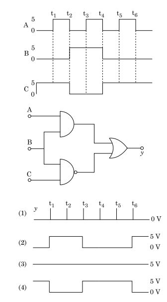
Q1: For the given circuit, the input digital signals are applied at the terminals A, B and C. What would be the output at the terminal y?
Q2: The product formed in the following chemical reaction is:
Q3: Match Column – I with Column – II.
Q4: Which one of the following statements about Histones is wrong?
(1) Histones are organized to form a unit of 8 molecules.
(2) The pH of histones is slightly acidic.
(3) Histones are rich in amino acids - Lysine and Arginine.
(4) Histones carry positive charge in the side chain.
Click here to get answers to the above questions.
- Q1: (3)
- Q2: (4)
- Q3: (1)
- Q4: (2)
- 11:23 AM IST• 5 May 2022
NEET Daily Practice Test – May 5, 2022
Q1: In the product
Q2:
Q3: Identify the correct statement.
(1) In capping, methyl guanosine triphosphate is added to the 39 end of hnRNA.
(2) RNA polymerase binds with Rho factor to terminate the process of transcription in bacteria.
(3) The coding strand in a transcription unit is copied to an mRNA.
(4) Split gene arrangement is characteristic of prokaryotes.
Q4: Identify the types of cell junctions that help to stop the leakage of the substances across a tissue and facilitation of communication with neighbouring cells via rapid transfer of ions and molecules.
(1) Gap junctions and Adhering junctions, respectively.
(2) Tight junctions and Gap junctions, respectively.
(3) Adhering junctions and Tight junctions, respectively.
(4) Adhering junctions and Gap junctions, respectively.
Click here to get answers to the above questions.
- Q1: (2)
- Q2: (3)
- Q3: (2)
- Q4: (2)
- 1:17 PM IST• 3 May 2022
NEET Daily Practice Test – May 3, 2022
Q1:
Q2:
Q3: Which of the following statements is incorrect?
(1) Both ATP and NADPH+H+ are synthesized during non-cyclic photophosphorylation.
(2) Stroma lamellae have PS I only and lack NADP reductase.
(3) Grana lamellae have both PS I and PS II.
(4) Cyclic photophosphorylation involves both PS I and PS II.
Q4: Which of the following secretes the hormone, relaxin, during the later phase of pregnancy?
(1) Graafian follicle
(2) Corpus luteum
(3) Foetus
(4) Uterus
Click here to get answers to the above questions.
- Q1: (4)
- Q2: (3)
- Q3: (4)
- Q4: (2)
- 4:42 PM IST• 1 May 2022
NEET Daily Practice Test – May 1, 2022
Q1: A nucleus with mass number 240 breaks into two fragments each of mass number 120, the binding energy per nucleon of unfragmented nuclei is 7.6 MeV while that of fragments is 8.5 MeV. The total gain in the Binding Energy in the process is:
(1) 0.9 MeV
(2) 9.4 MeV
(3) 804 MeV
(4) 216 MeV
Q2: Tritium, a radioactive isotope of hydrogen, emits which of the following particles?
Q3: The first stable product of CO2 fixation in sorghum is:
(1) Pyruvic acid
(2) Oxaloacetic acid
(3) Succinic acid
(4) Phosphoglyceric acid
Q4: If Adenine makes 30% of the DNA molecule, what will be the percentage of Thymine, Guanine and Cytosine in it?
(1) T : 20 ; G : 30 ; C : 20
(2) T : 20 ; G : 20 ; C : 30
(3) T : 30 ; G : 20 ; C : 20
(4) T : 20 ; G : 25 ; C : 25
Click here to get answers to the above questions.
- Q1: (4)
- Q2: (1)
- Q3: (2)
- Q4: (3)
- 8:12 PM IST• 30 Apr 2022
NEET Daily Practice Test – April 30, 2022
Q1: The half-life of a radioactive nuclide is 100 hours. The fraction of original activity that will remain after 150 hours would be:
Q2: The RBC deficiency is deficiency disease of:
(1) Vitamin B12
(2) Vitamin B6
(3) Vitamin B1
(4) Vitamin B2
Q3: The amount of nutrients, such as carbon, nitrogen, phosphorus and calcium present in the soil at any given time, is referred as:
(1) Climax
(2) Climax community
(3) Standing state
(4) Standing crop
Q4: Match List - I with List – II.
