
UGC NET Cut Off 2026: The National Testing Agency (NTA) will release the UGC NET 2026 cut off for the June session in an online mode on the official website at ugcnet.nta.nic.in. Candidates will be able to check the UGC NET cut off marks by visiting the official website. It will be released along with the UGC NET result. The result comprises the candidates' qualifying status and marks obtained category-wise. The cut off marks will be announced subject and category-wise. The cut off os the minimum qualifying marks that are required by the candidates to clear the examination.
NTA UGC NET exam is conducted to determine the eligibility of the candidates to become Assistant Professors and get the Fellowship award to complete a Ph.D. at the expense of the Indian government. Scroll down to know more about the UGC NET Cut off 2026.
👉Also Check: Last 5 Years UGC NET Cut Off Marks PDF (Subject-Wise)
- How to Download UGC NET June Cut Off Marks?
- UGC NET Schedule 2026
- UGC NET Cut Off Marks 2026 (June Session)
- UGC NET Minimum Qualifying Marks for Paper 1 & 2
- Criteria to Determine UGC NET Cut off 2026
- UGC NET Previous Years Cut Off Marks (December Session)
- UGC NET Previous Years Cut Off Marks (June Session)
- UGC NET Previous Years Cutoff (Subject Wise)
- UGC NET Cutoff FAQs 2026
How to Download UGC NET June Cut Off Marks?
The exam is schedule to be conducted from June 22 to June 30. The UGC NET Cutoff and result will be released at ugcnet.nta.nic.in. Candidates will be able to download the UGC NET Cut off 2026 for the June session by the following manner:
- Visit at ugcnet.nta.nic.in
- Click on the link available to check the cutoff
- The UGC NTA NET 2026 cut-off will appear on the screen
- Download the PDFs and save them
UGC NET 2026 June session Cut off PDF: to be updated here
Commonly asked questions
Open the official website of NTA, find the "UGC NET Cut Off" link, now select History and choose the session of that particular year. The UGC NET cut-off marks will be displayed to download.
The UGC NET 2026 Cut off for the June session will be released at ugcnet.nta.nic.in. It is the minimum qualifying marks required by the student to clear the exam. The Cutoff PDF will be released along with the result.
UGC NET Schedule 2026
Take a look at the table below for the complete schedule of UGC NET 2026 exam
| Dates | Past Exam Dates |
|---|---|
| 04 Feb ' 26 | UGC NET Final Answer Key Dec 2025 |
| 04 Feb ' 26 | UGC NET December Result 2025 |
| 14 Jan ' 26 | UGC NET 2025 Dec Answer Key |
UGC NET Cut Off Marks 2026 (June Session)
The NTA will release the UGC NET 2026 cut off for the June session along with the declaration of the result. Till then candidates can check below the December session and previous year cut off marks.
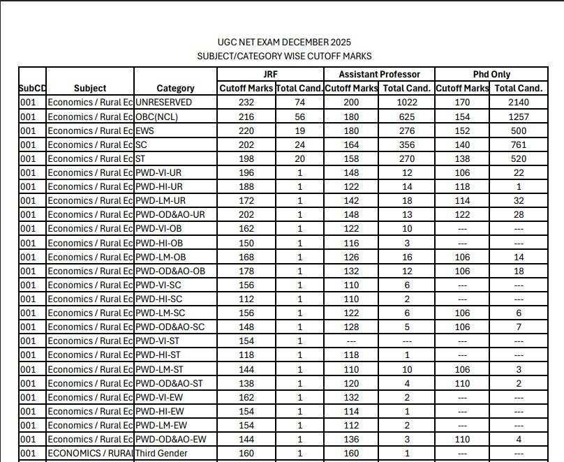
UGC NET Cut Off marks Dec 2025
Scroll down to check the cut off marks for Economics for the December Session.
UGC NET Cut Off 2025 June Session
Candidates can check their UGC NET 2025 June cycle cutoff below.
UGC NET History Cut Off June Session 2025
Candidates can check below the UGC NET 2025 History Cut off marks.
UGC NET Commerce Cut Off June Session 2025
Candidates can check below the UGC NET 2025 Commerce Cut off marks.
Scroll down for UGC NET 2024 Dec session cutoff.
UGC NET 2024 December Cutoff
|
Subject |
Category |
JRF |
Assistant Professor |
PhD Only |
|||
|---|---|---|---|---|---|---|---|
| Cutoff |
Total Cand |
Cutoff |
Total Cand |
Cutoff |
Total Cand |
||
| Economics / Rural Economics /Co-o |
UNRESERVED |
206 |
66 |
180 |
756 |
156 |
1656 |
| Economics / Rural Economics /Co-o |
OBC(NCL) |
192 |
45 |
162 |
536 |
142 |
1212 |
| Economics / Rural Economics /Co-o |
EWS |
194 |
24 |
166 |
192 |
142 |
384 |
| Economics / Rural Economics /Co-o |
SC |
178 |
31 |
150 |
282 |
132 |
641 |
| Economics / Rural Economics /Co-o |
ST |
172 |
18 |
148 |
176 |
132 |
373 |
| Economics / Rural Economics /Co-o |
PWD-VI-UR |
188 |
1 |
140 |
8 |
112 |
17 |
| Economics / Rural Economics /Co-o |
PWD-HI-UR |
170 |
1 |
112 |
10 |
106 |
1 |
| Economics / Rural Economics /Co-o |
PWD-LM-UR |
166 |
1 |
142 |
12 |
124 |
28 |
| Economics / Rural Economics /Co-o |
PWD-OD&AO-UR |
162 |
1 |
114 |
9 |
---- |
---- |
| Economics / Rural Economics /Co-o |
PWD-VI-OB |
154 |
1 |
124 |
7 |
106 |
6 |
| Economics / Rural Economics /Co-o |
PWD-HI-OB |
128 |
1 |
106 |
2 |
---- |
---- |
| Economics / Rural Economics /Co-o |
PWD-LM-OB |
158 |
1 |
136 |
7 |
112 |
16 |
| Economics / Rural Economics /Co-o |
PWD-OD&AO-OB |
120 |
1 |
---- |
---- |
---- |
---- |
| Economics / Rural Economics /Co-o |
PWD-VI-SC |
154 |
1 |
112 |
5 |
---- |
---- |
| Economics / Rural Economics /Co-o |
PWD-HI-SC |
120 |
1 |
106 |
2 |
---- |
---- |
| Economics / Rural Economics /Co-o |
PWD-LM-SC |
150 |
1 |
126 |
3 |
110 |
7 |
| Economics / Rural Economics /Co-o |
PWD-OD&AO-SC |
106 |
1 |
106 |
1 |
---- |
---- |
| Economics / Rural Economics /Co-o |
PWD-VI-ST |
118 |
1 |
118 |
1 |
---- |
---- |
| Economics / Rural Economics /Co-o |
PWD-HI-ST |
106 |
1 |
106 |
1 |
---- |
---- |
| Economics / Rural Economics /Co-o |
PWD-LM-ST |
138 |
1 |
132 |
3 |
108 |
6 |
| Economics / Rural Economics /Co-o |
PWD-OD&AO-ST |
---- |
---- |
---- |
---- |
---- |
---- |
| Economics / Rural Economics /Co-o |
PWD-VI-EW |
166 |
1 |
130 |
4 |
---- |
---- |
| Economics / Rural Economics /Co-o |
PWD-HI-EW |
124 |
1 |
---- |
---- |
---- |
---- |
| Economics / Rural Economics /Co-o |
PWD-LM-EW |
138 |
1 |
134 |
4 |
108 |
4 |
| Economics / Rural Economics /Co-o |
PWD-OD&AO-EW |
106 |
2 |
106 |
2 |
---- |
---- |
|
Subject |
Category |
JRF |
Assistant Professor |
PhD Only |
|||
|---|---|---|---|---|---|---|---|
| Cutoff |
Total Cand |
Cutoff |
Total Cand |
Cutoff |
Total Cand |
||
| Political Science |
UNRESERVED |
234 |
175 |
210 |
2155 |
184 |
4567 |
| Political Science |
OBC(NCL) |
226 |
117 |
196 |
1356 |
168 |
2960 |
| Political Science |
EWS |
226 |
65 |
196 |
587 |
164 |
1286 |
| Political Science |
SC |
212 |
79 |
184 |
904 |
160 |
2006 |
| Political Science |
ST |
208 |
37 |
180 |
444 |
158 |
909 |
| Political Science |
PWD-VI-UR |
220 |
3 |
172 |
30 |
120 |
63 |
| Political Science |
PWD-HI-UR |
180 |
2 |
134 |
26 |
110 |
4 |
| Political Science |
PWD-LM-UR |
222 |
2 |
182 |
29 |
150 |
70 |
| Political Science |
PWD-OD&AO-UR |
178 |
3 |
122 |
32 |
116 |
3 |
| Political Science |
PWD-VI-OB |
212 |
3 |
146 |
20 |
106 |
11 |
| Political Science |
PWD-HI-OB |
156 |
3 |
108 |
13 |
---- |
---- |
| Political Science |
PWD-LM-OB |
212 |
1 |
168 |
18 |
134 |
36 |
| Political Science |
PWD-OD&AO-OB |
158 |
2 |
108 |
4 |
---- |
---- |
| Political Science |
PWD-VI-SC |
192 |
1 |
122 |
17 |
106 |
7 |
| Political Science |
PWD-HI-SC |
138 |
1 |
114 |
5 |
---- |
---- |
| Political Science |
PWD-LM-SC |
198 |
2 |
160 |
11 |
132 |
22 |
| Political Science |
PWD-OD&AO-SC |
144 |
2 |
106 |
2 |
---- |
---- |
| Political Science |
PWD-VI-ST |
192 |
1 |
106 |
7 |
---- |
---- |
| Political Science |
PWD-HI-ST |
144 |
1 |
120 |
4 |
---- |
---- |
| Political Science |
PWD-LM-ST |
180 |
1 |
134 |
9 |
114 |
19 |
| Political Science |
PWD-OD&AO-ST |
152 |
2 |
120 |
1 |
---- |
---- |
| Political Science |
PWD-VI-EW |
200 |
1 |
146 |
9 |
106 |
3 |
| Political Science |
PWD-HI-EW |
158 |
1 |
106 |
4 |
---- |
---- |
| Political Science |
PWD-LM-EW |
196 |
1 |
166 |
5 |
138 |
10 |
| Political Science |
PWD-OD&AO-EW |
126 |
1 |
---- |
---- |
---- |
---- |
| Political Science |
ThirdGender |
186 |
1 |
186 |
2 |
---- |
---- |
|
Subject |
Category |
JRF |
Assistant Professor |
PhD Only |
|||
|---|---|---|---|---|---|---|---|
| Cutoff |
Total Cand |
Cutoff |
Total Cand |
Cutoff |
Total Cand |
||
| Philosophy |
UNRESERVED |
210 |
10 |
184 |
114 |
160 |
252 |
| Philosophy |
OBC(NCL) |
196 |
5 |
168 |
75 |
144 |
173 |
| Philosophy |
EWS |
194 |
5 |
170 |
44 |
144 |
98 |
| Philosophy |
SC |
190 |
5 |
156 |
43 |
140 |
88 |
| Philosophy |
ST |
172 |
3 |
144 |
25 |
132 |
53 |
| Philosophy |
PWD-VI-UR |
132 |
1 |
132 |
1 |
112 |
1 |
| Philosophy |
PWD-HI-UR |
172 |
1 |
148 |
1 |
---- |
---- |
| Philosophy |
PWD-LM-UR |
154 |
2 |
154 |
2 |
122 |
4 |
| Philosophy |
PWD-OD&AO-UR |
152 |
1 |
116 |
4 |
---- |
---- |
| Philosophy |
PWD-VI-OB |
124 |
1 |
124 |
1 |
---- |
---- |
| Philosophy |
PWD-HI-OB |
148 |
1 |
---- |
---- |
---- |
---- |
| Philosophy |
PWD-LM-OB |
---- |
---- |
132 |
1 |
116 |
2 |
| Philosophy |
PWD-OD&AO-OB |
---- |
---- |
---- |
---- |
---- |
---- |
| Philosophy |
PWD-VI-SC |
---- |
---- |
---- |
---- |
---- |
---- |
| Philosophy |
PWD-HI-SC |
122 |
1 |
122 |
1 |
---- |
---- |
| Philosophy |
PWD-LM-SC |
110 |
1 |
110 |
1 |
---- |
---- |
| Philosophy |
PWD-OD&AO-SC |
---- |
---- |
---- |
---- |
---- |
---- |
| Philosophy |
PWD-VI-ST |
110 |
1 |
110 |
1 |
---- |
---- |
| Philosophy |
PWD-HI-ST |
---- |
---- |
---- |
---- |
---- |
---- |
| Philosophy |
PWD-LM-ST |
114 |
1 |
114 |
1 |
106 |
1 |
| Philosophy |
PWD-OD&AO-ST |
134 |
1 |
---- |
---- |
---- |
---- |
| Philosophy |
PWD-VI-EW |
---- |
---- |
---- |
---- |
---- |
---- |
| Philosophy |
PWD-HI-EW |
---- |
---- |
---- |
---- |
---- |
---- |
| Philosophy |
PWD-LM-EW |
140 |
1 |
140 |
1 |
110 |
1 |
| Philosophy |
PWD-OD&AO-EW |
116 |
1 |
---- |
---- |
---- |
---- |
| PHILOSOPHY |
ThirdGender |
120 |
1 |
120 |
1 |
---- |
---- |
|
Subject |
Category |
JRF |
Assistant Professor |
PhD Only |
|||
|---|---|---|---|---|---|---|---|
| Cutoff |
Total Cand |
Cutoff |
Total Cand |
Cutoff |
Total Cand |
||
| Sociology |
UNRESERVED |
228 |
81 |
204 |
792 |
176 |
1692 |
| Sociology |
OBC(NCL) |
216 |
48 |
188 |
452 |
160 |
965 |
| Sociology |
EWS |
220 |
15 |
190 |
192 |
156 |
400 |
| Sociology |
SC |
206 |
24 |
174 |
315 |
150 |
682 |
| Sociology |
ST |
204 |
16 |
170 |
210 |
150 |
420 |
| Sociology |
PWD-VI-UR |
210 |
2 |
156 |
12 |
112 |
25 |
| Sociology |
PWD-HI-UR |
184 |
1 |
126 |
15 |
110 |
4 |
| Sociology |
PWD-LM-UR |
202 |
1 |
170 |
14 |
140 |
28 |
| Sociology |
PWD-OD&AO-UR |
192 |
1 |
126 |
9 |
110 |
1 |
| Sociology |
PWD-VI-OB |
174 |
1 |
130 |
10 |
106 |
3 |
| Sociology |
PWD-HI-OB |
170 |
1 |
110 |
4 |
---- |
---- |
| Sociology |
PWD-LM-OB |
190 |
1 |
150 |
9 |
126 |
21 |
| Sociology |
PWD-OD&AO-OB |
154 |
1 |
122 |
1 |
---- |
---- |
| Sociology |
PWD-VI-SC |
150 |
1 |
112 |
4 |
106 |
3 |
| Sociology |
PWD-HI-SC |
118 |
1 |
108 |
2 |
---- |
---- |
| Sociology |
PWD-LM-SC |
180 |
1 |
140 |
6 |
126 |
12 |
| Sociology |
PWD-OD&AO-SC |
---- |
---- |
---- |
---- |
---- |
---- |
| Sociology |
PWD-VI-ST |
134 |
1 |
120 |
2 |
---- |
---- |
| Sociology |
PWD-HI-ST |
146 |
1 |
---- |
---- |
---- |
---- |
| Sociology |
PWD-LM-ST |
198 |
1 |
142 |
4 |
110 |
9 |
| Sociology |
PWD-OD&AO-ST |
114 |
1 |
114 |
1 |
---- |
---- |
| Sociology |
PWD-VI-EW |
184 |
1 |
136 |
3 |
110 |
2 |
| Sociology |
PWD-HI-EW |
142 |
1 |
118 |
2 |
---- |
---- |
| Sociology |
PWD-LM-EW |
170 |
1 |
142 |
4 |
118 |
8 |
| Sociology |
PWD-OD&AO-EW |
---- |
---- |
---- |
---- |
---- |
---- |
|
Subject |
Category |
JRF |
Assistant Professor |
PhD Only |
|||
|---|---|---|---|---|---|---|---|
| Cutoff |
Total Cand |
Cutoff |
Total Cand |
Cutoff |
Total Cand |
||
| History
|
UNRESERVED |
206 |
158 |
184 |
1717 |
162 |
3589 |
| History |
OBC(NCL) |
196 |
130 |
172 |
1134 |
150 |
2474 |
| History |
EWS |
198 |
45 |
172 |
432 |
148 |
979 |
| History |
SC |
188 |
64 |
162 |
661 |
144 |
1531 |
| History |
ST |
182 |
32 |
154 |
365 |
136 |
791 |
| History |
PWD-VI-UR |
192 |
3 |
150 |
34 |
116 |
70 |
| History |
PWD-HI-UR |
174 |
2 |
128 |
27 |
106 |
9 |
| History |
PWD-LM-UR |
188 |
2 |
160 |
29 |
138 |
68 |
| History |
PWD-OD&AO-UR |
158 |
3 |
116 |
26 |
110 |
1 |
| History |
PWD-VI-OB |
180 |
2 |
132 |
23 |
106 |
12 |
| History |
PWD-HI-OB |
166 |
1 |
108 |
5 |
---- |
---- |
| History |
PWD-LM-OB |
184 |
2 |
146 |
23 |
126 |
48 |
| History |
PWD-OD&AO-OB |
142 |
1 |
106 |
2 |
---- |
---- |
| History |
PWD-VI-SC |
174 |
1 |
118 |
9 |
108 |
2 |
| History |
PWD-HI-SC |
132 |
1 |
106 |
4 |
---- |
---- |
| History |
PWD-LM-SC |
176 |
2 |
146 |
12 |
122 |
26 |
| History |
PWD-OD&AO-SC |
120 |
1 |
114 |
1 |
---- |
---- |
| History |
PWD-VI-ST |
148 |
1 |
116 |
7 |
108 |
3 |
| History |
PWD-HI-ST |
122 |
1 |
116 |
2 |
---- |
---- |
| History |
PWD-LM-ST |
164 |
1 |
122 |
3 |
108 |
6 |
| History |
PWD-OD&AO-ST |
128 |
1 |
---- |
---- |
---- |
---- |
| History |
PWD-VI-EW |
180 |
1 |
122 |
8 |
106 |
5 |
| History |
PWD-HI-EW |
170 |
1 |
106 |
6 |
---- |
---- |
| History |
PWD-LM-EW |
178 |
1 |
146 |
6 |
124 |
13 |
| History |
PWD-OD&AO-EW |
108 |
1 |
108 |
1 |
---- |
---- |
|
Subject |
Category |
JRF |
Assistant Professor |
PhD Only |
|||
| Cutoff |
Total Cand |
Cutoff |
Total Cand |
Cutoff |
Total Cand |
||
| Anthropology |
UNRESERVED |
224 |
4 |
188 |
54 |
168 |
110 |
| Anthropology |
OBC(NCL) |
198 |
2 |
174 |
27 |
152 |
61 |
| Anthropology |
EWS |
210 |
1 |
176 |
9 |
152 |
19 |
| Anthropology |
SC |
180 |
1 |
162 |
14 |
148 |
36 |
| Anthropology |
ST |
192 |
2 |
160 |
24 |
140 |
50 |
| Anthropology |
PWD-VI-UR |
144 |
1 |
144 |
1 |
132 |
1 |
| Anthropology |
PWD-HI-UR |
---- |
---- |
---- |
---- |
---- |
---- |
| Anthropology |
PWD-LM-UR |
136 |
1 |
136 |
1 |
122 |
1 |
| Anthropology |
PWD-OD&AO-UR |
---- |
---- |
---- |
---- |
---- |
---- |
| Anthropology |
PWD-VI-OB |
---- |
---- |
---- |
---- |
---- |
---- |
| Anthropology |
PWD-HI-OB |
---- |
---- |
---- |
---- |
---- |
---- |
| Anthropology |
PWD-LM-OB |
---- |
---- |
---- |
---- |
---- |
---- |
| Anthropology |
PWD-OD&AO-OB |
---- |
---- |
---- |
---- |
---- |
---- |
| Anthropology |
PWD-VI-SC |
---- |
---- |
---- |
---- |
---- |
---- |
| Anthropology |
PWD-HI-SC |
---- |
---- |
---- |
---- |
---- |
---- |
| Anthropology |
PWD-LM-SC |
---- |
---- |
---- |
---- |
---- |
---- |
| Anthropology |
PWD-OD&AO-SC |
---- |
---- |
---- |
---- |
---- |
---- |
| Anthropology |
PWD-VI-ST |
---- |
---- |
---- |
---- |
---- |
---- |
| Anthropology |
PWD-HI-ST |
---- |
---- |
---- |
---- |
---- |
---- |
| Anthropology |
PWD-LM-ST |
---- |
---- |
---- |
---- |
---- |
---- |
| Anthropology |
PWD-OD&AO-ST |
---- |
---- |
---- |
---- |
---- |
---- |
| Anthropology |
PWD-VI-EW |
---- |
---- |
---- |
---- |
---- |
---- |
| Anthropology |
PWD-HI-EW |
---- |
---- |
---- |
---- |
---- |
---- |
| Anthropology |
PWD-LM-EW |
---- |
---- |
---- |
---- |
---- |
---- |
| Anthropology |
PWD-OD&AO-EW |
---- |
---- |
---- |
---- |
---- |
---- |
|
Subject |
Category |
JRF |
Assistant Professor |
PhD Only |
|||
