UGC NET 2020 cutoff and final answer key out; result to be out soon

UGC NET 2020 cutoff and final answer key out; result to be out soon

1 min read1.6K Views Comment FOLLOW USPrefer Shiksha.comShiksha
New Delhi, Updated on Nov 30, 2020 21:03 IST
UGC NET 2020 cutoff and final answer key have been released by NTA today. Know how to check and download the UGC NET answer key and cutoff here. UGC NET result 2020 will be announced soon.

UGC NET 2020 cutoff and final answer key have been released by NTA today. Know how to check and download the UGC NET answer key and cutoff here. UGC NET result 2020 will be announced soon.

UGC NET 2020 cutoff and final answer key out

The National Testing Agency (NTA) has released the UGC NET final answer key 2020 today, November 30. Along with the final key, the agency has also released the UGC NET cutoff 2020. Candidates can check the UGC NET cutoff and answer key on the official website of the exam or NTA. UGC NET 2020 result will be declared by the agency soon.

As per the official notification released, total 8,60,976 candidates registered for the UGC NET 2020 exam out of which 5,26,707 appeared.

Final UGC NET Answer Key 2020

Candidates can check the final UGC NET answer key by following the steps mentioned below:

  • Visit the official website of the exam โ€“ ugcnet.nta.nic.in
  • Click on the UGC NET answer key link
  • Check, download and save the final answer key

UGC NET Cutoff 2020

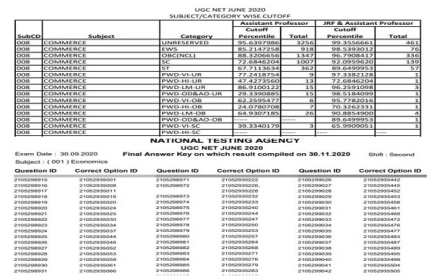
NTA has released subject- and category-wise UGC NET cutoff for Assistant Professor and both JRF and Assistant Professor separately. The agency has released two UGC NET cutoff lists with percentile and marks percentage. Check UGC NET 2020 cutoff here.

Staying updated about the latest educational events is just a click away
Enter Mobile Number

UGC NET Result 2020

NTA UGC NET result will be announced soon on the official website in the form of a scorecard. Candidates will be able to download their UGC NET scorecard 2020 by using their application number and password/date of birth. ย 

Follow Shiksha.com for latest education news in detail on Exam Results, Dates, Admit Cards, & Schedules, Colleges & Universities news related to Admissions & Courses, Board exams, Scholarships, Careers, Education Events, New education policies & Regulations.
To get in touch with Shiksha news team, please write to us at news@shiksha.com

About the Author
qna

Comments