Click here to get answers to the above questions.
- Q1: (2)
- Q2: (1)
- Q3: (3)
- Q4: (2)
- 5:07 PM IST• 28 Apr 2022
NEET Daily Practice Test – April 28, 2022
Q1: The effective resistance of a parallel connection that consists of four wires of equal length, equal area of cross-section and same material is 0.25 ?. What will be the effective resistance if they are connected in series?
(1) 0.25 ?
(2) 0.5 ?
(3) 1 ?
(4) 4 ?
Q2: The incorrect statement among the following is:
(1) Actinoid contraction is greater for element to element than Lanthanoid contraction.
(2) Most of the trivalent Lanthanoid ions are colorless in the solid state.
(3) Lanthanoids are good conductors of heat and electricity.
(4) Actinoids are highly reactive metals, especially when finely divided.
Q3: Which of the following is a correct sequence of steps in a PCR (Polymerase Chain Reaction)?
(1) Denaturation, Annealing, Extension
(2) Denaturation, Extension, Annealing
(3) Extension, Denaturation, Annealing
(4) Annealing, Denaturation, Extension
Q4: Erythropoietin hormone which stimulates R.B.C. formation is produced by:
(1) Alpha cells of pancreas
(2) The cells of rostral adenohypophysis
(3) The cells of bone marrow
(4) Juxtaglomerular cells of the kidney
Click here to get answers to the above questions.
- Q1: (4)
- Q2: (2)
- Q3: (1)
- Q4: (4)
- 12:01 PM IST• 27 Apr 2022
NEET Daily Practice Test – April 27, 2022
Q1:
Q2: The correct structure of 2,6-Dimethyl-dec-4-ene is:
- 11:14 AM IST• 26 Apr 2022
NEET Daily Practice Test – April 26, 2022
Q1:
Q2: Which of the following reactions is the metal displacement reaction? Choose the right option.
- 12:38 PM IST• 25 Apr 2022
NEET Daily Practice Test – April 25, 2022
Q1: The electron concentration in an n-type semiconductor is the same as hole concentration in a p-type semiconductor. An external field (electric) is applied across each of them. Compare the currents in them.
(1) current in n-type=current in p-type.
(2) current in p-type > current in n-type.
(3) current in n-type > current in p-type.
(4) No current will flow in p-type, current will only flow in n-type.
Q2: What is the IUPAC name of the organic compound formed in the following chemical reaction?
- 12:25 PM IST• 24 Apr 2022
NEET Daily Practice Test – April 24, 2022
Q1:
Q2: Identify the compound that will react with Hinsberg’s reagent to give a solid which dissolves in alkali.
- 4:36 PM IST• 23 Apr 2022
NEET Daily Practice Test – April 23, 2022
Q1:
Q2: Statement I:
Acid strength increases in the order given as HF << HCl << HBr << HI.
Statement II:
As the size of the elements F, Cl, Br, I increases down the group, the bond strength of HF, HCl, HBr and HI decreases and so the acid strength increases.
In the light of the above statements, choose the correct answer from the options given below.
(1) Both Statement I and Statement II are true.
(2) Both Statement I and Statement II are false.
(3) Statement I is correct but Statement II is false.
(4) Statement I is incorrect but Statement II is true.
Q3: Diadelphous stamens are found in:
(1) China rose
(2) Citrus
(3) Pea
(4) China rose and citrus
Q4: Which one of the following belongs to the family Muscidae?
(1) Fire fly
(2) Grasshopper
(3) Cockroach
(4) House fly
Click here to get answers to the above questions.
- Q1: (2)
- Q2: (1)
- Q3: (3)
- Q4: (4)
- 4:48 PM IST• 22 Apr 2022
NEET Daily Practice Test – April 22, 2022
Q1: In a potentiometer circuit a cell of EMF 1.5 V gives balance point at 36 cm length of wire. If another cell of EMF 2.5 V replaces the first cell, then at what length of the wire, the balance point occurs?