|---|---|---|---|---|---|---|---|
| Cutoff |
Total Cand |
Cutoff |
Total Cand |
Cutoff |
Total Cand |
||
| Commerce |
UNRESERVED |
210 |
139 |
186 |
1540 |
162 |
3279 |
| Commerce |
OBC(NCL) |
198 |
90 |
168 |
1088 |
148 |
2363 |
| Commerce |
EWS |
202 |
43 |
172 |
409 |
144 |
936 |
| Commerce |
SC |
190 |
33 |
158 |
432 |
140 |
943 |
| Commerce |
ST |
178 |
13 |
152 |
176 |
136 |
382 |
| Commerce |
PWD-VI-UR |
192 |
1 |
152 |
17 |
116 |
37 |
| Commerce |
PWD-HI-UR |
156 |
2 |
130 |
9 |
108 |
5 |
| Commerce |
PWD-LM-UR |
190 |
1 |
158 |
19 |
136 |
45 |
| Commerce |
PWD-OD&AO-UR |
170 |
2 |
114 |
19 |
---- |
---- |
| Commerce |
PWD-VI-OB |
180 |
1 |
126 |
12 |
106 |
13 |
| Commerce |
PWD-HI-OB |
124 |
1 |
108 |
6 |
---- |
---- |
| Commerce |
PWD-LM-OB |
178 |
1 |
142 |
12 |
124 |
24 |
| Commerce |
PWD-OD&AO-OB |
158 |
1 |
---- |
---- |
---- |
---- |
| Commerce |
PWD-VI-SC |
138 |
1 |
120 |
5 |
112 |
2 |
| Commerce |
PWD-HI-SC |
128 |
1 |
128 |
1 |
---- |
---- |
| Commerce |
PWD-LM-SC |
164 |
2 |
138 |
4 |
124 |
8 |
| Commerce |
PWD-OD&AO-SC |
118 |
1 |
110 |
1 |
---- |
---- |
| Commerce |
PWD-VI-ST |
118 |
1 |
114 |
2 |
108 |
1 |
| Commerce |
PWD-HI-ST |
---- |
---- |
---- |
---- |
---- |
---- |
| Commerce |
PWD-LM-ST |
134 |
1 |
130 |
2 |
114 |
5 |
| Commerce |
PWD-OD&AO-ST |
---- |
---- |
---- |
---- |
---- |
---- |
| Commerce |
PWD-VI-EW |
150 |
2 |
146 |
3 |
110 |
1 |
| Commerce |
PWD-HI-EW |
130 |
1 |
---- |
---- |
---- |
---- |
| Commerce |
PWD-LM-EW |
174 |
1 |
146 |
6 |
110 |
13 |
| Commerce |
PWD-OD&AO-EW |
156 |
1 |
---- |
---- |
---- |
---- |
|
Subject |
Category |
JRF |
Assistant Professor |
PhD Only |
|||
|---|---|---|---|---|---|---|---|
| Cutoff |
Total Cand |
Cutoff |
Total Cand |
Cutoff |
Total Cand |
||
| Public Administration |
UNRESERVED |
222 |
12 |
200 |
134 |
174 |
318 |
| Public Administration |
OBC(NCL) |
216 |
6 |
186 |
78 |
158 |
183 |
| Public Administration |
EWS |
216 |
2 |
184 |
32 |
156 |
67 |
| Public Administration |
SC |
202 |
4 |
174 |
48 |
154 |
103 |
| Public Administration |
ST |
208 |
2 |
172 |
34 |
148 |
70 |
| Public Administration |
PWD-VI-UR |
164 |
1 |
158 |
2 |
106 |
5 |
| Public Administration |
PWD-HI-UR |
168 |
1 |
132 |
5 |
118 |
1 |
| Public Administration |
PWD-LM-UR |
192 |
1 |
170 |
2 |
146 |
4 |
| Public Administration |
PWD-OD&AO-UR |
146 |
1 |
116 |
2 |
---- |
---- |
| Public Administration |
PWD-VI-OB |
156 |
1 |
156 |
1 |
---- |
---- |
| Public Administration |
PWD-HI-OB |
138 |
1 |
---- |
---- |
---- |
---- |
| Public Administration |
PWD-LM-OB |
160 |
1 |
160 |
1 |
130 |
2 |
| Public Administration |
PWD-OD&AO-OB |
---- |
---- |
---- |
---- |
---- |
---- |
| Public Administration |
PWD-VI-SC |
142 |
1 |
138 |
2 |
---- |
---- |
| Public Administration |
PWD-HI-SC |
112 |
1 |
112 |
1 |
---- |
---- |
| Public Administration |
PWD-LM-SC |
156 |
1 |
156 |
1 |
128 |
3 |
| Public Administration |
PWD-OD&AO-SC |
---- |
---- |
---- |
---- |
---- |
---- |
| Public Administration |
PWD-VI-ST |
---- |
---- |
---- |
---- |
---- |
---- |
| Public Administration |
PWD-HI-ST |
132 |
1 |
---- |
---- |
---- |
---- |
| Public Administration |
PWD-LM-ST |
136 |
1 |
136 |
1 |
---- |
---- |
| Public Administration |
PWD-OD&AO-ST |
---- |
---- |
---- |
---- |
---- |
---- |
| Public Administration |
PWD-VI-EW |
140 |
1 |
140 |
1 |
---- |
---- |
| Public Administration |
PWD-HI-EW |
---- |
---- |
---- |
---- |
---- |
---- |
| Public Administration |
PWD-LM-EW |
170 |
1 |
146 |
1 |
---- |
---- |
| Public Administration |
PWD-OD&AO-EW |
---- |
---- |
---- |
---- |
---- |
---- |
UGC NET 2024 June Cutoff
Candidates can check the UGC NET 2024 cut off for the June cycle below in the table:
|
Subject |
Category |
JRF |
Assistant Professor |
PhD Only |
|||
|---|---|---|---|---|---|---|---|
| Cutoff |
Total Cand |
Cutoff |
Total Cand |
Cutoff |
Total Cand |
||
| Economics / Rural E |
UNRESERVED |
210 |
66 |
182 |
741 |
154 |
1614 |
| Economics / Rural E |
OBC(NCL) |
198 |
41 |
160 |
578 |
140 |
1186 |
| Economics / Rural E |
EWS |
200 |
15 |
164 |
183 |
140 |
392 |
| Economics / Rural E |
SC |
184 |
22 |
148 |
299 |
130 |
611 |
| Economics / Rural E |
ST |
176 |
17 |
144 |
194 |
128 |
437 |
| Economics / Rural E |
PWD-VI-UR |
176 |
1 |
138 |
7 |
112 |
14 |
| Economics / Rural E |
PWD-HI-UR |
158 |
2 |
120 |
6 |
108 |
2 |
| Economics / Rural E |
PWD-LM-UR |
180 |
1 |
150 |
11 |
124 |
24 |
| Economics / Rural E |
PWD-OD&AO-UR |
136 |
1 |
112 |
8 |
---- |
---- |
| Economics / Rural E |
PWD-VI-OB |
160 |
1 |
114 |
6 |
106 |
5 |
| Economics / Rural E |
PWD-HI-OB |
136 |
1 |
106 |
3 |
---- |
---- |
| Economics / Rural E |
PWD-LM-OB |
158 |
2 |
132 |
10 |
114 |
24 |
| Economics / Rural E |
PWD-OD&AO-OB |
124 |
1 |
106 |
2 |
---- |
---- |
| Economics / Rural E |
PWD-VI-SC |
|
|
110 |
1 |
---- |
---- |
| Economics / Rural E |
PWD-HI-SC |
---- |
---- |
---- |
---- |
---- |
---- |
| Economics / Rural E |
PWD-LM-SC |
160 |
1 |
126 |
4 |
112 |
9 |
| Economics / Rural E |
PWD-OD&AO-SC |
112 |
1 |
---- |
---- |
---- |
---- |
| Economics / Rural E |
PWD-VI-ST |
130 |
1 |
112 |
2 |
---- |
---- |
| Economics / Rural E |
PWD-HI-ST |
---- |
---- |
---- |
---- |
---- |
---- |
| Economics / Rural E |
PWD-LM-ST |
128 |
1 |
112 |
3 |
106 |
5 |
| Economics / Rural E |
PWD-OD&AO-ST |
---- |
---- |
---- |
---- |
---- |
---- |
| Economics / Rural E |
PWD-VI-EW |
148 |
1 |
136 |
1 |
---- |
---- |
| Economics / Rural E |
PWD-HI-EW |
---- |
---- |
---- |
---- |
---- |
---- |
| Economics / Rural E |
PWD-LM-EW |
172 |
1 |
140 |
1 |
116 |
3 |
| Economics / Rural E |
PWD-OD&AO-EW |
130 |
1 |
---- |
---- |
---- |
---- |
|
Subject |
Category |
JRF |
Assistant Professor |
PhD Only |
|||
|---|---|---|---|---|---|---|---|
| Cutoff |
Total Cand |
Cutoff |
Total Cand |
Cutoff |
Total Cand |
||
| Political Science |
UNRESERVED |
99.7303386 |
193 |
96.3442108 |
2285 |
83.2434462 |
4716 |
| Political Science |
OBC(NCL) |
99.2325753 |
110 |
91.3165364 |
1333 |
71.5947717 |
2818 |
| Political Science |
EWS |
99.2422174 |
56 |
90.3911797 |
621 |
67.0228017 |
1248 |
| Political Science |
SC |
97.3204533 |
76 |
83.2434462 |
950 |
64.3024845 |
2024 |
| Political Science |
ST |
96.7656026 |
43 |
78.1581806 |
531 |
58.6466692 |
1100 |
| Political Science |
PWD-VI-UR |
99.10568 |
4 |
67.0228017 |
37 |
15.0430093 |
75 |
| Political Science |
PWD-HI-UR |
91.3844894 |
3 |
34.8354767 |
35 |
17.1217914 |
4 |
| Political Science |
PWD-LM-UR |
97.7266521 |
3 |
79.5843992 |
33 |
56.4684599 |
70 |
| Political Science |
PWD-OD&AO-UR |
93.1389951 |
3 |
18.498791 |
35 |
15.0430093 |
1 |
| Political Science |
PWD-VI-OB |
97.1791008 |
2 |
42.534817 |
22 |
13.1690333 |
2 |
| Political Science |
PWD-HI-OB |
71.5947717 |
2 |
11.4998635 |
11 |
---- |
---- |
| Political Science |
PWD-LM-OB |
95.71784 |
2 |
65.0361824 |
22 |
39.2087465 |
48 |
| Political Science |
PWD-OD&AO-OB |
80.5707264 |
2 |
11.4998635 |
2 |
---- |
---- |
| Political Science |
PWD-VI-SC |
90.3911797 |
2 |
26.3482496 |
21 |
13.1690333 |
2 |
| Political Science |
PWD-HI-SC |
24.2737499 |
3 |
13.1690333 |
8 |
---- |
---- |
| Political Science |
PWD-LM-SC |
87.1780495 |
1 |
64.3024845 |
17 |
30.3522665 |
36 |
| Political Science |
PWD-OD&AO-SC |
43.6135543 |
1 |
16.7151417 |
1 |
---- |
---- |
| Political Science |
PWD-VI-ST |
78.1581806 |
1 |
14.98756 |
10 |
---- |
---- |
|
Subject |
Category |
JRF |
Assistant Professor |
PhD Only |
|||
|---|---|---|---|---|---|---|---|
| Cutoff |
Total Cand |
Cutoff |
Total Cand |
Cutoff |
Total Cand |
||
| Political Science |
PWD-HI-ST |
76.0752321 |
1 |
14.98756 |
4 |
---- |
---- |
| Political Science |
PWD-LM-ST |
81.0631811 |
1 |
44.910568 |
10 |
18.498791 |
21 |
| Political Science |
PWD-OD&AO-ST |
20.3840628 |
1 |
---- |
---- |
---- |
---- |
| Political Science |
PWD-VI-EW |
94.5521573 |
1 |
32.6803799 |
9 |
---- |
---- |
| Political Science |
PWD-HI-EW |
73.3503872 |
1 |
13.1690333 |
4 |
---- |
---- |
| Political Science |
PWD-LM-EW |
95.71784 |
1 |
64.3024845 |
7 |
19.1015838 |
14 |
| Political Science |
PWD-OD&AO-EW |
---- |
---- |
---- |
---- |
---- |
---- |
| Political Science |
Third Gender |
21.2247406 |
2 |
21.2247406 |
2 |
---- |
---- |
|
Subject |
Category |
JRF |
Assistant Professor |
PhD Only |
|||
|---|---|---|---|---|---|---|---|
| Cutoff |
Total Cand |
Cutoff |
Total Cand |
Cutoff |
Total Cand |
||
| Philosophy |
UNRESERVED |
202 |
13 |
180 |
143 |
154 |
327 |
| Philosophy |
OBC(NCL) |
190 |
8 |
162 |
92 |
140 |
202 |
| Philosophy |
EWS |
198 |
4 |
166 |
43 |
140 |
88 |
| Philosophy |
SC |
188 |
5 |
154 |
55 |
134 |
117 |
| Philosophy |
ST |
168 |
5 |
140 |
50 |
124 |
111 |
| Philosophy |
PWD-VI-UR |
158 |
2 |
158 |
2 |
106 |
4 |
| Philosophy |
PWD-HI-UR |
110 |
1 |
110 |
1 |
---- |
---- |
| Philosophy |
PWD-LM-UR |
168 |
1 |
168 |
1 |
138 |
2 |
| Philosophy |
PWD-OD&AO-UR |
---- |
---- |
---- |
---- |
---- |
---- |
| Philosophy |
PWD-VI-OB |
134 |
1 |
120 |
2 |
---- |
---- |
| Philosophy |
PWD-HI-OB |
---- |
---- |
---- |
---- |
---- |
---- |
| Philosophy |
PWD-LM-OB |
148 |
1 |
148 |
1 |
126 |
2 |
| Philosophy |
PWD-OD&AO-OB |
---- |
---- |
---- |
---- |
---- |
---- |
| Philosophy |
PWD-VI-SC |
120 |
1 |
120 |
1 |
---- |
---- |
| Philosophy |
PWD-HI-SC |
---- |
---- |
---- |
---- |
---- |
---- |
| Philosophy |
PWD-LM-SC |
112 |
1 |
112 |
1 |
110 |
1 |
| Philosophy |
PWD-OD&AO-SC |
---- |
---- |
---- |
---- |
---- |
---- |
| Philosophy |
PWD-VI-ST |
---- |
---- |
---- |
---- |
---- |
---- |
| Philosophy |
PWD-HI-ST |
---- |
---- |
---- |
---- |
---- |
---- |
| Philosophy |
PWD-LM-ST |
---- |
---- |
---- |
---- |
---- |
---- |
| Philosophy |
PWD-OD&AO-ST |
---- |
---- |
---- |
---- |
---- |
---- |
| Philosophy |
PWD-VI-EW |
136 |
1 |
136 |
1 |
---- |
---- |
| Philosophy |
PWD-HI-EW |
---- |
---- |
---- |
---- |
---- |
---- |
| Philosophy |
PWD-LM-EW |
---- |
---- |
---- |
---- |
---- |
---- |
| Philosophy |
PWD-OD&AO-EW |
---- |
---- |
---- |
---- |
---- |
---- |
| Psychology |
UNRESERVED |
222 |
39 |
198 |
535 |
174 |
1091 |
| Psychology |
OBC(NCL) |
210 |
23 |
178 |
289 |
156 |
588 |
| Psychology |
EWS |
212 |
7 |
180 |
85 |
152 |
184 |
| Psychology |
SC |
194 |
9 |
164 |
116 |
142 |
243 |
| Psychology |
ST |
198 |
4 |
158 |
53 |
136 |
106 |
| Psychology |
PWD-VI-UR |
180 |
1 |
160 |
5 |
116 |
12 |
| Psychology |
PWD-HI-UR |
160 |
1 |
132 |
2 |
---- |
---- |
| Psychology |
PWD-LM-UR |
168 |
1 |
152 |
3 |
132 |
6 |
| Psychology |
PWD-OD&AO-UR |
174 |
1 |
128 |
9 |
106 |
2 |
| Psychology |
PWD-VI-OB |
162 |
1 |
128 |
2 |
108 |
1 |
|
Subject |
Category |
JRF |
Assistant Professor |
PhD Only |
|||
|---|---|---|---|---|---|---|---|
| Cutoff |
Total Cand |
Cutoff |
Total Cand |
Cutoff |
Total Cand |
||
| Sociology |
UNRESERVED |
204 |
75 |
180 |
717 |
156 |
1488 |
| Sociology |
OBC(NCL) |
192 |
36 |
164 |
479 |
142 |
1088 |
| Sociology |
EWS |
192 |
16 |
164 |
213 |
140 |
454 |
| Sociology |
SC |
180 |
30 |
152 |
364 |
134 |
783 |
| Sociology |
ST |
176 |
19 |
150 |
229 |
134 |
472 |
| Sociology |
PWD-VI-UR |
174 |
1 |
136 |
14 |
106 |
25 |
| Sociology |
PWD-HI-UR |
150 |
2 |
118 |
13 |
108 |
5 |
| Sociology |
PWD-LM-UR |
186 |
1 |
150 |
16 |
130 |
32 |
| Sociology |
PWD-OD&AO-UR |
142 |
1 |
108 |
18 |
---- |
---- |
| Sociology |
PWD-VI-OB |
164 |
3 |
118 |
8 |
---- |
---- |
| Sociology |
PWD-HI-OB |
144 |
1 |
110 |
3 |
---- |
---- |
| Sociology |
PWD-LM-OB |
182 |
1 |
140 |
11 |
120 |
24 |
| Sociology |
PWD-OD&AO-OB |
138 |
1 |
---- |
---- |
---- |
---- |
| Sociology |
PWD-VI-SC |
140 |
1 |
106 |
8 |
---- |
---- |
| Sociology |
PWD-HI-SC |
114 |
1 |
112 |
2 |
---- |
---- |
| Sociology |
PWD-LM-SC |
160 |
1 |
132 |
9 |
112 |
20 |
| Sociology |
PWD-OD&AO-SC |
---- |
---- |
---- |
---- |
---- |
---- |
| Sociology |
PWD-VI-ST |
116 |
2 |
112 |
3 |
---- |
---- |
| Sociology |
PWD-HI-ST |
116 |
1 |
116 |
1 |
---- |
---- |
| Sociology |
PWD-LM-ST |
128 |
1 |
120 |
4 |
108 |
5 |
| Sociology |
PWD-OD&AO-ST |
108 |
1 |
---- |
---- |
---- |
---- |
| Sociology |
PWD-VI-EW |
140 |
1 |
130 |
2 |
---- |
---- |
| Sociology |
PWD-HI-EW |
136 |
1 |
106 |
2 |
---- |
---- |
| Sociology |
PWD-LM-EW |
162 |
2 |
136 |
6 |
106 |
7 |
| Sociology |
PWD-OD&AO-EW |
---- |
---- |
---- |
---- |
---- |
---- |
| History |
UNRESERVED |
99.7928431 |
135 |
97.6608584 |
1595 |
87.9748739 |
3386 |
| History |
OBC(NCL) |
99.3417755 |
108 |
93.4378028 |
1254 |
79.3409723 |
2560 |
| History |
EWS |
99.5152214 |
36 |
92.8707031 |
475 |
77.1103126 |
951 |
|
Subject |
Category |
JRF |
Assistant Professor |
PhD Only |
|||
|---|---|---|---|---|---|---|---|
| Cutoff |
Total Cand |
Cutoff |
Total Cand |
Cutoff |
Total Cand |
||
| History |
SC |
98.2993084 |
60 |
87.7652722 |
739 |
70.8844265 |
1605 |
| History |
ST |
97.1252288 |
30 |
83.1547902 |
354 |
65.7422567 |
764 |
| History |
PWD-VI-UR |
98.6609262 |
4 |
79.3409723 |
37 |
24.0626483 |
77 |
| History |
PWD-HI-UR |
94.3299141 |
1 |
50.519563 |
22 |
26.5950234 |
8 |
| History |
PWD-LM-UR |
97.1252288 |
2 |
86.402468 |
32 |
65.4010441 |
71 |
| History |
PWD-OD&AO-UR |
89.1653671 |
2 |
29.2833412 |
26 |
26.5950234 |
2 |
| History |
PWD-VI-OB |
95.8810767 |
2 |
57.4411825 |
26 |
---- |
---- |
| History |
PWD-HI-OB |
67.8283273 |
1 |
26.5950234 |
8 |
---- |
---- |
| History |
PWD-LM-OB |
95.8810767 |
2 |
74.9745745 |
20 |
51.8272425 |
44 |
| History |
PWD-OD&AO-OB |
86.6049651 |
1 |
24.0626483 |
1 |
---- |
---- |
| History |
PWD-VI-SC |
97.4940693 |
1 |
40.4162994 |
12 |
---- |
---- |
| History |
PWD-HI-SC |
62.8086471 |
1 |
37.4838972 |
2 |
---- |
---- |
| History |
PWD-LM-SC |
90.4671503 |
1 |
72.6218727 |
13 |
49.0101024 |
27 |
| History |
PWD-OD&AO-SC |
54.7121839 |
2 |
24.0626483 |
2 |
---- |
---- |
| History |
PWD-VI-ST |
51.8272425 |
1 |
26.5950234 |
5 |
---- |
---- |
| History |
PWD-HI-ST |
---- |
---- |
---- |
---- |
---- |
---- |
| History |
PWD-LM-ST |
83.1547902 |
1 |
46.009899 |
4 |
24.0626483 |
9 |
| History |
PWD-OD&AO-ST |
50.519563 |
1 |
---- |
---- |
---- |
---- |
| History |
PWD-VI-EW |
97.4940693 |
1 |
34.7311682 |
7 |
---- |
---- |
| History |
PWD-HI-EW |
90.4671503 |
1 |
---- |
---- |
---- |
---- |
| History |
PWD-LM-EW |
92.8707031 |
1 |
72.6218727 |
7 |
40.6896321 |
15 |
| History |
PWD-OD&AO-EW |
44.2714424 |
1 |
---- |
---- |
---- |
---- |
Commonly asked questions
The UGC NET 2026 Cut off for the June session will be released at ugcnet.nta.nic.in. It is the minimum qualifying marks required by the student to clear the exam. The Cutoff PDF will be released along with the result.
