Continuity and Differentiability
Get insights from 335 questions on Continuity and Differentiability, answered by students, alumni, and experts. You may also ask and answer any question you like about Continuity and Differentiability
Follow Ask QuestionQuestions
Discussions
Active Users
Followers
New answer posted
6 months agoContributor-Level 10
This is an Objective Answer Type Questions as classified in NCERT Exemplar
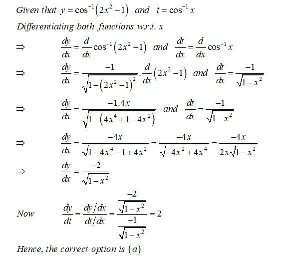
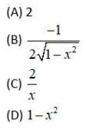
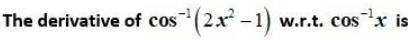
Sol:

New answer posted
6 months agoContributor-Level 10
This is an Objective Answer Type Questions as classified in NCERT Exemplar
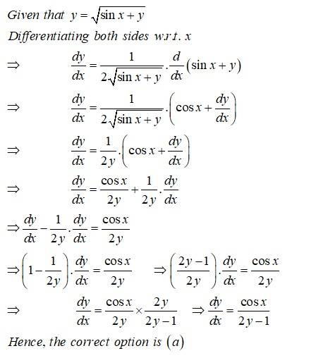
Sol:

New answer posted
6 months agoContributor-Level 10
This is an Objective Answer Type Questions as classified in NCERT Exemplar
Sol:
New answer posted
6 months agoContributor-Level 10
This is an Objective Answer Type Questions as classified in NCERT Exemplar
Sol:
New answer posted
6 months agoContributor-Level 10
This is an Objective Answer Type Questions as classified in NCERT Exemplar
Sol:
New answer posted
6 months agoContributor-Level 10
This is an Objective Answer Type Questions as classified in NCERT Exemplar
Sol:
New answer posted
6 months agoContributor-Level 10
This is an Objective Answer Type Questions as classified in NCERT Exemplar
Sol:
New answer posted
6 months agoContributor-Level 10
This is an Objective Answer Type Questions as classified in NCERT Exemplar
Sol:
New answer posted
6 months agoContributor-Level 10
This is an Objective Answer Type Questions as classified in NCERT Exemplar
Sol:
New answer posted
6 months agoContributor-Level 10
This is an Objective Answer Type Questions as classified in NCERT Exemplar
Sol:
Taking an Exam? Selecting a College?
Get authentic answers from experts, students and alumni that you won't find anywhere else
Sign Up on ShikshaOn Shiksha, get access to
- 66k Colleges
- 1.2k Exams
- 681k Reviews
- 1800k Answers