(1) 60 cm
(2) 21.6 cm
(3) 64 cm
(4) 62 cm
Q2:
Q3:
Q4: Persons with ‘AB’ blood group are called as “Universal recipients”. This is due to:
(1) Absence of antigens A and B on the surface of RBCs
(2) Absence of antigens A and B in plasma
(3) Presence of antibodies, anti-A and anti-B, on RBCs
(4) Absence of antibodies, anti-A and anti-B, in plasma
Click here to get answers to the above questions.
- Q1: (1)
- Q2: (1)
- Q3: (1)
- Q4: (4)
- 1:42 PM IST• 21 Apr 2022
NEET Daily Practice Test – April 21, 2022
Q1: A thick current carrying cable of radius ‘R’ carries current ‘I’ uniformly distributed across its cross-section. The variation of magnetic field B(r) due to the cable with the distance ‘r’ from the axis of the cable is represented by:
- 12:57 PM IST• 20 Apr 2022
NEET Daily Practice Test – April 20, 2022
Q1: Polar molecules are the molecules:
(1) having zero dipole moment.
(2) acquire a dipole moment only in the presence of electric field due to displacement of charges.
(3) acquire a dipole moment only when magnetic field is absent.
(4) having a permanent electric dipole moment.
Q2: The structures of beryllium chloride in solid state and vapour phase, are:
(1) Chain and dimer, respectively
(2) Linear in both
(3) Dimer and Linear, respectively
(4) Chain in both
Q3: During the purification process for recombinant DNA technology, addition of chilled ethanol precipitates out:
(1) RNA
(2) DNA
(3) Histones
(4) Polysaccharides
Q4: During the process of gene amplification using PCR, if very high temperature is not maintained in the beginning, then which of the following steps of PCR will be affected first?
(1) Annealing
(2) Extension
(3) Denaturation
(4) Ligation
Click here to get answers to the above questions.
- Q1: (4)
- Q2: (1)
- Q3: (2)
- Q4: (3)
- 5:58 PM IST• 18 Apr 2022
NEET Daily Practice Test – April 18, 2022
Q1:
Q2:
(1) 8.50
(2) 5.50
(3) 7.75
(4) 6.25
Q3: Which of the following algae contains mannitol as reserve food material?
(1) Ectocarpus
(2) Gracilaria
(3) Volvox
(4) Ulothrix
Q4: Dobson units are used to measure the thickness of:
(1) CFCs
(2) Stratosphere
(3) Ozone
(4) Troposphere
Click here to get answers to the above questions.
- Q1: (2)
- Q2: (3)
- Q3: (1)
- Q4: (3)
- 10:49 PM IST• 17 Apr 2022
NEET Daily Practice Test – April 17, 2022
Q1: Water falls from a height of 60 m at the rate of 15 kg/s to operate a turbine. The losses due to frictional force are 10% of the input energy. How much power is generated by the turbine? (g= 10m/s²)
(1) 10.2 kW
(2) 8.1 kW
(3) 12.3 kW
(4) 7.0 kW
Q2: The correct sequence of bond enthalpy of ‘C–X’ bond is:
Q3: Which of the following statements is not correct?
(1) Pyramid of biomass in sea is generally inverted.
(2) Pyramid of biomass in sea is generally upright.
(3) Pyramid of energy is always upright.
(4) Pyramid of numbers in a grassland ecosystem is upright.
Q4: Read the following statements.
(a) Metagenesis is observed in Helminths.
(b) Echinoderms are triploblastic and coelomate animals.
(c) Round worms have organ-system level of body organization.
(d) Comb plates present in ctenophores help in digestion.
(e) Water vascular system is characteristic of Echinoderms.
Choose the correct answer from the options given below.
(1) (c), (d) and (e) are correct
(2) (a), (b) and (c) are correct
(3) (a), (d) and (e) are correct
(4) (b), (c) and (e) are correct
Click here to get answers to the above questions.