The UGC NET 2026 expected cutoff may fall within the range of 216 to 160 for all subjects and categories. The NTA will release the UGC NET 2026 June session cutoff marks after the declaration of the result. Candidates who will meet or exceed the cutoff marks will qualify for further recruitment process.
The authority will release the UGC NET 2026 result at ugcnet.nta.nic.in. Candidates will be able to download their scorecard by using their login credentials. It contains the marks of both papers, post applied for, candidates' perssonal details, etc.
UGC NET Minimum Qualifying Marks for Paper 1 & 2
The candidates securing more than 40 per cent marks in Paper 1 and Paper 2 UGC NET exam become eligible to qualify for the exam. However, to qualify for the UGC NET 2026 the candidates have to secure the UGC NET cut-off marks.
The National Testing Agency added two new subjects for the June session namley Forestry and Statistics. So, the June session exam will be conducted for 87 subjects instead of 85. The syllabus and exam pattern plays a crucial role in the UGC NET preparation. With the help of syllabus, candidates will come to know the topics asked in the examination and what all candidates need to prepare. The authority will conduct the UGC NET exam in an online mode as a Computer-Based Test.
The candidates can check the category-wise minimum qualifying marks in the table below:
| UGC NET Cut Off Category | UGC NET Minimum Qualifying Marks (Paper 1 & 2) |
|---|---|
| General | 40 per cent |
| OBS/SC/ST/PwD | 35 per cent |
Commonly asked questions
Open the official website of NTA, find the "UGC NET Cut Off" link, now select History and choose the session of that particular year. The UGC NET cut-off marks will be displayed to download.
Candidates can submit their UGC NET application form in an online. No other method is there to fill the form. Without it, candidates will not be able to sit in the examination.
Criteria to Determine UGC NET Cut off 2026
The criteria for determining UGC NET cutoffs for each subject are as mentioned below:
- The number of candidates qualified in UGC NET is equal to six per cent of the candidates who appeared in both papers of the exam
- Total slots are allocated to candidates belonging to different categories as per the reservation policy of the Government of India
- In order to be considered for the award of JRF and/or eligibility for Assistant Professor, candidates need to score the minimum marks as mentioned below:
| Category |
Minimum Marks to be obtained |
|---|---|
| General |
40 per cent aggregate marks in both the papers taken together |
| Other Backward Class-Non-Creamy Layer (OBC-NCL)/Persons with Disability (PwD)/Scheduled Caste (SC)/Scheduled Tribe (ST) |
30 per cent aggregate marks in both the papers taken together |
Also Read: UGC NET Environmental Science Syllabus
- The number of candidates declared UGC NET qualified in any subject for a particular category is derived as per the methodology given below:
| Example: Number of candidates to be declared qualified for Eligibility for Assistant Professor in the subject ‘Economics’ for the Scheduled Caste (SC) category |
Number of candidates belonging to SC category who secure atleast 35 per cent aggregate marks in both the papers taken together for SC category for ‘Economics’ (x) Total slots derived for SC category as per Step II (÷) Total number of candidates belonging to SC category over all subjects who secure at least 35% aggregate marks in both the papers taken together |
The aggregate percentage secured by candidates in the two papers corresponding to the number of slots shall determine the qualifying cut-off for eligibility for Assistant Professor in Economics for the SC category. Similarly, cutoffs shall be decided for all subjects and categories.
- All candidates (who had applied for both Assistant Professor and JRF) out of the total number of qualified candidates derived in Step IV, shall be considered for JRF.
- Total number of slots available for awarding JRF is allocated among different categories as per the reservation policy of the Government of India. The procedure for subject-wise cum category-wise allocation of JRF slots is mentioned below:
| Example: Number of candidates to be declared qualified for JRF & Eligibility for Assistant Professor Both in the subject ‘Economics’ for the Scheduled Tribe (ST) category |
Number of candidates belonging to ST category who have opted for JRF and have qualified for Eligibility for Assistant Professor Both in the subject ‘Economics’ (x) Total JRF slots available for ST category (÷) Total number of candidates belonging to ST category over all subjects who have opted for JRF and have qualified for Eligibility for Assistant Professor |
The aggregate percentage secured by candidates in both the papers corresponding to the number of JRF slots shall determine the qualifying cut-off for JRF in Economics for the ST category. Similarly, cutoffs shall be decided for all subjects and categories.
Also Read: UGC NET Certificate
Commonly asked questions
Yes, the authority released the UGC NET June session application form 2026 on the official portal at ugcnet.nta.nic.in. The link was activated online and candidates can fill the form from the direct link provided here also on this page.
The UGC NET 2026 June session application form correction window will be opened from May 25 to May 27 at ugcnet.nta.nic.in. Candidates who will made a mistake while filling out the application form will be able to make corrections from a particular period as mentioned in the UGC NET 2026 notification.
UGC NET Previous Years Cut Off Marks (December Session)
It is important for a candidate to understand the cut off marks subject-wise of the previous year. The candidates can check the NTA UGC NET cut off for the December cycle below in the table:
|
Subject |
Category |
Assistant Professor |
JRF G Assistant Professor |
||
|---|---|---|---|---|---|
| Cutoff Marks |
Total Cand |
Cutoff Marks |
Total Cand |
||
| Economics / Rural Economics |
UNRESERVED |
154 |
499 |
180 |
45 |
| Economics / Rural Economics |
OBC(NCL) |
138 |
435 |
162 |
34 |
| Economics / Rural Economics |
EWS |
142 |
131 |
170 |
10 |
| Economics / Rural Economics |
SC |
130 |
209 |
154 |
15 |
| Economics / Rural Economics |
ST |
126 |
163 |
148 |
12 |
| Economics / Rural Economics |
PWD-VI-UR |
128 |
7 |
140 |
1 |
| Economics / Rural Economics |
PWD-HI-UR |
110 |
3 |
120 |
1 |
| Economics / Rural Economics |
PWD-LM-UR |
130 |
7 |
152 |
1 |
| Economics / Rural Economics |
PWD-OD&AO-UR |
106 |
5 |
162 |
1 |
| Economics / Rural Economics |
PWD-VI-OB |
116 |
4 |
136 |
2 |
| Economics / Rural Economics |
PWD-HI-OB |
106 |
2 |
---- |
---- |
| Economics / Rural Economics |
PWD-LM-OB |
124 |
5 |
140 |
1 |
| Economics / Rural Economics |
PWD-OD&AO-OB |
---- |
---- |
110 |
1 |
| Economics / Rural Economics |
PWD-VI-SC |
108 |
3 |
118 |
1 |
| Economics / Rural Economics |
PWD-HI-SC |
---- |
---- |
---- |
---- |
| Economics / Rural Economics |
PWD-LM-SC |
118 |
3 |
130 |
1 |
| Economics / Rural Economics |
PWD-OD&AO-SC |
---- |
---- |
---- |
---- |
| Economics / Rural Economics |
PWD-VI-ST |
---- |
---- |
---- |
---- |
| Economics / Rural Economics |
PWD-HI-ST |
---- |
---- |
---- |
---- |
| Economics / Rural Economics |
PWD-LM-ST |
110 |
3 |
136 |
1 |
| Economics / Rural Economics |
PWD-OD&AO-ST |
---- |
---- |
---- |
---- |
| Economics / Rural Economics |
PWD-VI-EW |
---- |
---- |
136 |
1 |
| Economics / Rural Economics |
PWD-HI-EW |
---- |
---- |
---- |
---- |
| Economics / Rural Economics |
PWD-LM-EW |
116 |
3 |
132 |
1 |
| Economics / Rural Economics |
PWD-OD&AO-EW |
---- |
---- |
106 |
1 |
| Economics / Rural Economics |
Third Gender |
128 |
1 |
128 |
1 |
| Political Science |
UNRESERVED |
190 |
2253 |
216 |
190 |
| Political Science |
OBC(NCL) |
174 |
1402 |
206 |
114 |
| Political Science |
EWS |
174 |
586 |
208 |
53 |
| Political Science |
SC |
162 |
937 |
190 |
90 |
| Political Science |
ST |
156 |
519 |
186 |
44 |
| Political Science |
PWD-VI-UR |
156 |
29 |
192 |
2 |
| Political Science |
PWD-HI-UR |
124 |
32 |
170 |
3 |
| Political Science |
PWD-LM-UR |
160 |
31 |
198 |
2 |
| Political Science |
PWD-OD&AO-UR |
106 |
31 |
192 |
3 |
| Political Science |
PWD-VI-OB |
132 |
13 |
188 |
1 |
| Political Science |
PWD-HI-OB |
106 |
5 |
150 |
2 |
| Political Science |
PWD-LM-OB |
146 |
19 |
184 |
2 |
| Political Science |
PWD-OD&AO-OB |
---- |
---- |
148 |
3 |
| Political Science |
PWD-VI-SC |
110 |
16 |
176 |
2 |
| Political Science |
PWD-HI-SC |
106 |
5 |
140 |
1 |
|
Subject |
Category |
Assistant Professor |
JRF G Assistant Professor |
||
|---|---|---|---|---|---|
| Cutoff Marks |
Total Cand |
Cutoff Marks |
Total Cand |
||
| Political Science |
PWD-LM-SC |
142 |
11 |
168 |
1 |
| Political Science |
PWD-OD&AO-SC |
---- |
---- |
116 |
2 |
| Political Science |
PWD-VI-ST |
108 |
5 |
162 |
1 |
| Political Science |
PWD-HI-ST |
106 |
1 |
134 |
1 |
| Political Science |
PWD-LM-ST |
124 |
11 |
166 |
1 |
| Political Science |
PWD-OD&AO-ST |
---- |
---- |
110 |
1 |
| Political Science |
PWD-VI-EW |
120 |
6 |
172 |
1 |
| Political Science |
PWD-HI-EW |
116 |
3 |
152 |
1 |
| Political Science |
PWD-LM-EW |
142 |
7 |
170 |
1 |
| Political Science |
PWD-OD&AO-EW |
---- |
---- |
138 |
1 |
| Philosophy |
UNRESERVED |
196 |
221 |
224 |
18 |
| Philosophy |
OBC(NCL) |
180 |
113 |
210 |
10 |
| Philosophy |
EWS |
182 |
58 |
210 |
6 |
| Philosophy |
SC |
172 |
78 |
202 |
8 |
| Philosophy |
ST |
152 |
56 |
180 |
5 |
| Philosophy |
PWD-VI-UR |
152 |
2 |
156 |
1 |
| Philosophy |
PWD-HI-UR |
124 |
3 |
144 |
1 |
| Philosophy |
PWD-LM-UR |
150 |
2 |
152 |
1 |
| Philosophy |
PWD-OD&AO-UR |
124 |
1 |
186 |
1 |
| Philosophy |
PWD-VI-OB |
138 |
3 |
152 |
1 |
| Philosophy |
PWD-HI-OB |
110 |
2 |
---- |
---- |
| Philosophy |
PWD-LM-OB |
144 |
1 |
---- |
---- |
| Philosophy |
PWD-OD&AO-OB |
---- |
---- |
---- |
---- |
| Philosophy |
PWD-VI-SC |
126 |
1 |
126 |
1 |
| Philosophy |
PWD-HI-SC |
---- |
---- |
---- |
---- |
| Philosophy |
PWD-LM-SC |
132 |
1 |
---- |
---- |
| Philosophy |
PWD-OD&AO-SC |
---- |
---- |
---- |
---- |
| Philosophy |
PWD-VI-ST |
---- |
---- |
---- |
---- |
| Philosophy |
PWD-HI-ST |
---- |
---- |
---- |
---- |
| Philosophy |
PWD-LM-ST |
120 |
1 |
120 |
1 |
| Philosophy |
PWD-OD&AO-ST |
---- |
---- |
---- |
---- |
| Philosophy |
PWD-VI-EW |
120 |
1 |
120 |
1 |
| Philosophy |
PWD-HI-EW |
---- |
---- |
---- |
---- |
| Philosophy |
PWD-LM-EW |
116 |
1 |
116 |
1 |
| Philosophy |
PWD-OD&AO-EW |
---- |
---- |
---- |
---- |
| Philosophy |
Third Gender |
118 |
1 |
118 |
1 |
| Psychology |
UNRESERVED |
190 |
646 |
216 |
43 |
| Psychology |
OBC(NCL) |
170 |
327 |
200 |
27 |
| Psychology |
EWS |
172 |
86 |
204 |
8 |
| Psychology |
SC |
156 |
125 |
188 |
9 |
| Psychology |
ST |
156 |
54 |
188 |
6 |
|
Subject |
Category |
Assistant Professor |
JRF G Assistant Professor |
||
|---|---|---|---|---|---|
| Cutoff Marks |
Total Cand |
Cutoff Marks |
Total Cand |
||
| Psychology |
PWD-VI-UR |
156 |
3 |
168 |
1 |
| Psychology |
PWD-HI-UR |
132 |
3 |
142 |
1 |
| Psychology |
PWD-LM-UR |
158 |
3 |
172 |
1 |
| Psychology |
PWD-OD&AO-UR |
108 |
10 |
184 |
1 |
| Psychology |
PWD-VI-OB |
126 |
2 |
126 |
1 |
| Psychology |
PWD-HI-OB |
106 |
2 |
---- |
---- |
| Psychology |
PWD-LM-OB |
132 |
1 |
132 |
1 |
| Psychology |
PWD-OD&AO-OB |
---- |
---- |
154 |
1 |
| Psychology |
PWD-VI-SC |
---- |
---- |
---- |
---- |
| Psychology |
PWD-HI-SC |
---- |
---- |
---- |
---- |
| Psychology |
PWD-LM-SC |
124 |
1 |
---- |
---- |
| Psychology |
PWD-OD&AO-SC |
---- |
---- |
---- |
---- |
| Psychology |
PWD-VI-ST |
---- |
---- |
---- |
---- |
| Psychology |
PWD-HI-ST |
---- |
---- |
---- |
---- |
| Psychology |
PWD-LM-ST |
---- |
---- |
---- |
---- |
| Psychology |
PWD-OD&AO-ST |
---- |
---- |
---- |
---- |
| Psychology |
PWD-VI-EW |
---- |
---- |
---- |
---- |
| Psychology |
PWD-HI-EW |
112 |
1 |
136 |
1 |
| Psychology |
PWD-LM-EW |
---- |
---- |
---- |
---- |
| Psychology |
PWD-OD&AO-EW |
---- |
---- |
---- |
---- |
| Psychology |
Third Gender |
128 |
1 |
128 |
1 |
| Sociology |
UNRESERVED |
184 |
841 |
210 |
81 |
| Sociology |
OBC(NCL) |
168 |
528 |
198 |
43 |
| Sociology |
EWS |
168 |
224 |
200 |
19 |
| Sociology |
SC |
154 |
369 |
186 |
29 |
| Sociology |
ST |
150 |
224 |
178 |
15 |
| Sociology |
PWD-VI-UR |
148 |
12 |
202 |
1 |
| Sociology |
PWD-HI-UR |
114 |
15 |
144 |
1 |
| Sociology |
PWD-LM-UR |
154 |
12 |
182 |
1 |
| Sociology |
PWD-OD&AO-UR |
106 |
10 |
162 |
1 |
| Sociology |
PWD-VI-OB |
122 |
11 |
164 |
2 |
| Sociology |
PWD-HI-OB |
108 |
3 |
134 |
1 |
| Sociology |
PWD-LM-OB |
136 |
8 |
170 |
1 |
| Sociology |
PWD-OD&AO-OB |
---- |
---- |
146 |
1 |
| Sociology |
PWD-VI-SC |
108 |
4 |
166 |
1 |
| Sociology |
PWD-HI-SC |
110 |
2 |
---- |
---- |
| Sociology |
PWD-LM-SC |
130 |
5 |
160 |
1 |
| Sociology |
PWD-OD&AO-SC |
---- |
---- |
136 |
1 |
| Sociology |
PWD-VI-ST |
---- |
---- |
---- |
---- |
| Sociology |
PWD-HI-ST |
108 |
1 |
---- |
---- |
| Sociology |
PWD-LM-ST |
122 |
2 |
136 |
1 |
|
Subject |
Category |
Assistant Professor |
JRF G Assistant Professor |
||
|---|---|---|---|---|---|
| Cutoff Marks |
Total Cand |
Cutoff Marks |
Total Cand |
||
| Sociology |
PWD-OD&AO-ST |
---- |
---- |
---- |
---- |
| Sociology |
PWD-VI-EW |
120 |
4 |
150 |
1 |
| Sociology |
PWD-HI-EW |
106 |
3 |
134 |
1 |
| Sociology |
PWD-LM-EW |
138 |
5 |
160 |
1 |
| Sociology |
PWD-OD&AO-EW |
---- |
---- |
---- |
---- |
| Sociology |
Third Gender |
124 |
1 |
---- |
---- |
| History |
UNRESERVED |
182 |
2089 |
204 |
167 |
| History |
OBC(NCL) |
170 |
1301 |
194 |
148 |
| History |
EWS |
168 |
594 |
198 |
47 |
| History |
SC |
158 |
982 |
184 |
92 |
| History |