- Q1: (2)
- Q2: (2)
- Q3: (2)
- Q4: (4)
- 11:05 PM IST• 16 Apr 2022
NEET Daily Practice Test – April 16, 2022
Q1: A screw gauge gives the following readings when used to measure the diameter of a wire
Main scale reading: 0 mm
Circular scale reading: 52 divisions
Given that 1 mm on main scale corresponds to 100 divisions on the circular scale. The diameter of the wire from the above data is:
(1) 0.52 cm
(2) 0.026 cm
(3) 0.26 cm
(4) 0.052 cm
Q2: Ethylene diaminetetraacetate (EDTA) ion is:
(1) Hexadentate ligand with four “O” and two “N” donor atoms
(2) Unidentate ligand
(3) Bidentate ligand with two “N” donor atoms
(4) Tridentate ligand with three “N” donor atoms
Q3: Complete the flow chart on central dogma.
(1) (a)-Replication; (b)-Transcription; (c)-Transduction; (d)-Protein
(2) (a)-Translation; (b)-Replication; (c)-Transcription; (d)-Transduction
(3) (a)-Replication; (b)-Transcription; (c)-Translation; (d)-Protein
(4) (a)-Transduction; (b)-Translation; (c)-Replication; (d)-Protein
Q4: Which stage of meiotic prophase shows terminalisation of chiasmata as its distinctive feature?
(1) Leptotene
(2) Zygotene
(3) Diakinesis
(4) Pachytene
Click here to get answers to the above questions.
- Q1: (4)
- Q2: (1)
- Q3: (3)
- Q4: (3)
- 12:48 PM IST• 14 Apr 2022
NEET Daily Practice Test – April 14, 2022
Q1: The escape velocity from the Earth’s surface is v. The escape velocity from the surface of another planet having a radius, four times that of Earth and same mass density is:
(1) v
(2) 2 v
(3) 3 v
(4) 4 v
Q2:
Q3: Genera like Selaginella and Salvinia produce two kinds of spores. Such plants are known as:
(1) Homosorus
(2) Heterosorus
(3) Homosporous
(4) Heterosporous
Q4: For effective treatment of the disease, early diagnosis and understanding its pathophysiology is very important. Which of the following molecular diagnostic techniques is very useful for early detection?
(1) Western Blotting Technique
(2) Southern Blotting Technique
(3) ELISA Technique
(4) Hybridization Technique
Click here to get answers to the above questions.
- Q1: (4)
- Q2: (1)
- Q3: (4)
- Q4: (3)
- 1:36 PM IST• 13 Apr 2022
NEET Daily Practice Test – April 13, 2022
Q1:
Q2: Right option for the number of tetrahedral and octahedral voids in hexagonal primitive unit cell are:
Q3: Which of the following is not an application of PCR (Polymerase Chain Reaction)?
(1) Molecular diagnosis
(2) Gene amplification
(3) Purification of isolated protein
(4) Detection of gene mutation
Q4: In a cross between a male and female, both heterozygous for sickle cell anaemia gene, what percentage of the progeny will be diseased?
(1) 50%
(2) 75%
(3) 25%
(4) 100%
Click here to get answers to the above questions.
- Q1: (4)
- Q2: (4)
- Q3: (3)
- Q4: (3)
- 11:58 AM IST• 12 Apr 2022
NEET Daily Practice Test – April 12, 2022
Q1:
Q2:
(1) Metacentric
(2) Telocentric
(3) Sub-metacentric
(4) Acrocentric
Q4: Which is the “Only enzyme” that has “Capability” to catalyse Initiation, Elongation and Termination in the process of transcription in prokaryotes?
(1) DNA dependent DNA polymerase
(2) DNA dependent RNA polymerase
(3) DNA Ligase
(4) Dnase
Click here to check the answer options for the above questions.
- Q1: (3)
- Q2: (2)
- Q3: (1)
- Q4: (2)
- 6:05 PM IST• 11 Apr 2022
NEET Daily Practice Test – April 11, 2022
Q1: A lens of large focal length and large aperture is best suited as an objective of an astronomical telescope since:
(1) A large aperture contributes to the quality and visibility of the images.
(2) A large area of the objective ensures better light-gathering power.
(3) A large aperture provides a better resolution.
(4) All of the above.
Q2: Zr (Z=40) and Hf (Z=72) have similar atomic and ionic radii because of:
(1) belonging to same group
(2) diagonal relationship
(3) lanthanoid contraction
(4) having similar chemical properties
Q3: Which of the following plants is monoecious?
(1) Carica papaya
(2) Chara
(3) Marchantia polymorpha
(4) Cycas circinalis
Q4: The fruit fly has 8 chromosomes (2n) in each cell. During the interphase of Mitosis if the number of chromosomes in the G1 phase is 8, what would be the number of chromosomes after the S phase?
(1) 8
(2) 16
(3) 4
(4) 32
Click here to check the answer options for the above questions.
- Q1: (4)
- Q2: (3)
- Q3: (2)
- Q4: (1)
- 10:02 PM IST• 10 Apr 2022
NEET Daily Practice Test – April 10, 2022
Q1:
Q2:
Q3: The site of perception of light in plants during photoperiodism is:
(1) Shoot apex
(2) Stem
(3) Axillary bud
(4) Leaf
Q4: With regard to insulin choose correct options.
(a) C-peptide is not present in mature insulin.
(b) The insulin produced by rDNA technology has C-peptide.
(c) The pro-insulin has C-peptide.
(d) A-peptide and B-peptide of insulin are interconnected by disulphide bridges.
Choose the correct answer from the options given below.
(1) (b) and (d) only
(2) (b) and (c) only
(3) (a), (c) and (d) only
(4) (a) and (d) only
Click here to get answers to the above questions.
- Q1: (4)
- Q2: (1)
- Q3: (4)
- Q4: (3)
- 12:06 PM IST• 9 Apr 2022
NEET Daily Practice Test – April 9, 2022
Q1:
Q2: The maximum temperature that can be achieved in blast furnace is:
(1) upto 1200 K
(2) upto 2200 K
(3) upto 1900 K
(4) upto 5000 K
Q3:
Q4: Veneral diseases can spread through:
(a) Using sterile needles
(b) Transfusion of blood from infected person
(c) Infected mother to foetus
(d) Kissing
(e) Inheritance
Choose the correct answer from the options given below.
(1) (a), (b) and (c) only
(2) (b), (c) and (d) only
(3) (b) and (c) only
(4) (a) and (c) only
Click here to get answers to the above questions.
- Q1: (3)
- Q2: (2)
- Q3: (2)
- Q4: (3)
- 1:09 PM IST• 8 Apr 2022
NEET Daily Practice Test – April 8, 2022
Q1: A spring is stretched by 5 cm by a force 10 N. The time period of the oscillations when a mass of 2 kg is suspended by it is:
(1) 0.0628 s
(2) 6.28 s
(3) 3.14 s
(4) 0.628 s
Q2: An organic compound contains 78% (by wt.) carbon and remaining percentage of hydrogen. The right option for the empirical formula of this compound is: [Atomic wt. of C is 12, H is 1]
(1) CH
(2) CH2
(3) CH3
(4) CH4
Q3: Which of the following stages of meiosis involves division of centromere?
(1) Metaphase I
(2) Metaphase II
(3) Anaphase II
(4) Telophase II
Q4: Which of the following is not an objective of Biofortification in crops?
(1) Improve protein content
(2) Improve resistance to diseases
(3) Improve vitamin content
(4) Improve micronutrient and mineral content
Click here to get answers to the above questions.
- Q1: (4)
- Q2: (3)
- Q3: (3)
- Q4: (2)
- 11:54 PM IST• 7 Apr 2022
NEET Daily Practice Test – April 7, 2022
Q1: Column - I gives certain physical terms associated with flow of current through a metallic conductor. Column - II gives some mathematical relations involving electrical quantities. Match Column - I and Column - II with appropriate relations.
- 8:02 PM IST• 6 Apr 2022
NEET Daily Practice Test – April 6, 2022
Q1: For a plane electromagnetic wave propagating in x-direction, which one of the following combination gives the correct possible directions for electric field (E) and magnetic field (B) respectively?