ST |
152 |
488 |
178 |
43 |
| History |
PWD-VI-UR |
152 |
38 |
180 |
4 |
| History |
PWD-HI-UR |
128 |
32 |
162 |
3 |
| History |
PWD-LM-UR |
160 |
35 |
180 |
5 |
| History |
PWD-OD&AO-UR |
110 |
33 |
150 |
3 |
| History |
PWD-VI-OB |
128 |
34 |
176 |
3 |
| History |
PWD-HI-OB |
106 |
11 |
146 |
3 |
| History |
PWD-LM-OB |
146 |
29 |
176 |
2 |
| History |
PWD-OD&AO-OB |
---- |
---- |
130 |
4 |
| History |
PWD-VI-SC |
118 |
16 |
152 |
1 |
| History |
PWD-HI-SC |
114 |
6 |
138 |
2 |
| History |
PWD-LM-SC |
140 |
22 |
168 |
2 |
| History |
PWD-OD&AO-SC |
---- |
---- |
118 |
4 |
| History |
PWD-VI-ST |
118 |
2 |
156 |
1 |
| History |
PWD-HI-ST |
106 |
1 |
144 |
1 |
| History |
PWD-LM-ST |
122 |
8 |
152 |
1 |
| History |
PWD-OD&AO-ST |
---- |
---- |
114 |
1 |
| History |
PWD-VI-EW |
114 |
5 |
160 |
2 |
| History |
PWD-HI-EW |
106 |
3 |
150 |
1 |
| History |
PWD-LM-EW |
144 |
8 |
164 |
1 |
| History |
PWD-OD&AO-EW |
---- |
---- |
142 |
1 |
| Anthropology |
UNRESERVED |
172 |
66 |
200 |
6 |
| Anthropology |
OBC(NCL) |
158 |
39 |
180 |
3 |
| Anthropology |
EWS |
158 |
10 |
182 |
1 |
| Anthropology |
SC |
150 |
19 |
170 |
2 |
| Anthropology |
ST |
140 |
37 |
156 |
4 |
| Anthropology |
PWD-VI-UR |
---- |
---- |
---- |
---- |
| Anthropology |
PWD-HI-UR |
---- |
---- |
---- |
---- |
| Anthropology |
PWD-LM-UR |
158 |
1 |
158 |
1 |
| Anthropology |
PWD-OD&AO-UR |
110 |
1 |
110 |
1 |
| Anthropology |
PWD-VI-OB |
---- |
---- |
---- |
---- |
|
Subject |
Category |
Assistant Professor |
JRF G Assistant Professor |
||
|---|---|---|---|---|---|
| Cutoff Marks |
Total Cand |
Cutoff Marks |
Total Cand |
||
| Anthropology |
PWD-HI-OB |
---- |
---- |
---- |
---- |
| Anthropology |
PWD-LM-OB |
---- |
---- |
---- |
---- |
| Anthropology |
PWD-OD&AO-OB |
---- |
---- |
---- |
---- |
| Anthropology |
PWD-VI-SC |
---- |
---- |
---- |
---- |
| Anthropology |
PWD-HI-SC |
---- |
---- |
---- |
---- |
| Anthropology |
PWD-LM-SC |
116 |
1 |
156 |
1 |
| Anthropology |
PWD-OD&AO-SC |
---- |
---- |
---- |
---- |
| Anthropology |
PWD-VI-ST |
---- |
---- |
---- |
---- |
| Anthropology |
PWD-HI-ST |
---- |
---- |
---- |
---- |
| Anthropology |
PWD-LM-ST |
---- |
---- |
---- |
---- |
| Anthropology |
PWD-OD&AO-ST |
---- |
---- |
---- |
---- |
| Anthropology |
PWD-VI-EW |
---- |
---- |
---- |
---- |
| Anthropology |
PWD-HI-EW |
---- |
---- |
---- |
---- |
| Anthropology |
PWD-LM-EW |
---- |
---- |
---- |
---- |
| Anthropology |
PWD-OD&AO-EW |
---- |
---- |
---- |
---- |
| Commerce |
UNRESERVED |
160 |
1053 |
184 |
84 |
| Commerce |
OBC(NCL) |
142 |
909 |
170 |
61 |
| Commerce |
EWS |
148 |
262 |
174 |
21 |
| Commerce |
SC |
136 |
268 |
162 |
23 |
| Commerce |
ST |
134 |
118 |
152 |
10 |
| Commerce |
PWD-VI-UR |
132 |
13 |
158 |
1 |
| Commerce |
PWD-HI-UR |
112 |
10 |
140 |
1 |
| Commerce |
PWD-LM-UR |
138 |
13 |
164 |
1 |
| Commerce |
PWD-OD&AO-UR |
110 |
12 |
142 |
1 |
| Commerce |
PWD-VI-OB |
118 |
8 |
140 |
1 |
| Commerce |
PWD-HI-OB |
---- |
---- |
122 |
1 |
| Commerce |
PWD-LM-OB |
126 |
12 |
162 |
1 |
| Commerce |
PWD-OD&AO-OB |
---- |
---- |
110 |
1 |
| Commerce |
PWD-VI-SC |
---- |
---- |
132 |
1 |
| Commerce |
PWD-HI-SC |
108 |
1 |
108 |
1 |
| Commerce |
PWD-LM-SC |
120 |
3 |
142 |
1 |
| Commerce |
PWD-OD&AO-SC |
---- |
---- |
124 |
1 |
| Commerce |
PWD-VI-ST |
114 |
1 |
114 |
1 |
| Commerce |
PWD-HI-ST |
---- |
---- |
---- |
---- |
| Commerce |
PWD-LM-ST |
112 |
1 |
112 |
1 |
| Commerce |
PWD-OD&AO-ST |
---- |
---- |
---- |
---- |
| Commerce |
PWD-VI-EW |
112 |
4 |
144 |
1 |
| Commerce |
PWD-HI-EW |
108 |
1 |
124 |
1 |
| Commerce |
PWD-LM-EW |
122 |
2 |
142 |
1 |
| Commerce |
PWD-OD&AO-EW |
---- |
---- |
134 |
1 |
| Education |
UNRESERVED |
184 |
1418 |
208 |
98 |
|
Subject |
Category |
Assistant Professor |
JRF G Assistant Professor |
||
|---|---|---|---|---|---|
| Cutoff Marks |
Total Cand |
Cutoff Marks |
Total Cand |
||
| Education |
OBC(NCL) |
168 |
848 |
198 |
66 |
| Education |
EWS |
168 |
357 |
198 |
32 |
| Education |
SC |
156 |
553 |
186 |
44 |
| Education |
ST |
156 |
237 |
182 |
18 |
| Education |
PWD-VI-UR |
146 |
18 |
184 |
1 |
| Education |
PWD-HI-UR |
124 |
40 |
170 |
2 |
| Education |
PWD-LM-UR |
156 |
26 |
180 |
1 |
| Education |
PWD-OD&AO-UR |
116 |
12 |
148 |
1 |
| Education |
PWD-VI-OB |
128 |
13 |
182 |
1 |
| Education |
PWD-HI-OB |
106 |
9 |
148 |
2 |
| Education |
PWD-LM-OB |
142 |
15 |
166 |
1 |
| Education |
PWD-OD&AO-OB |
---- |
---- |
128 |
1 |
| Education |
PWD-VI-SC |
112 |
6 |
152 |
1 |
| Education |
PWD-HI-SC |
112 |
2 |
---- |
---- |
| Education |
PWD-LM-SC |
138 |
10 |
168 |
2 |
| Education |
PWD-OD&AO-SC |
---- |
---- |
---- |
---- |
| Education |
PWD-VI-ST |
---- |
---- |
---- |
---- |
| Education |
PWD-HI-ST |
114 |
1 |
114 |
1 |
| Education |
PWD-LM-ST |
124 |
1 |
124 |
1 |
| Education |
PWD-OD&AO-ST |
---- |
---- |
120 |
1 |
| Education |
PWD-VI-EW |
128 |
7 |
174 |
1 |
| Education |
PWD-HI-EW |
106 |
4 |
168 |
1 |
| Education |
PWD-LM-EW |
136 |
6 |
176 |
1 |
| Education |
PWD-OD&AO-EW |
---- |
---- |
140 |
1 |
| Education |
Third Gender |
180 |
1 |
180 |
1 |
| Social Work |
UNRESERVED |
180 |
310 |
202 |
28 |
| Social Work |
OBC(NCL) |
166 |
190 |
194 |
20 |
| Social Work |
EWS |
164 |
57 |
188 |
7 |
| Social Work |
SC |
152 |
116 |
186 |
9 |
| Social Work |
ST |
150 |
84 |
178 |
8 |
| Social Work |
PWD-VI-UR |
136 |
4 |
176 |
1 |
| Social Work |
PWD-HI-UR |
124 |
1 |
---- |
---- |
| Social Work |
PWD-LM-UR |
140 |
3 |
174 |
1 |
| Social Work |
PWD-OD&AO-UR |
108 |
6 |
148 |
1 |
| Social Work |
PWD-VI-OB |
126 |
2 |
136 |
1 |
| Social Work |
PWD-HI-OB |
116 |
1 |
116 |
1 |
| Social Work |
PWD-LM-OB |
134 |
3 |
138 |
1 |
| Social Work |
PWD-OD&AO-OB |
---- |
---- |
---- |
---- |
| Social Work |
PWD-VI-SC |
128 |
1 |
128 |
1 |
| Social Work |
PWD-HI-SC |
---- |
---- |
---- |
---- |
| Social Work |
PWD-LM-SC |
130 |
3 |
164 |
1 |
|
Subject |
Category |
Assistant Professor |
JRF G Assistant Professor |
||
|---|---|---|---|---|---|
| Cutoff Marks |
Total Cand |
Cutoff Marks |
Total Cand |
||
| Social Work |
PWD-OD&AO-SC |
---- |
---- |
112 |
1 |
| Social Work |
PWD-VI-ST |
106 |
1 |
106 |
1 |
| Social Work |
PWD-HI-ST |
---- |
---- |
---- |
---- |
| Social Work |
PWD-LM-ST |
110 |
1 |
110 |
1 |
| Social Work |
PWD-OD&AO-ST |
---- |
---- |
---- |
---- |
| Social Work |
PWD-VI-EW |
130 |
1 |
130 |
1 |
| Social Work |
PWD-HI-EW |
---- |
---- |
---- |
---- |
| Social Work |
PWD-LM-EW |
136 |
1 |
---- |
---- |
| Social Work |
PWD-OD&AO-EW |
---- |
---- |
---- |
---- |
| Social Work |
Third Gender |
130 |
2 |
162 |
1 |
| Defence and Strategic Studies |
UNRESERVED |
200 |
58 |
222 |
5 |
| Defence and Strategic Studies |
OBC(NCL) |
180 |
26 |
218 |
2 |
| Defence and Strategic Studies |
EWS |
184 |
17 |
216 |
3 |
| Defence and Strategic Studies |
SC |
172 |
12 |
212 |
1 |
| Defence and Strategic Studies |
ST |
164 |
7 |
202 |
1 |
| Defence and Strategic Studies |
PWD-VI-UR |
138 |
1 |
138 |
1 |
| Defence and Strategic Studies |
PWD-HI-UR |
---- |
---- |
---- |
---- |
| Defence and Strategic Studies |
PWD-LM-UR |
110 |
1 |
110 |
1 |
| Defence and Strategic Studies |
PWD-OD&AO-UR |
---- |
---- |
---- |
---- |
| Defence and Strategic Studies |
PWD-VI-OB |
---- |
---- |
---- |
---- |
| Defence and Strategic Studies |
PWD-HI-OB |
---- |
---- |
---- |
---- |
| Defence and Strategic Studies |
PWD-LM-OB |
---- |
---- |
---- |
---- |
| Defence and Strategic Studies |
PWD-OD&AO-OB |
---- |
---- |
---- |
---- |
| Defence and Strategic Studies |
PWD-VI-SC |
---- |
---- |
---- |
---- |
| Defence and Strategic Studies |
PWD-HI-SC |
---- |
---- |
---- |
---- |
| Defence and Strategic Studies |
PWD-LM-SC |
---- |
---- |
---- |
---- |
| Defence and Strategic Studies |
PWD-OD&AO-SC |
---- |
---- |
---- |
---- |
| Defence and Strategic Studies |
PWD-VI-ST |
---- |
---- |
---- |
---- |
| Defence and Strategic Studies |
PWD-HI-ST |
---- |
---- |
---- |
---- |
| Defence and Strategic Studies |
PWD-LM-ST |
---- |
---- |
---- |
---- |
| Defence and Strategic Studies |
PWD-OD&AO-ST |
---- |
---- |
---- |
---- |
| Defence and Strategic Studies |
PWD-VI-EW |
106 |
1 |
106 |
1 |
| Defence and Strategic Studies |
PWD-HI-EW |
---- |
---- |
---- |
---- |
| Defence and Strategic Studies |
PWD-LM-EW |
---- |
---- |
---- |
---- |
| Defence and Strategic Studies |
PWD-OD&AO-EW |
---- |
---- |
---- |
---- |
| Home Science |
UNRESERVED |
178 |
668 |
204 |
48 |
| Home Science |
OBC(NCL) |
164 |
405 |
192 |
32 |
| Home Science |
EWS |
158 |
149 |
196 |
12 |
| Home Science |
SC |
154 |
186 |
180 |
17 |
| Home Science |
ST |
156 |
50 |
186 |
4 |
| Home Science |
PWD-VI-UR |
140 |
4 |
158 |
1 |
|
Subject |
Category |
Assistant Professor |
JRF G Assistant Professor |
||
|---|---|---|---|---|---|
| Cutoff Marks |
Total Cand |
Cutoff Marks |
Total Cand |
||
| Home Science |
PWD-HI-UR |
130 |
5 |
134 |
1 |
| Home Science |
PWD-LM-UR |
160 |
4 |
168 |
2 |
| Home Science |
PWD-OD&AO-UR |
110 |
5 |
124 |
1 |
| Home Science |
PWD-VI-OB |
128 |
4 |
144 |
1 |
| Home Science |
PWD-HI-OB |
124 |
1 |
130 |
2 |
| Home Science |
PWD-LM-OB |
146 |
4 |
160 |
1 |
| Home Science |
PWD-OD&AO-OB |
---- |
---- |
116 |
1 |
| Home Science |
PWD-VI-SC |
136 |
1 |
136 |
1 |
| Home Science |
PWD-HI-SC |
120 |
1 |
120 |
1 |
| Home Science |
PWD-LM-SC |
126 |
1 |
---- |
---- |
| Home Science |
PWD-OD&AO-SC |
---- |
---- |
---- |
---- |
| Home Science |
PWD-VI-ST |
---- |
---- |
---- |
---- |
| Home Science |
PWD-HI-ST |
---- |
---- |
---- |
---- |
| Home Science |
PWD-LM-ST |
114 |
1 |
114 |
1 |
| Home Science |
PWD-OD&AO-ST |
---- |
---- |
---- |
---- |
| Home Science |
PWD-VI-EW |
122 |
2 |
126 |
1 |
| Home Science |
PWD-HI-EW |
---- |
---- |
---- |
---- |
| Home Science |
PWD-LM-EW |
120 |
1 |
120 |
1 |
| Home Science |
PWD-OD&AO-EW |
---- |
---- |
---- |
---- |
| Home Science |
Third Gender |
132 |
1 |
192 |
1 |
| Public Administration |
UNRESERVED |
190 |
155 |
210 |
19 |
| Public Administration |
OBC(NCL) |
174 |
85 |
204 |
10 |
| Public Administration |
EWS |
176 |
31 |
204 |
3 |
| Public Administration |
SC |
160 |
54 |
196 |
4 |
| Public Administration |
ST |
156 |
32 |
194 |
3 |
| Public Administration |
PWD-VI-UR |
168 |
3 |
178 |
1 |
| Public Administration |
PWD-HI-UR |
130 |
2 |
180 |
1 |
| Public Administration |
PWD-LM-UR |
160 |
2 |
166 |
1 |
| Public Administration |
PWD-OD&AO-UR |
106 |
1 |
---- |
---- |
| Public Administration |
PWD-VI-OB |
164 |
1 |
170 |
1 |
| Public Administration |
PWD-HI-OB |
108 |
1 |
108 |
1 |
| Public Administration |
PWD-LM-OB |
146 |
1 |
160 |
1 |
| Public Administration |
PWD-OD&AO-OB |
---- |
---- |
---- |
---- |
| Public Administration |
PWD-VI-SC |
118 |
1 |
118 |
1 |
| Public Administration |
PWD-HI-SC |
---- |
---- |
---- |
---- |
| Public Administration |
PWD-LM-SC |
124 |
1 |
124 |
1 |
| Public Administration |
PWD-OD&AO-SC |
---- |
---- |
---- |
---- |
| Public Administration |
PWD-VI-ST |
110 |
3 |
148 |
1 |
| Public Administration |
PWD-HI-ST |
---- |
---- |
---- |
---- |
| Public Administration |
PWD-LM-ST |
114 |
1 |
114 |
1 |
| Public Administration |
PWD-OD&AO-ST |
---- |
---- |
---- |
---- |
|
Subject |
Category |
Assistant Professor |
JRF & Assistant Professor |
||
|---|---|---|---|---|---|
| Cutoff Marks |
Total Cand |
Cutoff Marks |
Total Cand |
||
| Public Administration |
PWD-VI-EW |
152 |
1 |
152 |
1 |
| Public Administration |
PWD-HI-EW |
---- |
---- |
---- |
---- |
| Public Administration |
PWD-LM-EW |
126 |
1 |
---- |
---- |
| Public Administration |
PWD-OD&AO-EW |
---- |
---- |
---- |
---- |
| Population Studies |
UNRESERVED |
190 |
81 |
208 |
9 |
| Population Studies |
OBC(NCL) |
172 |
53 |
202 |
4 |
| Population Studies |
EWS |
176 |
23 |
200 |
2 |
| Population Studies |
SC |
162 |
23 |
190 |
3 |
| Population Studies |
ST |
162 |
9 |
194 |
1 |
| Population Studies |
PWD-VI-UR |
152 |
1 |
152 |
1 |
| Population Studies |
PWD-HI-UR |
120 |
1 |
---- |
---- |
| Population Studies |
PWD-LM-UR |
166 |
1 |
166 |
1 |
| Population Studies |
PWD-OD&AO-UR |
112 |
1 |
112 |
1 |
| Population Studies |
PWD-VI-OB |
140 |
1 |
140 |
1 |
| Population Studies |
PWD-HI-OB |
---- |
---- |
---- |
---- |
| Population Studies |
PWD-LM-OB |
114 |
1 |
---- |
---- |
| Population Studies |
PWD-OD&AO-OB |
---- |
---- |
---- |
---- |
| Population Studies |
PWD-VI-SC |
---- |
---- |
---- |
---- |
| Population Studies |
PWD-HI-SC |
---- |
---- |
---- |
---- |
| Population Studies |
PWD-LM-SC |
152 |
1 |
152 |
1 |
| Population Studies |
PWD-OD&AO-SC |
---- |
---- |
---- |
---- |
| Population Studies |
PWD-VI-ST |
---- |
---- |
---- |
---- |
| Population Studies |
PWD-HI-ST |
---- |
---- |
---- |
---- |
| Population Studies |
PWD-LM-ST |
---- |
---- |
---- |
---- |
| Population Studies |
PWD-OD&AO-ST |
---- |
---- |
---- |
---- |
| Population Studies |
PWD-VI-EW |
116 |
1 |
---- |
---- |
Commonly asked questions
No. Candidates are required to appear in both UGC NET Paper 1 and Paper 2 to qualify for the exam. Candidates need to pass both exams separately to be considered for the position. Qualifying marks category-wise are mentioned below:
For General or Unreserved category: 40% aggregate marks in both the papers taken together
For PWD/SC/ST/OBC Non-creamy layer and Transgenders: 35% aggregate marks in both the papers taken together.
To give mock test is important. It helps them to find out strengths and weaknesses. regular practice also improves speed, gain confidence, reduce the exam pressure, helps to understand the exam pattern, improves speed, etc.
The UGC NET result 2026 for the June session be released on the official portal at ugcnet.nta.nic.in. Candidates will be required their login credentials to download their result including the application number and date of birth.