- 10:44 AM IST• 5 Apr 2022
NEET Daily Practice Test – April 5, 2022
Q1: The velocity of a small ball of mass M and density d, when dropped in a container filled with glycerine becomes constant after some time. If the density of glycerine is d/2, then the viscous force acting on the ball will be:
(1) Mg/2
(2) Mg
(3) 3/2 Mg
(4) 2Mg
Q2: The major product of the following chemical reaction is:
Q3: Which of the following algae produce Carrageen?
(1) Green algae
(2) Brown algae
(3) Red algae
(4) Blue-green algae
Q4: Which of the following statements wrongly represents the nature of smooth muscle?
(1) These muscle have no striations
(2) They are involuntary muscles
(3) Communication among the cells is performed by intercalated discs
(4) These muscles are present in the wall of blood vessels
Click here to get answers to the above questions.
- Q1: (1)
- Q2: (1)
- Q3: (3)
- Q4: (3)
- 10:25 AM IST• 4 Apr 2022
NEET Daily Practice Test – April 4, 2022
Q1: A particle is released from height S from the surface of the Earth. At a certain height its kinetic energy is three times its potential energy. The height from the surface of earth and the speed of the particle at that instant are respectively:
- 9:57 PM IST• 3 Apr 2022
NEET Daily Practice Test – April 3, 2022
Q1:
Q2:
Q3: A typical angiosperm embryo sac at maturity is:
(1) 8-nucleate and 7-celled
(2) 7-nucleate and 8-celled
(3) 7-nucleate and 7-celled
(4) 8-nucleate and 8-celled
Q4: Which of the following RNAs is not required for the synthesis of protein?
(1) mRNA
(2) tRNA
(3) rRNA
(4) siRNA
Click here to get answers to the above questions.
- Q1: (2)
- Q2: (2)
- Q3: (1)
- Q4: (4)
- 1:38 PM IST• 2 Apr 2022
NEET Daily Practice Test – April 2, 2022
Q1: If force [F], acceleration [A] and time [T] are chosen as the fundamental physical quantities. Find the dimensions of energy.
- 5:15 PM IST• 1 Apr 2022
NEET Daily Practice Test – April 1, 2022
Q1: A convex lens ‘A’ of focal length 20 cm and a concave lens ‘B’ of focal length 5 cm are kept along the same axis with a distance ‘d’ between them. If a parallel beam of light falling on ‘A’ leaves ‘B’ as a parallel beam, then the distance ‘d’ in cm will be:
(1) 25
(2) 15
(3) 50
(4) 30
Q2: Among the following alkaline earth metal halides, one which is covalent and soluble in organic solvents is:
(1) Calcium chloride
(2) Strontium chloride
(3) Magnesium chloride
(4) Beryllium chloride
Q3: Plants follow different pathways in response to the environment or phases of life to form different kinds of structures. This ability is called:
(1) Elasticity
(2) Flexibility
(3) Plasticity
(4) Maturity
Q4: Match List - I with List - II.
Click here to get answers to the above questions.
- Q1: (3)
- Q2: (4)
- Q3: (3)
- Q4: (3)
- 3:23 PM IST• 31 Mar 2022
NEET Daily Practice Test – March 31, 2022
Q1: Match Column – I and Column – II and choose the correct match from the given choices.
- 12:06 PM IST• 30 Mar 2022
NEET Daily Practice Test – March 30, 2022
Q1: A dipole is placed in an electric field as shown. In which direction will it move?
- 11:02 AM IST• 29 Mar 2022
NEET Daily Practice Test – March 29, 2022
Q1:
Q3: The production of gametes by the parents, formation of zygotes, the F1 and F2 plants, can be understood from a diagram called:
(1) Bullet square
(2) Punch square
(3) Punnett square
(4) Net square
Q4: Select the favourable conditions required for the formation of oxyhaemoglobin at the alveoli.
- 11:24 AM IST• 28 Mar 2022
NEET Daily Practice Test – March 28, 2022
Q1:
Q2: The major product formed in dehydrohalogenation reaction of 2-Bromo pentane is Pent-2-ene. This product formation is based on?
(1) Saytzeff’s Rule
(2) Hund’s Rule
(3) Hofmann Rule
(4) Huckel’s Rule
Q3:
Q4: Which of the following characteristics is incorrect with respect to cockroach?
(1) A ring of gastric caeca is present at the junction of midgut and hind gut.
(2) Hypopharynx lies within the cavity enclosed by the mouth parts.
(3) In females, 7th-9th sterna together form a genital pouch.
(4) 10th abdominal segment in both sexes, bears a pair of anal cerci.
Click here to get answers to the above questions.
Q1: (2) Q2: (1) Q3: (1) Q4: (1) - 1:22 PM IST• 27 Mar 2022
NEET Daily Practice Test – March 27, 2022
Q1: A body is executing simple harmonic motion with frequency ‘n’, the frequency of its potential energy is:
(1) n
(2) 2n
(3) 3n
(4) 4n
Q2: Noble gases are named because of their inertness towards reactivity. Identify an incorrect statement about them.
(1) Noble gases are sparingly soluble in water.
(2) Noble gases have very high melting and boiling points.
(3) Noble gases have weak dispersion forces.
(4) Noble gases have large positive values of electron gain enthalpy.
Q3: Amensalism can be represented as:
(1) Species A (?); Species B (0)
(2) Species A (+); Species B (+)
(3) Species A (?); Species B (?)
(4) Species A (+); Species B (0)
Q4: Which one of the following is an example of Hormone releasing IUD?
(1) CuT
(2) LNG 20
(3) Cu 7
(4) Multiload 375
Click here to get answers to the above questions.
Q1: (2) Q2: (2) Q3: (1) Q4: (2) - 12:03 PM IST• 26 Mar 2022
NEET Daily Practice Test – March 26, 2022
Q1:
Q2: The correct option for the number of body centred unit cells in all 14 types of Bravais lattice unit cells is:
(1) 7
(2) 5
(3) 2
(4) 3
Q3: Inspite of interspecific competition in nature, which mechanism the competing species might have evolved for their survival?
(1) Resource partitioning
(2) Competitive release
(3) Mutualism
(4) Predation
Q4: Chronic auto immune disorder affecting neuro muscular junction leading to fatigue, weakening and paralysis of skeletal muscle is called as:
(1) Arthritis
(2) Muscular dystrophy
(3) Myasthenia gravis
(4) Gout
Click here to get answers to the above questions.
Q1: (1) Q2: (4) Q3: (1) Q4: (3) - 12:23 PM IST• 25 Mar 2022
NEET Daily Practice Test – March 25, 2022
Q1: Consider the following statements (A) and (B) and identify the correct answer.
(A) A zener diode is connected in reverse bias, when used as a voltage regulator.
(B) The potential barrier of p-n junction lies between 0.1 V to 0.3 V.
(1) (A) and (B) both are correct.
(2) (A) and (B) both are incorrect.
(3) (A) is correct and (B) is incorrect.
(4) (A) is incorrect but (B) is correct.
Q2: Which one among the following is the correct option for right relationship between CP and CV for one mole of ideal gas?
(1) CP+CV=R
(2) CP?CV=R
(3) CP=RCV
(4) CV=RCP
Q3: In the equation GPP?R=NPP R represents:
(1) Radiant energy
(2) Retardation factor
(3) Environment factor
(4) Respiration losses
Q4: Which one of the following organisms bears hollow and pneumatic long bones?
(1) Neophron
(2) Hemidactylus
(3) Macropus
(4) Ornithorhynchus
Click here to get answers to above questions.
Q1: (3) Q2: (2) Q3: (4) Q4: (1)
Follow Shiksha.com for latest education news in detail on Exam Results, Dates, Admit Cards, & Schedules, Colleges & Universities news related to Admissions & Courses, Board exams, Scholarships, Careers, Education Events, New education policies & Regulations.
To get in touch with Shiksha news team, please write to us at news@shiksha.com

Comments
(1)
J
3 years ago
Latest News
Next Story





























































































