UGC NET Previous Years Cut Off Marks (June Session)
The UGC NET Cut off was released as per the subject and category by the NTA after the announcement of the results. Also, normalization plays an important role in finalising the cut off marks.The candidates can check the UGC NET June cut off marks for reference in the table below:
| Subject |
Category |
Jrf & Assistant Professor |
Assistant Professor |
||
|---|---|---|---|---|---|
| Cutoff |
Total |
Cutoff |
Total |
||
| Philosophy |
UNRESERVED |
218 |
18 |
198 |
144 |
| Philosophy |
EWS |
208 |
7 |
186 |
41 |
| Philosophy |
OBC(NCL) |
206 |
10 |
184 |
80 |
| Philosophy |
SC |
200 |
9 |
178 |
57 |
| Philosophy |
ST |
178 |
4 |
154 |
26 |
| Philosophy |
PWD-VI-UR |
188 |
1 |
188 |
1 |
| Philosophy |
PWD-HI-UR |
152 |
1 |
152 |
1 |
| Philosophy |
PWD-LM-UR |
178 |
1 |
178 |
1 |
| Philosophy |
PWD-OD&AO-UR |
---- |
---- |
---- |
---- |
| Philosophy |
PWD-VI-OB |
186 |
1 |
142 |
1 |
| Philosophy |
PWD-HI-OB |
---- |
---- |
---- |
---- |
| Philosophy |
PWD-LM-OB |
156 |
1 |
156 |
1 |
| Philosophy |
PWD-OD&AO-OB |
---- |
---- |
---- |
---- |
| Philosophy |
PWD-VI-SC |
114 |
1 |
114 |
1 |
| Philosophy |
PWD-HI-SC |
---- |
---- |
---- |
---- |
| Philosophy |
PWD-LM-SC |
---- |
---- |
130 |
1 |
| Philosophy |
PWD-OD&AO-SC |
---- |
---- |
---- |
---- |
| Philosophy |
PWD-VI-ST |
---- |
---- |
---- |
---- |
| Philosophy |
PWD-HI-ST |
---- |
---- |
---- |
---- |
| Philosophy |
PWD-LM-ST |
---- |
---- |
---- |
---- |
| Philosophy |
PWD-OD&AO-ST |
---- |
---- |
---- |
---- |
| Philosophy |
PWD-VI-EW |
128 |
1 |
128 |
1 |
| Philosophy |
PWD-HI-EW |
---- |
---- |
108 |
1 |
| Philosophy |
PWD-LM-EW |
136 |
1 |
136 |
1 |
| Philosophy |
PWD-OD&AO-EW |
---- |
---- |
---- |
---- |
| Psychology |
UNRESERVED |
216 |
54 |
194 |
501 |
| Psychology |
EWS |
206 |
7 |
176 |
73 |
| Psychology |
OBC(NCL) |
200 |
27 |
176 |
221 |
| Psychology |
SC |
190 |
14 |
162 |
99 |
| Psychology |
ST |
184 |
6 |
156 |
51 |
| Psychology |
PWD-VI-UR |
188 |
1 |
168 |
2 |
| Psychology |
PWD-HI-UR |
132 |
1 |
116 |
3 |
| Psychology |
PWD-LM-UR |
172 |
1 |
172 |
2 |
| Psychology |
PWD-OD&AO-UR |
162 |
1 |
106 |
4 |
| Psychology |
PWD-VI-OB |
166 |
1 |
166 |
1 |
| Psychology |
PWD-HI-OB |
---- |
---- |
108 |
1 |
| Psychology |
PWD-LM-OB |
144 |
1 |
144 |
1 |
| Psychology |
PWD-OD&AO-OB |
106 |
1 |
---- |
---- |
| Psychology |
PWD-VI-SC |
152 |
1 |
152 |
1 |
| Psychology |
PWD-HI-SC |
106 |
1 |
106 |
1 |
| Psychology |
PWD-LM-SC |
120 |
1 |
120 |
1 |
| Psychology |
PWD-OD&AO-SC |
---- |
---- |
---- |
---- |
| Subject
|
|
Jrf & Assistant Professor |
Assistant Professor |
||
|---|---|---|---|---|---|
| Category |
Cutoff |
Total |
Cutoff |
Total |
|
| Psychology |
PWD-HI-EW |
---- |
---- |
---- |
---- |
| Psychology |
PWD-LM-EW |
142 |
1 |
142 |
1 |
| Psychology |
PWD-OD&AO-EW |
---- |
---- |
---- |
---- |
| Sociology |
UNRESERVED |
216 |
93 |
196 |
688 |
| Sociology |
EWS |
210 |
23 |
180 |
165 |
| Sociology |
OBC(NCL) |
206 |
53 |
180 |
392 |
| Sociology |
SC |
194 |
28 |
168 |
256 |
| Sociology |
ST |
190 |
20 |
162 |
185 |
| Sociology |
PWD-VI-UR |
198 |
1 |
158 |
8 |
| Sociology |
PWD-HI-UR |
154 |
2 |
132 |
11 |
| Sociology |
PWD-LM-UR |
188 |
1 |
156 |
11 |
| Sociology |
PWD-OD&AO-UR |
178 |
1 |
106 |
9 |
| Sociology |
PWD-VI-OB |
166 |
1 |
128 |
5 |
| Sociology |
PWD-HI-OB |
144 |
1 |
108 |
7 |
| Sociology |
PWD-LM-OB |
186 |
1 |
142 |
9 |
| Sociology |
PWD-OD&AO-OB |
142 |
1 |
---- |
---- |
| Sociology |
PWD-VI-SC |
---- |
---- |
128 |
2 |
| Sociology |
PWD-HI-SC |
110 |
1 |
110 |
1 |
| Sociology |
PWD-LM-SC |
160 |
1 |
146 |
5 |
| Sociology |
PWD-OD&AO-SC |
---- |
---- |
---- |
---- |
| Sociology |
PWD-VI-ST |
---- |
---- |
130 |
1 |
| Sociology |
PWD-HI-ST |
---- |
---- |
110 |
1 |
| Sociology |
PWD-LM-ST |
---- |
---- |
116 |
3 |
| Sociology |
PWD-OD&AO-ST |
---- |
---- |
---- |
---- |
| Sociology |
PWD-VI-EW |
164 |
1 |
134 |
4 |
| Sociology |
PWD-HI-EW |
138 |
1 |
110 |
3 |
| Sociology |
PWD-LM-EW |
156 |
1 |
148 |
3 |
| Sociology |
PWD-OD&AO-EW |
---- |
---- |
---- |
---- |
| * History |
UNRESERVED |
99.7874663 |
91 |
98.5237521 |
640 |
| * History |
EWS |
99.5634442 |
19 |
95.8929289 |
191 |
| * History |
OBC(NCL) |
99.2762364 |
63 |
95.083003 |
572 |
| * History |
SC |
97.8427089 |
36 |
89.7596942 |
346 |
| * History |
ST |
97.2887587 |
18 |
86.834396 |
153 |
| * History |
PWD-VI-UR |
98.5237521 |
2 |
86.834396 |
20 |
| * History |
PWD-HI-UR |
83.4079738 |
2 |
70.2512288 |
8 |
| * History |
PWD-LM-UR |
98.5417804 |
1 |
91.7801137 |
12 |
| * History |
PWD-OD&AO-UR |
85.0409612 |
2 |
55.7345713 |
13 |
| * History |
PWD-VI-OB |
94.1288913 |
1 |
67.5040961 |
14 |
| * History |
PWD-HI-OB |
80.067781 |
2 |
46.5428727 |
7 |
| * History |
PWD-LM-OB |
97.8427089 |
1 |
86.7012561 |
8 |
| * History |
PWD-OD&AO-OB |
77.6667241 |
1 |
---- |
---- |
|
|
|
Jrf & Assistant Professor |
Assistant Professor |
||||
| Subcd |
|
Subject |
Category |
Cutoff |
Total |
Cutoff |
Total |
| 006 |
* History |
|
PWD-VI-SC |
96.7315756 |
1 |
55.7345713 |
6 |
| 006 |
* History |
|
PWD-HI-SC |
70.2512288 |
1 |
52.7252867 |
1 |
| 006 |
* History |
|
PWD-LM-SC |
93.0151071 |
1 |
72.1006376 |
6 |
| 006 |
* History |
|
PWD-OD&AO-SC |
65.2076512 |
1 |
---- |
---- |
| 006 |
* History |
|
PWD-VI-ST |
80.067781 |
1 |
67.5040961 |
3 |
| 006 |
* History |
|
PWD-HI-ST |
49.8197706 |
1 |
49.8197706 |
1 |
| 006 |
* History |
|
PWD-LM-ST |
65.2076512 |
1 |
64.576734 |
3 |
| 006 |
* History |
|
PWD-OD&AO-ST |
43.2823594 |
1 |
43.2823594 |
1 |
| 006 |
* History |
|
PWD-VI-EW |
85.0409612 |
1 |
77.6667241 |
5 |
| 006 |
* History |
|
PWD-HI-EW |
---- |
---- |
52.7252867 |
1 |
| 006 |
* History |
|
PWD-LM-EW |
95.5816494 |
1 |
75.2048061 |
3 |
| 006 |
* History |
|
PWD-OD&AO-EW |
61.5892955 |
1 |
---- |
---- |
| 007 |
Anthropology |
|
UNRESERVED |
214 |
6 |
190 |
60 |
| 007 |
Anthropology |
|
EWS |
206 |
1 |
180 |
9 |
| 007 |
Anthropology |
|
OBC(NCL) |
206 |
4 |
172 |
23 |
| 007 |
Anthropology |
|
SC |
188 |
2 |
166 |
15 |
| 007 |
Anthropology |
|
ST |
170 |
3 |
156 |
23 |
| 007 |
Anthropology |
|
PWD-VI-UR |
148 |
1 |
148 |
1 |
| 007 |
Anthropology |
|
PWD-HI-UR |
---- |
---- |
---- |
---- |
| 007 |
Anthropology |
|
PWD-LM-UR |
134 |
1 |
134 |
1 |
| 007 |
Anthropology |
|
PWD-OD&AO-UR |
---- |
---- |
---- |
---- |
| 007 |
Anthropology |
|
PWD-VI-OB |
128 |
1 |
128 |
1 |
| 007 |
Anthropology |
|
PWD-HI-OB |
---- |
---- |
---- |
---- |
| 007 |
Anthropology |
|
PWD-LM-OB |
120 |
1 |
120 |
1 |
| 007 |
Anthropology |
|
PWD-OD&AO-OB |
---- |
---- |
---- |
---- |
| 007 |
Anthropology |
|
PWD-VI-SC |
---- |
---- |
---- |
---- |
| 007 |
Anthropology |
|
PWD-HI-SC |
---- |
---- |
---- |
---- |
| 007 |
Anthropology |
|
PWD-LM-SC |
---- |
---- |
---- |
---- |
| 007 |
Anthropology |
|
PWD-OD&AO-SC |
---- |
---- |
---- |
---- |
| 007 |
Anthropology |
|
PWD-VI-ST |
---- |
---- |
---- |
---- |
| 007 |
Anthropology |
|
PWD-HI-ST |
---- |
---- |
---- |
---- |
| 007 |
Anthropology |
|
PWD-LM-ST |
---- |
---- |
---- |
---- |
| 007 |
Anthropology |
|
PWD-OD&AO-ST |
---- |
---- |
---- |
---- |
| 007 |
Anthropology |
|
PWD-VI-EW |
---- |
---- |
---- |
---- |
| 007 |
Anthropology |
|
PWD-HI-EW |
---- |
---- |
---- |
---- |
| 007 |
Anthropology |
|
PWD-LM-EW |
---- |
---- |
---- |
---- |
| 007 |
Anthropology |
|
PWD-OD&AO-EW |
---- |
---- |
---- |
---- |
| 008 |
* Commerce |
|
UNRESERVED |
99.7868561 |
100 |
98.122304 |
892 |
| 008 |
* Commerce |
|
EWS |
99.3741307 |
30 |
94.3618371 |
248 |
| 008 |
* Commerce |
|
OBC(NCL) |
98.7921847 |
73 |
92.2755964 |
689 |
| 008 |
* Commerce |
|
SC |
97.6249683 |
25 |
86.8256788 |
233 |
| 008 |
* Commerce |
|
ST |
96.69627 |
15 |
83.0105916 |
112 |
| 008 |
* Commerce |
|
PWD-VI-UR |
91.0238579 |
1 |
84.9470418 |
8 |
| 008 |
* Commerce |
|
PWD-HI-UR |
88.4344075 |
1 |
61.2281147 |
11 |
| 008 |
* Commerce |
|
PWD-LM-UR |
96.0415106 |
1 |
91.0238579 |
8 |
| 008 |
* Commerce |
|
PWD-OD&AO-UR |
82.9028165 |
1 |
54.4887084 |
5 |
| Subject |
Category |
Jrf & Assistant Professor |
Assistant Professor |
||
| Cutoff |
Total |
Cutoff |
Total |
||
| * Commerce |
PWD-VI-OB |
90.0228368 |
1 |
64.9031775 |
6 |
| * Commerce |
PWD-HI-OB |
78.3941372 |
1 |
41.3983096 |
4 |
| * Commerce |
PWD-LM-OB |
91.2408018 |
1 |
80.7157377 |
6 |
| * Commerce |
PWD-OD&AO-OB |
---- |
---- |
---- |
---- |
| * Commerce |
PWD-VI-SC |
84.9470418 |
1 |
51.8883064 |
2 |
| * Commerce |
PWD-HI-SC |
---- |
---- |
34.3425698 |
3 |
| * Commerce |
PWD-LM-SC |
---- |
---- |
70.7383913 |
1 |
| * Commerce |
PWD-OD&AO-SC |
---- |
---- |
---- |
---- |
| * Commerce |
PWD-VI-ST |
80.9185486 |
1 |
80.9185486 |
1 |
| * Commerce |
PWD-HI-ST |
---- |
---- |
---- |
---- |
| * Commerce |
PWD-LM-ST |
34.3425698 |
1 |
34.3425698 |
1 |
| * Commerce |
PWD-OD&AO-ST |
---- |
---- |
---- |
---- |
| * Commerce |
PWD-VI-EW |
88.263614 |
1 |
48.5610356 |
2 |
| * Commerce |
PWD-HI-EW |
88.263614 |
1 |
45.0037445 |
5 |
| * Commerce |
PWD-LM-EW |
91.2408018 |
1 |
73.4567241 |
2 |
| * Commerce |
PWD-OD&AO-EW |
61.5919546 |
1 |
---- |
---- |
| Education |
UNRESERVED |
190 |
105 |
172 |
908 |
| Education |
EWS |
182 |
27 |
156 |
307 |
| Education |
OBC(NCL) |
180 |
64 |
158 |
573 |
| Education |
SC |
170 |
37 |
148 |
361 |
| Education |
ST |
168 |
17 |
148 |
152 |
| Education |
PWD-VI-UR |
168 |
1 |
144 |
16 |
| Education |
PWD-HI-UR |
152 |
2 |
124 |
25 |
| Education |
PWD-LM-UR |
162 |
3 |
144 |
22 |
| Education |
PWD-OD&AO-UR |
186 |
1 |
106 |
13 |
| Education |
PWD-VI-OB |
158 |
1 |
132 |
9 |
| Education |
PWD-HI-OB |
140 |
2 |
106 |
17 |
| Education |
PWD-LM-OB |
160 |
1 |
136 |
12 |
| Education |
PWD-OD&AO-OB |
130 |
1 |
---- |
---- |
| Education |
PWD-VI-SC |
142 |
1 |
114 |
4 |
| Education |
PWD-HI-SC |
144 |
1 |
106 |
4 |
| Education |
PWD-LM-SC |
150 |
1 |
138 |
5 |
| Education |
PWD-OD&AO-SC |
---- |
---- |
---- |
---- |
| Education |
PWD-VI-ST |
146 |
1 |
124 |
1 |
| Education |
PWD-HI-ST |
---- |
---- |
---- |
---- |
| Education |
PWD-LM-ST |
---- |
---- |
110 |
1 |
| Education |
PWD-OD&AO-ST |
---- |
---- |
---- |
---- |
| Education |
PWD-VI-EW |
146 |
1 |
132 |
4 |
| Education |
PWD-HI-EW |
136 |
1 |
112 |
5 |
| Education |
PWD-LM-EW |
144 |
1 |
134 |
6 |
| Education |
PWD-OD&AO-EW |
138 |
1 |
---- |
---- |
| Social Work |
UNRESERVED |
198 |
27 |
180 |
225 |
| Social Work |
EWS |
194 |
4 |
166 |
35 |
| Social Work |
OBC(NCL) |
190 |
18 |
168 |
124 |
| Social Work |
SC |
174 |
9 |
154 |
81 |
| Social Work |
ST |
170 |
7 |
152 |
67 |
| Subject |
Category |
Jrf & Assistant Professor |
Assistant Professor |
||
|---|---|---|---|---|---|
| Cutoff |
Total |
Cutoff |
Total |
||
| Defence and Strategic Studies |
UNRESERVED |
224 |
4 |
202 |
44 |
| Defence and Strategic Studies |
EWS |
220 |
2 |
190 |
20 |
| Defence and Strategic Studies |
OBC(NCL) |
212 |
2 |
192 |
24 |
| Defence and Strategic Studies |
SC |
200 |
1 |
184 |
11 |
| Defence and Strategic Studies |
ST |
188 |
1 |
184 |
3 |
| Defence and Strategic Studies |
PWD-VI-UR |
152 |
1 |
152 |
1 |
| Defence and Strategic Studies |
PWD-HI-UR |
---- |
---- |
144 |
1 |
| Defence and Strategic Studies |
PWD-LM-UR |
220 |
1 |
---- |
---- |
| Defence and Strategic Studies |
PWD-OD&AO-UR |
---- |
---- |
---- |
---- |
| Defence and Strategic Studies |
PWD-VI-OB |
---- |
---- |
---- |
---- |
| Defence and Strategic Studies |
PWD-HI-OB |
---- |
---- |
---- |
---- |
| Defence and Strategic Studies |
PWD-LM-OB |
---- |
---- |
---- |
---- |
| Defence and Strategic Studies |
PWD-OD&AO-OB |
---- |
---- |
---- |
---- |
| Defence and Strategic Studies |
PWD-VI-SC |
---- |
---- |
---- |
---- |
| Defence and Strategic Studies |
PWD-HI-SC |
---- |
---- |
---- |
---- |
| Defence and Strategic Studies |
PWD-LM-SC |
---- |
---- |
---- |
---- |
| Defence and Strategic Studies |
PWD-OD&AO-SC |
---- |
---- |
---- |
---- |
| Defence and Strategic Studies |
PWD-VI-ST |
---- |
---- |
---- |
---- |
| Defence and Strategic Studies |
PWD-HI-ST |
---- |
---- |
---- |
---- |
| Defence and Strategic Studies |
PWD-LM-ST |
---- |
---- |
---- |
---- |
| Defence and Strategic Studies |
PWD-OD&AO-ST |
---- |
---- |
---- |
---- |
| Defence and Strategic Studies |
PWD-VI-EW |
---- |
---- |
---- |
---- |
| Defence and Strategic Studies |
PWD-HI-EW |
---- |
---- |
---- |
---- |
| Defence and Strategic Studies |
PWD-LM-EW |
---- |
---- |
---- |
---- |
| Defence and Strategic Studies |
PWD-OD&AO-EW |
---- |
---- |
---- |
---- |
| Home Science |
UNRESERVED |
204 |
47 |
184 |
371 |
| Subject |
Category |
Jrf & Assistant Professor |
Assistant Professor |
||
|---|---|---|---|---|---|
| Cutoff |
Total |
Cutoff |
Total |
||
| Home Science |
EWS |
194 |
11 |
168 |
92 |
| Home Science |
OBC(NCL) |
190 |
34 |
168 |
252 |
| Home Science |
SC |
184 |
11 |
160 |
98 |
| Home Science |
ST |
182 |
3 |
156 |
30 |
| Home Science |
PWD-VI-UR |
150 |
1 |
140 |
2 |
| Home Science |
PWD-HI-UR |
142 |
1 |
122 |
4 |
| Home Science |
PWD-LM-UR |
176 |
2 |
160 |
3 |
| Home Science |
PWD-OD&AO-UR |
200 |
1 |
106 |
2 |
| Home Science |
PWD-VI-OB |
140 |
1 |
130 |
2 |
| Home Science |
PWD-HI-OB |
122 |
2 |
118 |
1 |
| Home Science |
PWD-LM-OB |
160 |
1 |
148 |
3 |
| Home Science |
PWD-OD&AO-OB |
106 |
1 |
---- |
---- |
| Home Science |
PWD-VI-SC |
---- |
---- |
---- |
---- |
| Home Science |
PWD-HI-SC |
---- |
---- |
---- |
---- |
| Home Science |
PWD-LM-SC |
144 |
1 |
144 |
1 |
| Home Science |
PWD-OD&AO-SC |
---- |
---- |
---- |
---- |
| Home Science |
PWD-VI-ST |
---- |
---- |
---- |
---- |
| Home Science |
PWD-HI-ST |
---- |
---- |
---- |
---- |
| Home Science |
PWD-LM-ST |
---- |
---- |
---- |
---- |
| Home Science |
PWD-OD&AO-ST |
---- |
---- |
---- |
---- |
| Home Science |
PWD-VI-EW |
114 |
1 |
114 |
1 |
| Home Science |
PWD-HI-EW |
118 |
1 |
118 |
1 |
| Home Science |
PWD-LM-EW |
154 |
1 |
154 |
1 |
| Home Science |
PWD-OD&AO-EW |
---- |
---- |
---- |
---- |
| Public Administration |
UNRESERVED |
202 |
8 |
182 |
78 |
| Public Administration |
EWS |
198 |
2 |
168 |
24 |
| Public Administration |
OBC(NCL) |
192 |
5 |
164 |
44 |
| Public Administration |
SC |
186 |
3 |
154 |
28 |
| Public Administration |
ST |
172 |
3 |
148 |
23 |
| Public Administration |
PWD-VI-UR |
152 |
1 |
152 |
1 |
| Public Administration |
PWD-HI-UR |
110 |
1 |
110 |
1 |
| Public Administration |
PWD-LM-UR |
176 |
1 |
166 |
2 |
| Public Administration |
PWD-OD&AO-UR |
142 |
1 |
138 |
2 |
| Public Administration |
PWD-VI-OB |
108 |
1 |
108 |
1 |
| Public Administration |
PWD-HI-OB |
---- |
---- |
---- |
---- |
| Public Administration |
PWD-LM-OB |
---- |
---- |
118 |
1 |
| Public Administration |
PWD-OD&AO-OB |
---- |
---- |
---- |
---- |
| Public Administration |
PWD-VI-SC |
116 |
1 |
116 |
1 |
| Public Administration |
PWD-HI-SC |
---- |
---- |
---- |
---- |
| Public Administration |
PWD-LM-SC |
---- |
---- |
128 |
1 |
| Public Administration |
PWD-OD&AO-SC |
---- |
---- |
---- |
---- |
| Public Administration |
PWD-VI-ST |
122 |
1 |
122 |
1 |
| Public Administration |
PWD-HI-ST |
---- |
---- |
---- |
---- |
| Public Administration |
PWD-LM-ST |
---- |
---- |
132 |
1 |
| Public Administration |
PWD-OD&AO-ST |
---- |
---- |
---- |
---- |
| Public Administration |
PWD-VI-EW |
---- |
---- |
---- |
---- |
|
Subject |
Category |
Jrf & Assistant Professor |
Assistant Professor |
||
|---|---|---|---|---|---|
| Cutoff |
Total |
Cutoff |
Total |
||
| Public Administration |
PWD-HI-EW |
---- |
---- |
---- |
---- |
| Public Administration |
PWD-LM-EW |
166 |
1 |
---- |
---- |
| Public Administration |
PWD-OD&AO-EW |
---- |
---- |
---- |
---- |
| Population Studies |
UNRESERVED |
212 |
8 |
194 |
64 |
| Population Studies |
EWS |
202 |
3 |
184 |
15 |
| Population Studies |
OBC(NCL) |
208 |
6 |
178 |
44 |
| Population Studies |
SC |
198 |
2 |
166 |
14 |
| Population Studies |
ST |
186 |
1 |
166 |
6 |
| Population Studies |
PWD-VI-UR |
160 |
1 |
160 |
1 |
| Population Studies |
PWD-HI-UR |
158 |
1 |
158 |
1 |
| Population Studies |
PWD-LM-UR |
156 |
1 |
156 |
1 |
| Population Studies |
PWD-OD&AO-UR |
---- |
---- |
---- |
---- |
| Population Studies |
PWD-VI-OB |
142 |
1 |
142 |
1 |
| Population Studies |
PWD-HI-OB |
142 |
1 |
142 |
1 |
| Population Studies |
PWD-LM-OB |
152 |
1 |
152 |
1 |
| Population Studies |
PWD-OD&AO-OB |
---- |
---- |
---- |
---- |
| Population Studies |
PWD-VI-SC |
---- |
---- |
---- |
---- |
| Population Studies |
PWD-HI-SC |
---- |
---- |
134 |
1 |
| Population Studies |
PWD-LM-SC |
---- |
---- |
124 |
1 |
| Population Studies |
PWD-OD&AO-SC |
---- |
---- |
---- |
---- |
| Population Studies |
PWD-VI-ST |
---- |
---- |
---- |
---- |
| Population Studies |
PWD-HI-ST |
---- |
---- |
---- |
---- |
| Population Studies |
PWD-LM-ST |
---- |
---- |
---- |
---- |
| Population Studies |
PWD-OD&AO-ST |
---- |
---- |
---- |
---- |
| Population Studies |
PWD-VI-EW |
---- |
---- |
128 |
1 |
| Population Studies |
PWD-HI-EW |
---- |
---- |
---- |
---- |
| Population Studies |
PWD-LM-EW |
144 |
1 |
144 |
1 |
| Population Studies |
PWD-OD&AO-EW |
---- |
---- |
---- |
---- |
| Music |
UNRESERVED |
228 |
13 |
200 |
132 |
| Music |
EWS |
216 |
5 |
186 |
40 |
| Music |
OBC(NCL) |
210 |
7 |
184 |
52 |
| Music |
SC |
202 |
7 |
176 |
51 |
| Music |
ST |
194 |
1 |
166 |
6 |
| Music |
PWD-VI-UR |
206 |
2 |
168 |
6 |
| Music |
PWD-HI-UR |
---- |
---- |
---- |
---- |
| Music |
PWD-LM-UR |
172 |
1 |
172 |
1 |
| Music |
PWD-OD&AO-UR |
136 |
1 |
106 |
3 |
| Music |
PWD-VI-OB |
182 |
1 |
128 |
2 |
| Music |
PWD-HI-OB |
---- |
---- |
---- |
---- |
| Music |
PWD-LM-OB |
170 |
1 |
170 |
1 |
| Music |
PWD-OD&AO-OB |
---- |
---- |
---- |
---- |
| Music |
PWD-VI-SC |
146 |
1 |
138 |
3 |
| Music |
PWD-HI-SC |
---- |
---- |
---- |
---- |
| Music |
PWD-LM-SC |
---- |
---- |
---- |
---- |
| Music |
PWD-OD&AO-SC |
---- |
---- |
---- |
---- |
| Music |
PWD-VI-ST |
134 |
1 |
134 |
1 |
| Subject |
Category |
Jrf & Assistant Professor |
Assistant Professor |
||
|---|---|---|---|---|---|
| Cutoff |
Total |
Cutoff |
Total |
||
| Music |
PWD-HI-ST |
---- |
---- |
---- |
---- |
| Music |
PWD-LM-ST |
---- |
---- |
---- |
---- |
| Music |
PWD-OD&AO-ST |
---- |
---- |
---- |
---- |
| Music |
PWD-VI-EW |
156 |
1 |
156 |
1 |
| Music |
PWD-HI-EW |
---- |
---- |
---- |
---- |
| Music |
PWD-LM-EW |
168 |
1 |
168 |
1 |
| Music |
PWD-OD&AO-EW |
---- |
---- |
---- |
---- |
| Management (including Business Admn. |
UNRESERVED |
184 |
27 |
164 |
307 |
| Management (including Business Admn. |
EWS |
170 |
5 |
150 |
61 |
| Management (including Business Admn. |
OBC(NCL) |
168 |
19 |
148 |
196 |
| Management (including Business Admn. |
SC |
160 |
16 |
142 |
109 |
| Management (including Business Admn. |
ST |
162 |
4 |
140 |
37 |
| Management (including Business Admn. |
PWD-VI-UR |
148 |
1 |
146 |
3 |
| Management (including Business Admn. |
PWD-HI-UR |
110 |
1 |
110 |
1 |
| Management (including Business Admn. |
PWD-LM-UR |
154 |
2 |
142 |
4 |
| Management (including Business Admn. |
PWD-OD&AO-UR |
120 |
1 |
114 |
2 |
| Management (including Business Admn. |
PWD-VI-OB |
140 |
1 |
140 |
1 |
| Management (including Business Admn. |
PWD-HI-OB |
108 |
1 |
108 |
1 |
| Management (including Business Admn. |
PWD-LM-OB |
148 |
1 |
134 |
3 |
| Management (including Business Admn. |
PWD-OD&AO-OB |
114 |
1 |
---- |
---- |
| Management (including Business Admn. |
PWD-VI-SC |
110 |
1 |
110 |
1 |
| Management (including Business Admn. |
PWD-HI-SC |
---- |
---- |
---- |
---- |
| Management (including Business Admn. |
PWD-LM-SC |
---- |
---- |
120 |
1 |
| Management (including Business Admn. |
PWD-OD&AO-SC |
---- |
---- |
---- |
---- |
| Management (including Business Admn. |
PWD-VI-ST |
118 |
1 |
118 |
1 |
| Management (including Business Admn. |
PWD-HI-ST |
---- |
---- |
---- |
---- |
| Management (including Business Admn. |
PWD-LM-ST |
---- |
---- |
---- |
---- |
| Management (including Business Admn. |
PWD-OD&AO-ST |
---- |
---- |
---- |
---- |
| Management (including Business Admn. |
PWD-VI-EW |
146 |
1 |
130 |
2 |
| Management (including Business Admn. |
PWD-HI-EW |
---- |
---- |
---- |
---- |
| Management (including Business Admn. |
PWD-LM-EW |
140 |
1 |
140 |
1 |
| Management (including Business Admn. |
PWD-OD&AO-EW |
---- |
---- |
---- |
---- |
| Maithili |
UNRESERVED |
238 |
1 |
214 |
8 |
| Maithili |
EWS |
234 |
1 |
196 |
5 |
| Maithili |
OBC(NCL) |
218 |
1 |
204 |
6 |
| Maithili |
SC |
214 |
1 |
198 |
2 |
| Maithili |
ST |
---- |
---- |
136 |
1 |
| Maithili |
PWD-VI-UR |
---- |
---- |
---- |
---- |
| Maithili |
PWD-HI-UR |
---- |
---- |
120 |
1 |
| Maithili |
PWD-LM-UR |
---- |
---- |
---- |
---- |
| Maithili |
PWD-OD&AO-UR |
---- |
---- |
---- |
---- |
| Maithili |
PWD-VI-OB |
---- |
---- |
---- |
---- |
| Maithili |
PWD-HI-OB |
---- |
---- |
---- |
---- |
| Maithili |
PWD-LM-OB |
---- |
---- |
---- |
---- |
| Maithili |
PWD-OD&AO-OB |
---- |
---- |
---- |
---- |
| Maithili |
PWD-VI-SC |
---- |
---- |
---- |
---- |
|
|
|
Jrf & Assistant Professor |
Assistant Professor |
|||
|---|---|---|---|---|---|---|
| Subject |
Category |
Cutoff |
Total |
Cutoff |
Total |
|
| Maithili |
|
PWD-HI-SC |
---- |
---- |
---- |
---- |
| Maithili |
|
PWD-LM-SC |
---- |
---- |
---- |
---- |
| Maithili |
|
PWD-OD&AO-SC |
---- |
---- |
---- |
---- |
| Maithili |
|
PWD-VI-ST |
---- |
---- |
---- |
---- |
| Maithili |
|
PWD-HI-ST |
---- |
---- |
---- |
---- |
| Maithili |
|
PWD-LM-ST |
---- |
---- |
---- |
---- |
| Maithili |
|
PWD-OD&AO-ST |
---- |
---- |
---- |
---- |
| Maithili |
|
PWD-VI-EW |
---- |
---- |
---- |
---- |
| Maithili |
|
PWD-HI-EW |
---- |
---- |
---- |
---- |
| Maithili |
|
PWD-LM-EW |
---- |
---- |
---- |
---- |
| Maithili |
|
PWD-OD&AO-EW |
---- |
---- |
---- |
---- |
| Bengali |
|
UNRESERVED |
184 |
15 |
166 |
114 |
| Bengali |
|
EWS |
178 |
2 |
156 |
18 |
| Bengali |
|
OBC(NCL) |
176 |
8 |
152 |
61 |
| Bengali |
|
SC |
166 |
13 |
144 |
96 |
| Bengali |
|
ST |
154 |
2 |
132 |
15 |
| Bengali |
|
PWD-VI-UR |
166 |
1 |
154 |
3 |
| Bengali |
|
PWD-HI-UR |
132 |
1 |
124 |
5 |
| Bengali |
|
PWD-LM-UR |
136 |
2 |
136 |
3 |
| Bengali |
|
PWD-OD&AO-UR |
148 |
1 |
118 |
2 |
| Bengali |
|
PWD-VI-OB |
130 |
2 |
130 |
2 |
| Bengali |
|
PWD-HI-OB |
126 |
1 |
108 |
2 |
| Bengali |
|
PWD-LM-OB |
126 |
1 |
126 |
1 |
| Bengali |
|
PWD-OD&AO-OB |
118 |
1 |
---- |
---- |
| Bengali |
|
PWD-VI-SC |
124 |
1 |
124 |
1 |
| Bengali |
|
PWD-HI-SC |
128 |
1 |
---- |
---- |
| Bengali |
|
PWD-LM-SC |
118 |
1 |
118 |
1 |
| Bengali |
|
PWD-OD&AO-SC |
---- |
---- |
---- |
---- |
| Bengali |
|
PWD-VI-ST |
114 |
1 |
114 |
1 |
| Bengali |
|
PWD-HI-ST |
---- |
---- |
---- |
---- |
| Bengali |
|
PWD-LM-ST |
---- |
---- |
---- |
---- |
| Bengali |
|
PWD-OD&AO-ST |
---- |
---- |
---- |
---- |
| Bengali |
|
PWD-VI-EW |
124 |
1 |
116 |
2 |
| Bengali |
|
PWD-HI-EW |
---- |
---- |
---- |
---- |
| Bengali |
|
PWD-LM-EW |
124 |
1 |
124 |
1 |
| Bengali |
|
PWD-OD&AO-EW |
---- |
---- |
---- |
---- |
| * Hindi |
|
UNRESERVED |
99.596729 |
152 |
97.3171278 |
1072 |
| * Hindi |
|
EWS |
99.227064 |
50 |
92.860993 |
385 |
| * Hindi |
|
OBC(NCL) |
98.8201473 |
110 |
92.522684 |
901 |
| * Hindi |
|
SC |
96.5622567 |
57 |
84.9837571 |
502 |
| * Hindi |
|
ST |
93.6764871 |
22 |
80.1221776 |
176 |
| * Hindi |
|
PWD-VI-UR |
97.3171278 |
2 |
80.699003 |
19 |
| * Hindi |
|
PWD-HI-UR |
92.522684 |
3 |
49.7334851 |
18 |
| * Hindi |
|
PWD-LM-UR |
98.4989358 |
2 |
84.9837571 |
19 |
| * Hindi |
|
PWD-OD&AO-UR |
63.391957 |
1 |
39.65383 |
12 |
| * Hindi |
|
PWD-VI-OB |
91.3016691 |
3 |
65.1853626 |
14 |
|
Subject |
Category |
Jrf & Assistant Professor |
Assistant Professor |
||
|---|---|---|---|---|---|
| Cutoff |
Total |
Cutoff |
Total |
||
| * Hindi |
PWD-HI-OB |
73.1987782 |
3 |
26.9090256 |
13 |
| * Hindi |
PWD-LM-OB |
90.7588189 |
4 |
75.7381566 |
14 |
| * Hindi |
PWD-OD&AO-OB |
50.4704828 |
1 |
---- |
---- |
| * Hindi |
PWD-VI-SC |
94.5199736 |
1 |
43.0676169 |
9 |
| * Hindi |
PWD-HI-SC |
33.7347373 |
1 |
29.813739 |
3 |
| * Hindi |
PWD-LM-SC |
89.9630335 |
1 |
63.391957 |
12 |
| * Hindi |
PWD-OD&AO-SC |
60.3842276 |
1 |
---- |
---- |
| * Hindi |
PWD-VI-ST |
---- |
---- |
---- |
---- |
| * Hindi |
PWD-HI-ST |
---- |
---- |
---- |
---- |
| * Hindi |
PWD-LM-ST |
78.2009634 |
1 |
68.0960652 |
4 |
| * Hindi |
PWD-OD&AO-ST |
39.65383 |
1 |
29.813739 |
1 |
| * Hindi |
PWD-VI-EW |
93.6695215 |
1 |
60.3842276 |
4 |
| * Hindi |
PWD-HI-EW |
29.813739 |
2 |
27.7136776 |
3 |
| * Hindi |
PWD-LM-EW |
95.4856055 |
1 |
66.528509 |
5 |
| * Hindi |
PWD-OD&AO-EW |
---- |
---- |
---- |
---- |
| Kannada |
UNRESERVED |
182 |
13 |
162 |
93 |
| Kannada |
EWS |
178 |
1 |
152 |
7 |
| Kannada |
OBC(NCL) |
170 |
9 |
148 |
68 |
| Kannada |
SC |
168 |
10 |
144 |
73 |
| Kannada |
ST |
166 |
4 |
148 |
31 |
| Kannada |
PWD-VI-UR |
148 |
1 |
132 |
3 |
| Kannada |
PWD-HI-UR |
156 |
1 |
108 |
2 |
| Kannada |
PWD-LM-UR |
150 |
1 |
136 |
3 |
| Kannada |
PWD-OD&AO-UR |
150 |
1 |
106 |
4 |
| Kannada |
PWD-VI-OB |
146 |
1 |
126 |
2 |
| Kannada |
PWD-HI-OB |
---- |
---- |
106 |
1 |
| Kannada |
PWD-LM-OB |
144 |
1 |
128 |
2 |
| Kannada |
PWD-OD&AO-OB |
112 |
1 |
---- |
---- |
| Kannada |
PWD-VI-SC |
118 |
1 |
108 |
3 |
| Kannada |
PWD-HI-SC |
---- |
---- |
---- |
---- |
| Kannada |
PWD-LM-SC |
134 |
1 |
128 |
2 |
| Kannada |
PWD-OD&AO-SC |
106 |
1 |
---- |
---- |
| Kannada |
PWD-VI-ST |
---- |
---- |
---- |
---- |
| Kannada |
PWD-HI-ST |
120 |
1 |
---- |
---- |
| Kannada |
PWD-LM-ST |
148 |
1 |
112 |
2 |
| Kannada |
PWD-OD&AO-ST |
---- |
---- |
---- |
---- |
| Kannada |
PWD-VI-EW |
144 |
1 |
---- |
---- |
| Kannada |
PWD-HI-EW |
---- |
---- |
---- |
---- |
| Kannada |
PWD-LM-EW |
---- |
---- |
---- |
---- |
| Kannada |
PWD-OD&AO-EW |
---- |
---- |
---- |
---- |
| Malayalam |
UNRESERVED |
190 |
13 |
172 |
107 |
| Malayalam |
EWS |
184 |
3 |
154 |
15 |
| Malayalam |
OBC(NCL) |
180 |
13 |
160 |
94 |
| Malayalam |
SC |
172 |
4 |
148 |
28 |
| Malayalam |
ST |
174 |
1 |
140 |
2 |
| Malayalam |
PWD-VI-UR |
146 |
1 |
150 |
1 |
| Subject |
Category |
Jrf & Assistant Professor |
Assistant Professor |
||
|---|---|---|---|---|---|
| Cutoff |
Total |
Cutoff |
Total |
||
| Malayalam |
PWD-HI-UR |
---- |
---- |
---- |
---- |
| Malayalam |
PWD-LM-UR |
168 |
1 |
132 |
1 |
| Malayalam |
PWD-OD&AO-UR |
124 |
1 |
106 |
2 |
| Malayalam |
PWD-VI-OB |
140 |
1 |
140 |
2 |
| Malayalam |
PWD-HI-OB |
---- |
---- |
---- |
---- |
| Malayalam |
PWD-LM-OB |
118 |
1 |
118 |
1 |
| Malayalam |
PWD-OD&AO-OB |
106 |
1 |
---- |
---- |
| Malayalam |
PWD-VI-SC |
108 |
1 |
108 |
1 |
| Malayalam |
PWD-HI-SC |
---- |
---- |
---- |
---- |
| Malayalam |
PWD-LM-SC |
132 |
1 |
---- |
---- |
| Malayalam |
PWD-OD&AO-SC |
---- |
---- |
---- |
---- |
| Malayalam |
PWD-VI-ST |
---- |
---- |
---- |
---- |
| Malayalam |
PWD-HI-ST |
---- |
---- |
---- |
---- |
| Malayalam |
PWD-LM-ST |
---- |
---- |
---- |
---- |
| Malayalam |
PWD-OD&AO-ST |
---- |
---- |
---- |
---- |
| Malayalam |
PWD-VI-EW |
---- |
---- |
---- |
---- |
| Malayalam |
PWD-HI-EW |
---- |
---- |
---- |
---- |
| Malayalam |
PWD-LM-EW |
---- |
---- |
---- |
---- |
| Malayalam |
PWD-OD&AO-EW |
---- |
---- |
---- |
---- |
| Oriya |
UNRESERVED |
188 |
17 |
170 |
139 |
| Oriya |
EWS |
180 |
5 |
158 |
34 |
| Oriya |
OBC(NCL) |
178 |
15 |
158 |
98 |
| Oriya |
SC |
170 |
12 |
152 |
59 |
| Oriya |
ST |
164 |
5 |
142 |
38 |
| Oriya |
PWD-VI-UR |
176 |
1 |
142 |
3 |
| Oriya |
PWD-HI-UR |
148 |
1 |
130 |
2 |
| Oriya |
PWD-LM-UR |
154 |
1 |
148 |
3 |
| Oriya |
PWD-OD&AO-UR |
128 |
1 |
106 |
8 |
| Oriya |
PWD-VI-OB |
160 |
1 |
114 |
2 |
| Oriya |
PWD-HI-OB |
130 |
1 |
126 |
1 |
| Oriya |
PWD-LM-OB |
152 |
1 |
144 |
1 |
| Oriya |
PWD-OD&AO-OB |
124 |
1 |
---- |
---- |
| Oriya |
PWD-VI-SC |
---- |
---- |
130 |
3 |
| Oriya |
PWD-HI-SC |
---- |
---- |
106 |
1 |
| Oriya |
PWD-LM-SC |
---- |
---- |
138 |
1 |
| Oriya |
PWD-OD&AO-SC |
106 |
1 |
---- |
---- |
| Oriya |
PWD-VI-ST |
---- |
---- |
---- |
---- |
| Oriya |
PWD-HI-ST |
---- |
---- |
---- |
---- |
| Oriya |
PWD-LM-ST |
108 |
1 |
108 |
1 |
| Oriya |
PWD-OD&AO-ST |
---- |
---- |
---- |
---- |
| Oriya |
PWD-VI-EW |
122 |
1 |
122 |
1 |
| Oriya |
PWD-HI-EW |
---- |
---- |
---- |
---- |
| Oriya |
PWD-LM-EW |
112 |
1 |
112 |
1 |
| Oriya |
PWD-OD&AO-EW |
---- |
---- |
---- |
---- |
| Punjabi |
UNRESERVED |
176 |
7 |
158 |
50 |
| Punjabi |
EWS |
172 |
2 |
150 |
16 |
| Subject |
Category |
Jrf & Assistant Professor |
Assistant Professor |
||
|---|---|---|---|---|---|
| Cutoff |
Total |
Cutoff |
Total |
||
| Punjabi |
OBC(NCL) |
166 |
3 |
142 |
36 |
| Punjabi |
SC |
158 |
8 |
136 |
81 |
| Punjabi |
ST |
130 |
1 |
130 |
1 |
| Punjabi |
PWD-VI-UR |
---- |
---- |
---- |
---- |
| Punjabi |
PWD-HI-UR |
---- |
---- |
112 |
1 |
| Punjabi |
PWD-LM-UR |
128 |
1 |
128 |
2 |
| Punjabi |
PWD-OD&AO-UR |
---- |
---- |
---- |
---- |
| Punjabi |
PWD-VI-OB |
---- |
---- |
---- |
---- |
| Punjabi |
PWD-HI-OB |
---- |
---- |
---- |
---- |
| Punjabi |
PWD-LM-OB |
120 |
1 |
120 |
1 |
| Punjabi |
PWD-OD&AO-OB |
---- |
---- |
---- |
---- |
| Punjabi |
PWD-VI-SC |
---- |
---- |
---- |
---- |
| Punjabi |
PWD-HI-SC |
---- |
---- |
---- |
---- |
| Punjabi |
PWD-LM-SC |
126 |
1 |
126 |
1 |
| Punjabi |
PWD-OD&AO-SC |
---- |
---- |
---- |
---- |
| Punjabi |
PWD-VI-ST |
---- |
---- |
---- |
---- |
| Punjabi |
PWD-HI-ST |
---- |
---- |
---- |
---- |
| Punjabi |
PWD-LM-ST |
---- |
---- |
---- |
---- |
| Punjabi |
PWD-OD&AO-ST |
---- |
---- |
---- |
---- |
| Punjabi |
PWD-VI-EW |
---- |
---- |
---- |
---- |
| Punjabi |
PWD-HI-EW |
---- |
---- |
---- |
---- |
| Punjabi |
PWD-LM-EW |
---- |
---- |
---- |
---- |
| Punjabi |
PWD-OD&AO-EW |
---- |
---- |
---- |
---- |
| Sanskrit |
UNRESERVED |
212 |
44 |
190 |
353 |
| Sanskrit |
EWS |
204 |
24 |
174 |
171 |
| Sanskrit |
OBC(NCL) |
200 |
24 |
172 |
190 |
| Sanskrit |
SC |
188 |
21 |
164 |
149 |
| Sanskrit |
ST |
182 |
7 |
146 |
48 |
| Sanskrit |
PWD-VI-UR |
188 |
1 |
144 |
4 |
| Sanskrit |
PWD-HI-UR |
170 |
1 |
120 |
12 |
| Sanskrit |
PWD-LM-UR |
190 |
1 |
148 |
6 |
| Sanskrit |
PWD-OD&AO-UR |
138 |
1 |
106 |
6 |
| Sanskrit |
PWD-VI-OB |
170 |
1 |
118 |
2 |
| Sanskrit |
PWD-HI-OB |
146 |
1 |
106 |
5 |
| Sanskrit |
PWD-LM-OB |
160 |
1 |
140 |
4 |
| Sanskrit |
PWD-OD&AO-OB |
112 |
1 |
---- |
---- |
| Sanskrit |
PWD-VI-SC |
140 |
1 |
120 |
4 |
| Sanskrit |
PWD-HI-SC |
154 |
1 |
108 |
1 |
| Sanskrit |
PWD-LM-SC |
158 |
1 |
134 |
2 |
| Sanskrit |
PWD-OD&AO-SC |
---- |
---- |
---- |
---- |
| Sanskrit |
PWD-VI-ST |
---- |
---- |
---- |
---- |
| Sanskrit |
PWD-HI-ST |
---- |
---- |
---- |
---- |
| Sanskrit |
PWD-LM-ST |
---- |
---- |
---- |
---- |
| Sanskrit |
PWD-OD&AO-ST |
---- |
---- |
---- |
---- |
| Sanskrit |
PWD-VI-EW |
114 |
1 |
114 |
1 |
| Sanskrit |
PWD-HI-EW |
122 |
2 |
112 |
3 |
|
Subject |
Category |
Jrf & Assistant Professor |
Assistant Professor |
||
|---|---|---|---|---|---|
| Cutoff |
Total |
Cutoff |
Total |
||
| Sanskrit |
PWD-LM-EW |
---- |
---- |
142 |
1 |
| Sanskrit |
PWD-OD&AO-EW |
---- |
---- |
---- |
---- |
| Tamil |
UNRESERVED |
164 |
9 |
146 |
84 |
| Tamil |
EWS |
138 |
1 |
138 |
2 |
| Tamil |
OBC(NCL) |
154 |
11 |
136 |
149 |
| Tamil |
SC |
146 |
6 |
132 |
69 |
| Tamil |
ST |
130 |
1 |
130 |
1 |
| Tamil |
PWD-VI-UR |
144 |
1 |
126 |
4 |
| Tamil |
PWD-HI-UR |
134 |
1 |
134 |
1 |
| Tamil |
PWD-LM-UR |
126 |
1 |
126 |
1 |
| Tamil |
PWD-OD&AO-UR |
142 |
1 |
106 |
2 |
| Tamil |
PWD-VI-OB |
140 |
1 |
114 |
7 |
| Tamil |
PWD-HI-OB |
---- |
---- |
---- |
---- |
| Tamil |
PWD-LM-OB |
---- |
---- |
118 |
1 |
| Tamil |
PWD-OD&AO-OB |
---- |
---- |
---- |
---- |
| Tamil |
PWD-VI-SC |
126 |
1 |
114 |
1 |
| Tamil |
PWD-HI-SC |
---- |
---- |
118 |
1 |
| Tamil |
PWD-LM-SC |
---- |
---- |
110 |
1 |
| Tamil |
PWD-OD&AO-SC |
106 |
1 |
---- |
---- |
| Tamil |
PWD-VI-ST |
---- |
---- |
---- |
---- |
| Tamil |
PWD-HI-ST |
---- |
---- |
---- |
---- |
| Tamil |
PWD-LM-ST |
---- |
---- |
---- |
---- |
| Tamil |
PWD-OD&AO-ST |
---- |
---- |
---- |
---- |
| Tamil |
PWD-VI-EW |
---- |
---- |
---- |
---- |
| Tamil |
PWD-HI-EW |
---- |
---- |
---- |
---- |
| Tamil |
PWD-LM-EW |
---- |
---- |
---- |
---- |
| Tamil |
PWD-OD&AO-EW |
---- |
---- |
---- |
---- |
| Telugu |
UNRESERVED |
172 |
11 |
158 |
66 |
| Telugu |
EWS |
164 |
1 |
146 |
9 |
| Telugu |
OBC(NCL) |
166 |
8 |
146 |
71 |
| Telugu |
SC |
162 |
5 |
140 |
46 |
| Telugu |
ST |
152 |
3 |
136 |
18 |
| Telugu |
PWD-VI-UR |
162 |
1 |
142 |
1 |
| Telugu |
PWD-HI-UR |
---- |
---- |
---- |
---- |
| Telugu |
PWD-LM-UR |
144 |
1 |
138 |
3 |
| Telugu |
PWD-OD&AO-UR |
---- |
---- |
---- |
---- |
| Telugu |
PWD-VI-OB |
148 |
1 |
134 |
2 |
| Telugu |
PWD-HI-OB |
---- |
---- |
---- |
---- |
| Telugu |
PWD-LM-OB |
138 |
2 |
132 |
2 |
| Telugu |
PWD-OD&AO-OB |
---- |
---- |
---- |
---- |
| Telugu |
PWD-VI-SC |
---- |
---- |
---- |
---- |
| Telugu |
PWD-HI-SC |
---- |
---- |
---- |
---- |
| Telugu |
PWD-LM-SC |
140 |
1 |
124 |
2 |
| Telugu |
PWD-OD&AO-SC |
---- |
---- |
---- |
---- |
| Telugu |
PWD-VI-ST |
---- |
---- |
---- |
---- |
| Telugu |
PWD-HI-ST |
---- |
---- |
---- |
---- |
| Subject |
Category |
Jrf & Assistant Professor |
Assistant Professor |
||
|---|---|---|---|---|---|
| Cutoff |
Total |
Cutoff |
Total |
||
| Telugu |
PWD-LM-ST |
---- |
---- |
124 |
1 |
| Telugu |
PWD-OD&AO-ST |
---- |
---- |
---- |
---- |
| Telugu |
PWD-VI-EW |
---- |
---- |
---- |
---- |
| Telugu |
PWD-HI-EW |
---- |
---- |
---- |
---- |
| Telugu |
PWD-LM-EW |
---- |
---- |
130 |
1 |
| Telugu |
PWD-OD&AO-EW |
---- |
---- |
---- |
---- |
| Urdu |
UNRESERVED |
236 |
19 |
216 |
164 |
| Urdu |
EWS |
230 |
9 |
200 |
61 |
| Urdu |
OBC(NCL) |
224 |
19 |
200 |
115 |
| Urdu |
SC |
230 |
1 |
182 |
7 |
| Urdu |
ST |
224 |
2 |
190 |
16 |
| Urdu |
PWD-VI-UR |
208 |
1 |
192 |
2 |
| Urdu |
PWD-HI-UR |
---- |
---- |
120 |
1 |
| Urdu |
PWD-LM-UR |
202 |
1 |
200 |
3 |
| Urdu |
PWD-OD&AO-UR |
184 |
1 |
120 |
3 |
| Urdu |
PWD-VI-OB |
148 |
1 |
148 |
1 |
| Urdu |
PWD-HI-OB |
---- |
---- |
---- |
---- |
| Urdu |
PWD-LM-OB |
198 |
1 |
194 |
2 |
| Urdu |
PWD-OD&AO-OB |
---- |
---- |
---- |
---- |
| Urdu |
PWD-VI-SC |
---- |
---- |
---- |
---- |
| Urdu |
PWD-HI-SC |
---- |
---- |
---- |
---- |
| Urdu |
PWD-LM-SC |
---- |
---- |
---- |
---- |
| Urdu |
PWD-OD&AO-SC |
---- |
---- |
---- |
---- |
| Urdu |
PWD-VI-ST |
---- |
---- |
---- |
---- |
| Urdu |
PWD-HI-ST |
---- |
---- |
---- |
---- |
| Urdu |
PWD-LM-ST |
---- |
---- |
---- |
---- |
| Urdu |
PWD-OD&AO-ST |
---- |
---- |
---- |
---- |
| Urdu |
PWD-VI-EW |
130 |
1 |
130 |
1 |
| Urdu |
PWD-HI-EW |
---- |
---- |
---- |
---- |
| Urdu |
PWD-LM-EW |
154 |
1 |
154 |
1 |
| Urdu |
PWD-OD&AO-EW |
---- |
---- |
---- |
---- |
| Arabic |
UNRESERVED |
236 |
8 |
210 |
64 |
| Arabic |
EWS |
234 |
1 |
200 |
6 |
| Arabic |
OBC(NCL) |
224 |
11 |
196 |
75 |
| Arabic |
SC |
132 |
1 |
132 |
1 |
| Arabic |
ST |
192 |
2 |
172 |
3 |
| Arabic |
PWD-VI-UR |
150 |
1 |
150 |
1 |
| Arabic |
PWD-HI-UR |
---- |
---- |
---- |
---- |
| Arabic |
PWD-LM-UR |
202 |
1 |
202 |
1 |
| Arabic |
PWD-OD&AO-UR |
184 |
1 |
184 |
1 |
| Arabic |
PWD-VI-OB |
112 |
1 |
112 |
1 |
| Arabic |
PWD-HI-OB |
---- |
---- |
---- |
---- |
| Arabic |
PWD-LM-OB |
---- |
---- |
138 |
1 |
| Arabic |
PWD-OD&AO-OB |
---- |
---- |
---- |
---- |
| Arabic |
PWD-VI-SC |
---- |
---- |
---- |
---- |
| Arabic |
PWD-HI-SC |
---- |
---- |
---- |
---- |
| Subject |
Category |
Jrf & Assistant Professor |
Assistant Professor |
||
|---|---|---|---|---|---|
| Cutoff |
Total |
Cutoff |
Total |
||
| Linguistics |
PWD-LM-OB |
---- |
---- |
110 |
1 |
| Linguistics |
PWD-OD&AO-OB |
---- |
---- |
---- |
---- |
| Linguistics |
PWD-VI-SC |
---- |
---- |
---- |
---- |
| Linguistics |
PWD-HI-SC |
---- |
---- |
---- |
---- |
| Linguistics |
PWD-LM-SC |
---- |
---- |
---- |
---- |
| Linguistics |
PWD-OD&AO-SC |
---- |
---- |
---- |
---- |
| Linguistics |
PWD-VI-ST |
---- |
---- |
---- |
---- |
| Linguistics |
PWD-HI-ST |
---- |
---- |
---- |
---- |
| Linguistics |
PWD-LM-ST |
---- |
---- |
---- |
---- |
| Linguistics |
PWD-OD&AO-ST |
---- |
---- |
---- |
---- |
| Linguistics |
PWD-VI-EW |
---- |
---- |
---- |
---- |
| Linguistics |
PWD-HI-EW |
---- |
---- |
---- |
---- |
| Linguistics |
PWD-LM-EW |
---- |
---- |
---- |
---- |
| Linguistics |
PWD-OD&AO-EW |
---- |
---- |
---- |
---- |
Commonly asked questions
Candiates can check below the steps to download the UGC NET question papers: Visit at ugcnet.nta.nic.in. Click on the answer key & question paper link. Login using the required details. Download the question paper PDF
As per the information bulletin, there is no end period for the validity of the qualifying certificate of Assistant Professor.
It is released by the National Testing Agency NTA a few days after the exam is conducted. The answer key helps candidates in calculating their probable scores and checking the accuracy of their responsesThe details provided on the UGC NET answer key are mentioned below: Exam, date, Exam shift, Exam subject name and code, Question ID, Correct option ID
UGC NET Previous Years Cutoff (Subject Wise)
Check UGC NET cutoffs of previous years below in the tables below.
UGC NET December 2022 Cut Off
The candidates can check the UGC NET cut-off for the UGC NET 2022 December cycle below in the table:
|
Subject |
Category |
Assistant Professor |
Jrf & Assistant Professor |
|---|---|---|---|
| Cutoff Percentile |
Cutoff Percentile |
||
| Economics / Rural Economics /Co-operation |
UNRESERVED |
97.2733082 |
99.7500164 |
| Economics / Rural Economics /Co-operation |
EWS |
92.7501243 |
99.2960989 |
| Economics / Rural Economics /Co-operation |
OBC(NCL) |
91.3015693 |
98.8948096 |
| Economics / Rural Economics /Co-operation |
SC |
84.3073209 |
96.6910072 |
| Economics / Rural Economics /Co-operation |
ST |
79.8622453 |
94.9740149 |
| Economics / Rural Economics /Co-operation |
PWD-VI-UR |
73.6990987 |
90.0269719 |
| Economics / Rural Economics /Co-operation |
PWD-HI-UR |
55.6608118 |
72.3141376 |
| Economics / Rural Economics /Co-operation |
PWD-LM-UR |
81.4741177 |
95.6384448 |
| Economics / Rural Economics /Co-operation |
PWD-OD&AO-UR |
25.5377936 |
76.3260669 |
| Economics / Rural Economics /Co-operation |
PWD-VI-OB |
53.6604417 |
78.1509622 |
| Economics / Rural Economics /Co-operation |
PWD-HI-OB |
34.3464246 |
49.7335702 |
| Economics / Rural Economics /Co-operation |
PWD-LM-OB |
71.6334452 |
94.9740149 |
| Economics / Rural Economics /Co-operation |
PWD-OD&AO-OB |
--- |
53.6604417 |
| Economics / Rural Economics /Co-operation |
PWD-VI-SC |
37.3462272 |
71.6334452 |
| Economics / Rural Economics /Co-operation |
PWD-HI-SC |
22.80771 |
47.4685791 |
| Economics / Rural Economics /Co-operation |
PWD-LM-SC |
65.0713626 |
70.0773983 |
| Economics / Rural Economics /Co-operation |
PWD-OD&AO-SC |
--- |
75.8042234 |
| Economics / Rural Economics /Co-operation |
PWD-VI-ST |
31.4189856 |
55.6608118 |
| Economics / Rural Economics /Co-operation |
PWD-HI-ST |
--- |
--- |
| Economics / Rural Economics /Co-operation |
PWD-LM-ST |
62.3801747 |
66.9626998 |
| Economics / Rural Economics /Co-operation |
PWD-OD&AO-ST |
--- |
--- |
| Economics / Rural Economics /Co-operation |
PWD-VI-EW |
67.6560392 |
71.6334452 |
| Economics / Rural Economics /Co-operation |
PWD-HI-EW |
22.80771 |
66.9626998 |
| Economics / Rural Economics /Co-operation |
PWD-LM-EW |
64.3378725 |
93.4175957 |
| Economics / Rural Economics /Co-operation |
PWD-OD&AO-EW |
--- |
--- |
| Political Science |
UNRESERVED |
96.9560738 |
99.5995423 |
| Political Science |
EWS |
92.0436452 |
99.1657132 |
| Political Science |
OBC(NCL) |
92.0436452 |
98.9041866 |
| Political Science |
SC |
82.5793762 |
95.6307952 |
| Political Science |
ST |
78.6613272 |
94.1742944 |
| Political Science |
PWD-VI-UR |
80.4109458 |
98.9041866 |
| Political Science |
PWD-HI-UR |
59.6047579 |
82.2654462 |
| Political Science |
PWD-LM-UR |
82.2654462 |
98.7121851 |
| Political Science |
PWD-OD&AO-UR |
22.6544622 |
85.2641114 |
| Political Science |
PWD-VI-OB |
59.6047579 |
97.3822235 |
| Political Science |
PWD-HI-OB |
26.8115942 |
79.6150604 |
| Political Science |
PWD-LM-OB |
76.3838157 |
95.0266929 |
| Political Science |
PWD-OD&AO-OB |
--- |
80.4109458 |
| Political Science |
PWD-VI-SC |
44.0807343 |
86.6800153 |
| Political Science |
PWD-HI-SC |
30.5516531 |
38.6672286 |
| Political Science |
PWD-LM-SC |
67.0242182 |
86.7565796 |
| Political Science |
PWD-OD&AO-SC |
--- |
--- |
| Political Science |
PWD-VI-ST |
35.583524 |
93.2684973 |
| Political Science |
PWD-HI-ST |
28.7805111 |
54.6220849 |
| Political Science |
PWD-LM-ST |
41.3177859 |
79.6150604 |
|
Subject |
Category |
Assistant Professor |
Jrf & Assistant Professor |
|---|---|---|---|
| Cutoff Percentile |
Cutoff Percentile |
||
| Political Science |
PWD-OD&AO-ST |
--- |
64.9218154 |
| Political Science |
PWD-VI-EW |
51.2109077 |
96.0663108 |
| Political Science |
PWD-HI-EW |
24.7044241 |
71.0030908 |
| Political Science |
PWD-LM-EW |
71.0030908 |
95.0266929 |
| Political Science |
PWD-OD&AO-EW |
--- |
--- |
| History |
UNRESERVED |
97.7871542 |
99.7233943 |
| History |
EWS |
94.2217407 |
99.4479699 |
| History |
OBC(NCL) |
93.3188877 |
99.2827004 |
| History |
SC |
87.4308486 |
97.7093329 |
| History |
ST |
84.1162682 |
96.6760431 |
| History |
PWD-VI-UR |
82.0628223 |
97.4410566 |
| History |
PWD-HI-UR |
71.8051901 |
97.2667604 |
| History |
PWD-LM-UR |
86.9008925 |
98.9123301 |
| History |
PWD-OD&AO-UR |
35.2648851 |
79.2704948 |
| History |
PWD-VI-OB |
68.869628 |
92.962963 |
| History |
PWD-HI-OB |
32.2503516 |
83.3668679 |
| History |
PWD-LM-OB |
79.8968589 |
97.4410566 |
| History |
PWD-OD&AO-OB |
--- |
75.0961088 |
| History |
PWD-VI-SC |
44.9507736 |
85.1003457 |
| History |
PWD-HI-SC |
41.5236756 |
84.1162682 |
| History |
PWD-LM-SC |
74.410566 |
91.8893577 |
| History |
PWD-OD&AO-SC |
--- |
--- |
| History |
PWD-VI-ST |
44.9507736 |
82.0628223 |
| History |
PWD-HI-ST |
48.3216128 |
48.3216128 |
| History |
PWD-LM-ST |
58.1950305 |
81.3909096 |
| History |
PWD-OD&AO-ST |
--- |
75.0961088 |
| History |
PWD-VI-EW |
65.9856575 |
95.8884201 |
| History |
PWD-HI-EW |
48.2278285 |
93.3188877 |
| History |
PWD-LM-EW |
77.6136896 |
97.4410566 |
| History |
PWD-OD&AO-EW |
--- |
--- |
| Commerce |
UNRESERVED |
97.433551 |
99.7296286 |
| Commerce |
EWS |
93.6067551 |
99.2868431 |
| Commerce |
OBC(NCL) |
91.5798857 |
98.9642694 |
| Commerce |
SC |
84.8051246 |
96.9843185 |
| Commerce |
ST |
79.6015141 |
96.3329146 |
| Commerce |
PWD-VI-UR |
81.5523481 |
99.1348114 |
| Commerce |
PWD-HI-UR |
65.9955909 |
98.0990807 |
| Commerce |
PWD-LM-UR |
86.4148746 |
97.433551 |
| Commerce |
PWD-OD&AO-UR |
25.1362256 |
92.7457261 |
| Commerce |
PWD-VI-OB |
63.4499397 |
87.9247951 |
| Commerce |
PWD-HI-OB |
33.6425273 |
87.9492686 |
| Commerce |
PWD-LM-OB |
75.6416122 |
96.4435756 |
| Commerce |
PWD-OD&AO-OB |
--- |
87.9247951 |
| Commerce |
PWD-VI-SC |
39.9442619 |
54.8271703 |
| Commerce |
PWD-HI-SC |
--- |
79.3954374 |
|
Subject |
Category |
Assistant Professor |
Jrf & Assistant Professor |
|---|---|---|---|
| Cutoff Percentile |
Cutoff Percentile |
||
| Commerce |
PWD-LM-SC |
77.6881161 |
83.2452893 |
| Commerce |
PWD-OD&AO-SC |
--- |
--- |
| Commerce |
PWD-VI-ST |
48.6162324 |
48.6162324 |
| Commerce |
PWD-HI-ST |
33.6425273 |
65.9955909 |
| Commerce |
PWD-LM-ST |
55.0062806 |
86.4986426 |
| Commerce |
PWD-OD&AO-ST |
--- |
--- |
| Commerce |
PWD-VI-EW |
54.8271703 |
92.7457261 |
| Commerce |
PWD-HI-EW |
48.9455513 |
61.4530573 |
| Commerce |
PWD-LM-EW |
58.1992787 |
90.6617861 |
| Commerce |
PWD-OD&AO-EW |
--- |
--- |
| Education |
UNRESERVED |
96.8775319 |
99.6759115 |
| Education |
EWS |
90.9566843 |
99.0575042 |
| Education |
OBC(NCL) |
90.9566843 |
99.0401994 |
| Education |
SC |
83.4714864 |
96.8026724 |
| Education |
ST |
82.0031019 |
95.2457647 |
| Education |
PWD-VI-UR |
79.3331256 |
97.2858506 |
| Education |
PWD-HI-UR |
49.6778812 |
88.1651157 |
| Education |
PWD-LM-UR |
80.0763541 |
97.30134 |
| Education |
PWD-OD&AO-UR |
22.4230494 |
86.8647101 |
| Education |
PWD-VI-OB |
59.4390776 |
94.5657361 |
| Education |
PWD-HI-OB |
20.3677158 |
71.1047483 |
| Education |
PWD-LM-OB |
73.5683608 |
93.0320972 |
| Education |
PWD-OD&AO-OB |
--- |
74.259894 |
| Education |
PWD-VI-SC |
39.8504207 |
81.5456529 |
| Education |
PWD-HI-SC |
22.4230494 |
80.0763541 |
| Education |
PWD-LM-SC |
62.6176379 |
91.8396564 |
| Education |
PWD-OD&AO-SC |
--- |
--- |
| Education |
PWD-VI-ST |
--- |
--- |
| Education |
PWD-HI-ST |
--- |
62.5685994 |
| Education |
PWD-LM-ST |
56.2854472 |
56.3648294 |
| Education |
PWD-OD&AO-ST |
--- |
--- |
| Education |
PWD-VI-EW |
49.9033967 |
89.6852602 |
| Education |
PWD-HI-EW |
25.8024307 |
71.1047483 |
| Education |
PWD-LM-EW |
62.5685994 |
96.2854472 |
| Education |
PWD-OD&AO-EW |
--- |
31.1810533 |
| Bengali |
UNRESERVED |
98.3408072 |
99.8488665 |
| Bengali |
EWS |
95.7399103 |
99.6473552 |
| Bengali |
OBC(NCL) |
95.0672646 |
99.103139 |
| Bengali |
SC |
90.4282116 |
98.9686099 |
| Bengali |
ST |
85.3400504 |
98.161435 |
| Bengali |
PWD-VI-UR |
93.5874439 |
98.161435 |
| Bengali |
PWD-HI-UR |
64.0358744 |
92.5560538 |
| Bengali |
PWD-LM-UR |
85.2914798 |
85.2914798 |
| Bengali |
PWD-OD&AO-UR |
64.0358744 |
69.9748111 |
| Bengali |
PWD-VI-OB |
78.6547085 |
78.6547085 |
|
Subject |
Category |
Assistant Professor |
Jrf & Assistant Professor |
|---|---|---|---|
| Cutoff Percentile |
Cutoff Percentile |
||
| Bengali |
PWD-HI-OB |
--- |
64.0358744 |
| Bengali |
PWD-LM-OB |
83.67713 |
83.67713 |
| Bengali |
PWD-OD&AO-OB |
--- |
--- |
| Bengali |
PWD-VI-SC |
60.3526448 |
74.0050378 |
| Bengali |
PWD-HI-SC |
--- |
--- |
| Bengali |
PWD-LM-SC |
76.5470852 |
76.5470852 |
| Bengali |
PWD-OD&AO-SC |
--- |
64.0358744 |
| Bengali |
PWD-VI-ST |
--- |
--- |
| Bengali |
PWD-HI-ST |
--- |
--- |
| Bengali |
PWD-LM-ST |
--- |
--- |
| Bengali |
PWD-OD&AO-ST |
--- |
--- |
| Bengali |
PWD-VI-EW |
--- |
--- |
| Bengali |
PWD-HI-EW |
--- |
--- |
| Bengali |
PWD-LM-EW |
84.0302267 |
84.0302267 |
| Bengali |
PWD-OD&AO-EW |
--- |
--- |
| Hindi |
UNRESERVED |
97.1827618 |
99.6422182 |
| Hindi |
EWS |
92.7057923 |
99.3303678 |
| Hindi |
OBC(NCL) |
92.4285645 |
98.9653338 |
| Hindi |
SC |
84.3059517 |
96.3931731 |
| Hindi |
ST |
80.0802592 |
95.8033167 |
| Hindi |
PWD-VI-UR |
84.3059517 |
99.3424552 |
| Hindi |
PWD-HI-UR |
58.8792728 |
90.2141856 |
| Hindi |
PWD-LM-UR |
85.9256394 |
97.9289233 |
| Hindi |
PWD-OD&AO-UR |
22.6756273 |
95.8033167 |
| Hindi |
PWD-VI-OB |
64.8406904 |
98.1724121 |
| Hindi |
PWD-HI-OB |
20.1614853 |
80.5089205 |
| Hindi |
PWD-LM-OB |
77.9335686 |
93.6193619 |
| Hindi |
PWD-OD&AO-OB |
--- |
68.0441957 |
| Hindi |
PWD-VI-SC |
30.7547261 |
88.951069 |
| Hindi |
PWD-HI-SC |
22.6756273 |
22.6756273 |
| Hindi |
PWD-LM-SC |
65.3465347 |
90.4099106 |
| Hindi |
PWD-OD&AO-SC |
--- |
22.6756273 |
| Hindi |
PWD-VI-ST |
73.669106 |
73.669106 |
| Hindi |
PWD-HI-ST |
--- |
--- |
| Hindi |
PWD-LM-ST |
39.7911328 |
88.9522797 |
| Hindi |
PWD-OD&AO-ST |
--- |
--- |
| Hindi |
PWD-VI-EW |
61.9155828 |
96.3931731 |
| Hindi |
PWD-HI-EW |
27.9504907 |
56.292151 |
| Hindi |
PWD-LM-EW |
68.0441957 |
97.1827618 |
| Hindi |
PWD-OD&AO-EW |
--- |
56.292151 |
| Kannada |
UNRESERVED |
98.3097056 |
99.6860283 |
| Kannada |
EWS |
96.5648855 |
99.4767138 |
| Kannada |
OBC(NCL) |
94.4531659 |
99.0580848 |
| Kannada |
SC |
91.522763 |
98.9010989 |
| Kannada |
ST |
91.522763 |
98.6368593 |
|
Subject |
Category |
Assistant Professor |
Jrf & Assistant Professor |
|---|---|---|---|
| Cutoff Percentile |
Cutoff Percentile |
||
| Kannada |
PWD-VI-UR |
97.0695971 |
98.7964417 |
| Kannada |
PWD-HI-UR |
81.4756672 |
--- |
| Kannada |
PWD-LM-UR |
85.5049712 |
93.6682365 |
| Kannada |
PWD-OD&AO-UR |
25.7906216 |
62.7943485 |
| Kannada |
PWD-VI-OB |
69.6292257 |
69.6292257 |
| Kannada |
PWD-HI-OB |
69.6292257 |
--- |
| Kannada |
PWD-LM-OB |
73.827699 |
85.5049712 |
| Kannada |
PWD-OD&AO-OB |
--- |
--- |
| Kannada |
PWD-VI-SC |
76.9901854 |
85.5049712 |
| Kannada |
PWD-HI-SC |
--- |
--- |
| Kannada |
PWD-LM-SC |
73.827699 |
73.827699 |
| Kannada |
PWD-OD&AO-SC |
--- |
25.7906216 |
| Kannada |
PWD-VI-ST |
--- |
--- |
| Kannada |
PWD-HI-ST |
--- |
--- |
| Kannada |
PWD-LM-ST |
78.3359498 |
78.3359498 |
| Kannada |
PWD-OD&AO-ST |
--- |
54.4711014 |
| Kannada |
PWD-VI-EW |
94.7655398 |
94.7655398 |
| Kannada |
PWD-HI-EW |
--- |
--- |
| Kannada |
PWD-LM-EW |
--- |
--- |
| Kannada |
PWD-OD&AO-EW |
--- |
--- |
| Oriya |
UNRESERVED |
97.0863112 |
99.7251237 |
| Oriya |
EWS |
92.7982408 |
99.4502474 |
| Oriya |
OBC(NCL) |
92.8529924 |
99.2303463 |
| Oriya |
SC |
89.0180128 |
97.9109401 |
| Oriya |
ST |
76.2506872 |
97.6176641 |
| Oriya |
PWD-VI-UR |
85.2116548 |
97.0863112 |
| Oriya |
PWD-HI-UR |
41.6618245 |
41.6618245 |
| Oriya |
PWD-LM-UR |
92.7982408 |
97.0366066 |
| Oriya |
PWD-OD&AO-UR |
--- |
--- |
| Oriya |
PWD-VI-OB |
55.9648158 |
72.1275426 |
| Oriya |
PWD-HI-OB |
--- |
--- |
| Oriya |
PWD-LM-OB |
78.7914003 |
96.3393376 |
| Oriya |
PWD-OD&AO-OB |
--- |
--- |
| Oriya |
PWD-VI-SC |
83.782298 |
83.782298 |
| Oriya |
PWD-HI-SC |
--- |
--- |
| Oriya |
PWD-LM-SC |
69.6106915 |
69.6106915 |
| Oriya |
PWD-OD&AO-SC |
--- |
--- |
| Oriya |
PWD-VI-ST |
--- |
--- |
| Oriya |
PWD-HI-ST |
--- |
--- |
| Oriya |
PWD-LM-ST |
69.9285322 |
69.9285322 |
| Oriya |
PWD-OD&AO-ST |
--- |
--- |
| Oriya |
PWD-VI-EW |
62.4636839 |
85.2116548 |
| Oriya |
PWD-HI-EW |
--- |
--- |
| Oriya |
PWD-LM-EW |
72.1275426 |
72.1275426 |
| Oriya |
PWD-OD&AO-EW |
--- |
--- |
|
Subject |
Category |
Assistant Professor |
Jrf & Assistant Professor |
|---|---|---|---|
| Cutoff Percentile |
Cutoff Percentile |
||
| Tamil |
UNRESERVED |
99.3275316 |
99.8417722 |
| Tamil |
EWS |
97.5474684 |
--- |
| Tamil |
OBC(NCL) |
97.1123418 |
99.6521067 |
| Tamil |
SC |
94.0268987 |
98.1012658 |
| Tamil |
ST |
86.5901899 |
86.5901899 |
| Tamil |
PWD-VI-UR |
77.2323154 |
98.8924051 |
| Tamil |
PWD-HI-UR |
96.0572091 |
--- |
| Tamil |
PWD-LM-UR |
94.9748744 |
94.9748744 |
| Tamil |
PWD-OD&AO-UR |
--- |
--- |
| Tamil |
PWD-VI-OB |
68.8291139 |
98.6470816 |
| Tamil |
PWD-HI-OB |
--- |
--- |
| Tamil |
PWD-LM-OB |
86.5901899 |
86.5901899 |
| Tamil |
PWD-OD&AO-OB |
--- |
--- |
| Tamil |
PWD-VI-SC |
64.940085 |
77.2323154 |
| Tamil |
PWD-HI-SC |
73.0189409 |
--- |
| Tamil |
PWD-LM-SC |
91.5732509 |
91.5732509 |
| Tamil |
PWD-OD&AO-SC |
--- |
--- |
| Tamil |
PWD-VI-ST |
--- |
--- |
| Tamil |
PWD-HI-ST |
--- |
--- |
| Tamil |
PWD-LM-ST |
--- |
--- |
| Tamil |
PWD-OD&AO-ST |
--- |
--- |
| Tamil |
PWD-VI-EW |
--- |
--- |
| Tamil |
PWD-HI-EW |
--- |
--- |
| Tamil |
PWD-LM-EW |
--- |
--- |
| Tamil |
PWD-OD&AO-EW |
--- |
--- |
| English |
UNRESERVED |
97.7305099 |
99.7378997 |
| English |
EWS |
93.5086493 |
99.3020606 |
| English |
OBC(NCL) |
91.9447842 |
98.8991788 |
| English |
SC |
85.7373755 |
97.1562118 |
| English |
ST |
81.6049275 |
94.4117368 |
| English |
PWD-VI-UR |
81.6049275 |
99.159624 |
| English |
PWD-HI-UR |
67.8577669 |
91.9447842 |
| English |
PWD-LM-UR |
83.1775293 |
99.5587978 |
| English |
PWD-OD&AO-UR |
34.2128254 |
80.9182414 |
| English |
PWD-VI-OB |
63.6074447 |
95.4394548 |
| English |
PWD-HI-OB |
35.5711708 |
71.8735163 |
| English |
PWD-LM-OB |
72.2872619 |
98.0255111 |
| English |
PWD-OD&AO-OB |
--- |
69.3001614 |
| English |
PWD-VI-SC |
34.2128254 |
91.1147999 |
| English |
PWD-HI-SC |
--- |
--- |
| English |
PWD-LM-SC |
66.5321432 |
95.1239199 |
| English |
PWD-OD&AO-SC |
--- |
--- |
| English |
PWD-VI-ST |
60.355142 |
60.355142 |
| English |
PWD-HI-ST |
--- |
--- |
| English |
PWD-LM-ST |
60.355142 |
65.4901276 |
|
Subject |
Category |
Assistant Professor |
Jrf & Assistant Professor |
|---|---|---|---|
| Cutoff Percentile |
Cutoff Percentile |
||
| English |
PWD-OD&AO-ST |
--- |
--- |
| English |
PWD-VI-EW |
42.8496819 |
71.8735163 |
| English |
PWD-HI-EW |
43.1853923 |
87.6032665 |
| English |
PWD-LM-EW |
76.3629215 |
86.8993535 |
| English |
PWD-OD&AO-EW |
--- |
76.7448485 |
| Assamese |
UNRESERVED |
96.1206897 |
99.7126437 |
| Assamese |
EWS |
91.3793103 |
99.0936556 |
| Assamese |
OBC(NCL) |
89.8791541 |
99.0936556 |
| Assamese |
SC |
84.7432024 |
99.5468278 |
| Assamese |
ST |
82.9305136 |
98.1321839 |
| Assamese |
PWD-VI-UR |
53.6253776 |
91.3897281 |
| Assamese |
PWD-HI-UR |
--- |
--- |
| Assamese |
PWD-LM-UR |
78.8793103 |
78.8793103 |
| Assamese |
PWD-OD&AO-UR |
23.5632184 |
--- |
| Assamese |
PWD-VI-OB |
--- |
--- |
| Assamese |
PWD-HI-OB |
--- |
--- |
| Assamese |
PWD-LM-OB |
--- |
--- |
| Assamese |
PWD-OD&AO-OB |
--- |
--- |
| Assamese |
PWD-VI-SC |
--- |
--- |
| Assamese |
PWD-HI-SC |
--- |
--- |
| Assamese |
PWD-LM-SC |
--- |
--- |
| Assamese |
PWD-OD&AO-SC |
--- |
--- |
| Assamese |
PWD-VI-ST |
--- |
--- |
| Assamese |
PWD-HI-ST |
--- |
--- |
| Assamese |
PWD-LM-ST |
--- |
--- |
| Assamese |
PWD-OD&AO-ST |
--- |
--- |
| Assamese |
PWD-VI-EW |
--- |
53.6253776 |
| Assamese |
PWD-HI-EW |
--- |
--- |
| Assamese |
PWD-LM-EW |
--- |
--- |
| Assamese |
PWD-OD&AO-EW |
--- |
--- |
| Marathi |
UNRESERVED |
97.9368932 |
99.8740554 |
| Marathi |
EWS |
94.2961165 |
99.0291262 |
| Marathi |
OBC(NCL) |
94.2961165 |
99.6359223 |
| Marathi |
SC |
90.5541562 |
99.2443325 |
| Marathi |
ST |
83.2524272 |
97.9368932 |
| Marathi |
PWD-VI-UR |
85.4368932 |
--- |
| Marathi |
PWD-HI-UR |
78.3980583 |
78.3980583 |
| Marathi |
PWD-LM-UR |
93.324937 |
--- |
| Marathi |
PWD-OD&AO-UR |
--- |
--- |
| Marathi |
PWD-VI-OB |
34.1309824 |
--- |
| Marathi |
PWD-HI-OB |
--- |
--- |
| Marathi |
PWD-LM-OB |
65.0485437 |
--- |
| Marathi |
PWD-OD&AO-OB |
--- |
--- |
| Marathi |
PWD-VI-SC |
--- |
--- |
| Marathi |
PWD-HI-SC |
--- |
--- |
|
Subject |
Category |
Assistant Professor |
Jrf & Assistant Professor |
|---|---|---|---|
| Cutoff Percentile |
Cutoff Percentile |
||
| Marathi |
PWD-LM-SC |
81.4861461 |
--- |
| Marathi |
PWD-OD&AO-SC |
--- |
--- |
| Marathi |
PWD-VI-ST |
--- |
--- |
| Marathi |
PWD-HI-ST |
--- |
--- |
| Marathi |
PWD-LM-ST |
74.9370277 |
--- |
| Marathi |
PWD-OD&AO-ST |
--- |
--- |
| Marathi |
PWD-VI-EW |
--- |
--- |
| Marathi |
PWD-HI-EW |
--- |
--- |
| Marathi |
PWD-LM-EW |
--- |
--- |
| Marathi |
PWD-OD&AO-EW |
--- |
--- |
| Geography |
UNRESERVED |
97.4926666 |
99.6717419 |
| Geography |
EWS |
93.6499431 |
99.316766 |
| Geography |
OBC(NCL) |
92.7294315 |
99.0501467 |
| Geography |
SC |
85.9937035 |
97.1330967 |
| Geography |
ST |
82.1972343 |
95.6929466 |
| Geography |
PWD-VI-UR |
80.409275 |
96.9688504 |
| Geography |
PWD-HI-UR |
64.6325943 |
86.8626903 |
| Geography |
PWD-LM-UR |
85.4379103 |
95.6929466 |
| Geography |
PWD-OD&AO-UR |
60.1480654 |
95.9282023 |
| Geography |
PWD-VI-OB |
64.6325943 |
85.9937035 |
| Geography |
PWD-HI-OB |
40.3478139 |
85.4379103 |
| Geography |
PWD-LM-OB |
76.4981143 |
87.4539487 |
| Geography |
PWD-OD&AO-OB |
--- |
62.6833357 |
| Geography |
PWD-VI-SC |
54.6514876 |
54.6514876 |
| Geography |
PWD-HI-SC |
37.3725381 |
43.2532477 |
| Geography |
PWD-LM-SC |
73.9232367 |
87.4539487 |
| Geography |
PWD-OD&AO-SC |
--- |
--- |
| Geography |
PWD-VI-ST |
43.2532477 |
62.6833357 |
| Geography |
PWD-HI-ST |
46.1656656 |
46.1656656 |
| Geography |
PWD-LM-ST |
57.4661266 |
86.8626903 |
| Geography |
PWD-OD&AO-ST |
--- |
--- |
| Geography |
PWD-VI-EW |
57.4661266 |
57.4661266 |
| Geography |
PWD-HI-EW |
43.2532477 |
74.416818 |
| Geography |
PWD-LM-EW |
70.0866043 |
95.3415281 |
| Geography |
PWD-OD&AO-EW |
--- |
--- |
Commonly asked questions
Candidates can submit their UGC NET application form in an online. No other method is there to fill the form. Without it, candidates will not be able to sit in the examination.
Yes, the NTA UGC NET 2026 paper 1 exam consists of questions related to communication skills. It is a part of a general aptitude test that have the teaching and research topics in which reading comprehension, reasoning, and communication skills also asked.
The UGC NET June session exam will be conducted online in Computer-Based Test Mode. It will be held in two shifts. Shift 1 from 9 am to 12 pm and shift 2 from 3 pm to 6 pm.
UGC NET Cutoff FAQs 2026
Authority is expected to revise UGC NET syllabus as per NEP 2020. The notification was released for 2026. Syllabus of UGC NET is divided into two sections: Paper 1 and Paper 2. UGC NET Paper 1 syllabus is common for all candidates who are going to take UGC NET. However, UGC NET Paper 2 syllabus varies for different subjects. Paper 2 carries subject-specific questions in which candidates specialise.
The CSIR NET June session application form will be released at csirnet.nta.nic.in. Candidates are advised to read the instructions for payment carefully before paying the application fee and also read the eligibility criteria before applying for the exam.
As per the information bulletin, there is no end period for the validity of the qualifying certificate of Assistant Professor.
No. The NTA will release the UGC NET 2026 June session admit card for all exam dates few days prior to the exam date. Candidates will be able to download their UGC NET 2026 admit card by using their login credentials. The details mentioned on the UGC NET admit card are the name of the candidate, roll number, application number, exam date and time, exam centre address, etc.
Yes, the authority released the UGC NET June session application form 2026 on the official portal at ugcnet.nta.nic.in. The link was activated online and candidates can fill the form from the direct link provided here also on this page.
Open the official website of NTA, find the "UGC NET Cut Off" link, now select History and choose the session of that particular year. The UGC NET cut-off marks will be displayed to download.
Candidates can check below the important books that can be used for the preparation for UGC NET paper 2 Commerce and English.
Commerce: Some of the books are Trueman's UGC NET Commerce, CB Gupta's Business Organisation, etc.
English: Some of the books are Arihant UGC NET English Literature, History of English Literature by Edward Albert, etc.
Analysis is important for candidate in NTA NET exam. It helps in preparation, understand paper structure, difficulty level, topics asked or high weightage areas, expected cutoff. By analyzing mock tests and previous years papers students can prepare well.
The authority will release the UGC NET 2026 result at ugcnet.nta.nic.in. Candidates will be able to download their scorecard by using their login credentials. It contains the marks of both papers, post applied for, candidates' perssonal details, etc.
The UGC NET City Intimation Slip or City Slip is a document released by the NTA to inform candidates about the city where the exam center is located. Basically, it is not the admit card but provides advance information to help candidates make travel arrangements in advance.
The UGC NET 2026 expected cutoff may fall within the range of 216 to 160 for all subjects and categories. The NTA will release the UGC NET 2026 June session cutoff marks after the declaration of the result. Candidates who will meet or exceed the cutoff marks will qualify for further recruitment process.
The UGC NET 2026 Cut off for the June session will be released at ugcnet.nta.nic.in. It is the minimum qualifying marks required by the student to clear the exam. The Cutoff PDF will be released along with the result.
UGC NET Exam
Student Forum
Answered 4 weeks ago
The UGC NET result 2026 for the June session be released on the official portal at ugcnet.nta.nic.in. Candidates will be required their login credentials to download their result including the application number and date of birth.
S
Contributor-Level 7
Answered 2 months ago
No. Once the admit card is released, candidate will not be able to change the exam centre in any circumstances. The exam centre mentioned on the hall ticket is final. Also, the assigned exam centre is based on the choices of the candidate made during the application process and can not be modified l
I
Contributor-Level 6
Answered 2 months ago
No. A candidate will not receive the UGC NET City Intimation Slip by post. The authority will release the City slip on the official website at ugcnet.nta.nic.in. Candidates required their login credentials to download the city slip including the application number and date of birth.
V
Contributor-Level 7
Answered 2 months ago
Yes. It is important for a candidate to carry the UGC NET admit card to the examination centre. Without it, candidate will not be allowed to sit in the exam. It consists of the details like name of a candidate, photograph, shift, reporting time, exam day instructions, etc.
S
Contributor-Level 10
Answered 2 months ago
If in case candidate find any discrepancy in the UGC NET admit card for the June session then he or she must contact the NTA via helpline numbers 011-40759000 during the working hours or email them.
K
Contributor-Level 7
Answered 2 months ago
The UGC NET admit card for the June session 2026 will be released around four days prior to the examination date. It will be released on the official website at ugcnet.nta.nic.in.
N
Contributor-Level 6
Answered 2 months ago
Yes, IIT Hyderabad does accept UGC NET scores to decide admissions to the PhD courses. Several IIT Hyderabad departments also accept the GATE scores as well to decide the PhD admissions of candidates.
In addition to the aforementioned entrance exams, candidates are also required to fulfill the specif
S
Contributor-Level 10
Answered 2 months ago
Candidates can check below the methods to make corrections if required in the UGC NET application or registration form:
- Visit at ugcnet.nta.nic.in
- Login using the application number and password
- Click on the link/button available for the application form correction
- Read the instructions and click on the
M
Contributor-Level 7
Answered 2 months ago
The NTA released the UGC NET 2026 notification on April 29. Along with the notification, the application process also released. The last date to apply is May 23.
C
Contributor-Level 6
Answered 2 months ago
Yes, the National Testing Agency (NTA) conducts the UGC NET exam twice in a year in two sessions namely June and December session. Candidates can give the exam unlimited times. There is no limit in number of attempts. Two sessions increase the opportunity for a candidate to qualify the exam for JRF
S
Contributor-Level 6
Where will the UGC NET result 2026 for the June session be released?