JEE Advanced 2024 Exam Live Updates: Official Paper 1 & 2 Released; Check Exam Analysis and Expected Cutoff
IIT Madras has conducted the JEE Advanced 2024 exam today. The exam was held in two shifts across 229 exam cities in India and in 3 cities outside the country. Check exam day live updates here. Get JEE Advanced 2024 analysis, answer key and question paper solutions for JEE Advanced Paper 1 and Paper 2.
JEE Advanced 2024 Exam Live Updates: The JEE Advanced 2024 exam concluded on May 26. IIT Madras has uploaded official JEE Advanced 2024 question papers on the official website, jeeadv.ac.in and the same is given on this page. Paper 1 was held from 9 am to 12 noon and paper 2 from 2:30 pm to 5:30 pm. As per the initial reaction of the candidates, paper 1 was moderate. Maths was difficult, while physics and chemistry were moderate. Paper 2 was a bit tougher than Paper 1 with maths difficult, physics moderate and chemistry moderate. Each paper had three sections and each section had 17 questions. The sections were Maths, Physics and Chemistry. The JEE Advanced 2024 paper 2 analysis will be available soon.
JEE Advanced 2024 Answer Key and Question Paper Solution
Memory-based questions and their answer key and solutions are being provided by the experts for JEE Advanced 2024 paper 1 and paper 2. However, the official JEE Advanced 2024 answer key will be out on June 2 and the challenge facility will be open until June 3. The candidate response sheet will be also released on May 31. The JEE Advanced 2024 result will be out on June 9.
IIT Madras has released JEE Advanced 2024 official question papers:
| JEE Advanced Paper |
2024 Question Paper PDF |
|---|---|
| Paper 1 |
|
| Paper 2 |
JEE Advanced 2024 Paper Analysis and Student Reaction
Check JEE Advanced 2024 exam analysis for paper 1 and paper 2 below.
JEE Advanced 2024 Paper 2 Student Reaction: In the JEE Advanced 2024 paper 2, the difficulty level was higher compared to paper 1. There were 17 questions each in mathematics, physics, and chemistry, totalling 51 questions in paper 2. The total marks available were 180. Mathematics was notably tough, while chemistry maintained a moderate level of difficulty, and physics ranged from moderate to difficult.
JEE Advanced 2024 Paper 1 Student Reaction: There are 17 questions in mathematics, 17 questions in physics, and 17 questions in chemistry, making a total of 51 questions in paper 1. The total marks available are 180, with an overall difficulty level of moderate. Mathematics is considered difficult, while physics ranges from moderate to difficult, and chemistry is moderate in difficulty.
JEE Advanced 2024 Qualifying Marks
JEE Advanced 2024 cutoff has been released by IIT Madras. However, marks can change and the final cutoff / minimum marks and percentage will be published with the JEE Advanced 2024 result.
| Rank List |
Minimum percentage of marks in each subject* |
Minimum percentage of aggregate marks* |
|---|---|---|
| Common rank list (CRL) |
10.0 |
35.0 |
| GEN-EWS rank list |
9.0 |
31.5 |
| OBC-NCL rank list |
9.0 |
31.5 |
| SC rank list |
5.0 |
17.5 |
| ST rank list |
5.0 |
17.5 |
| Common-PwD rank list (CRL-PwD) |
5.0 |
17.5 |
| GEN-EWS-PwD rank list |
5.0 |
17.5 |
| OBC-NCL-PwD rank list |
5.0 |
17.5 |
| SC-PwD rank list |
5.0 |
17.5 |
| ST-PwD rank list |
5.0 |
17.5 |
| Preparatory course rank lists |
2.5 |
8.75 |
LIVE UPDATE
Catch JEE Advanced 2024 Exam Day Live Updates Below:
- 11:57 PM IST• 27 May 2024
JEE Advanced 2024 exam live updates: What after exam?
Now that the JEE Advanced 2024 exam is over, candidates will be able to check the JEE Advanced 2024 answer key on June 2. The response sheet will be out on May 31 and the result will be out on June 9. JoSAA counselling will start on June 10, tentatively.
- 11:34 PM IST• 27 May 2024
JEE Advanced Response Sheet Release Date
IIT Madras will release JEE Advanced 2024 response sheet on May 31. Candidates will be able to access the response sheet of JEE Advanced 2024 in the candidate login portal at 5 PM.
- 10:44 PM IST• 27 May 2024
JEE Advanced 2024 answer key by IIT Madras
IIT Madras will release the JEE Advanced 2024 answer key on June 2.
- 10:04 PM IST• 27 May 2024
How to calculate scores using the JEE Advanced answer key 2024
To check scores using the JEE Advanced answer key, candidates have to follow the marking scheme of the exam. The marking scheme of the exam is displayed on the JEE Advanced online question paper.
The broad types of questions that are asked in JEE Advanced are:
- Single correct
- Multiple correct
- Numerical type
- Paragraph type
- Matrix match type
- Question stem (Paragraph type question with answer in numerical form) - new in 2021
There are questions of 1 mark, 2 marks, 3 marks and 4 marks. There are also questions with negative markings of -1, -2, etc. Candidates must read the instructions on the question paper properly regarding the marking scheme.
- 9:23 PM IST• 27 May 2024
JEE Advanced 2024 Registration Numbers Break Past 11 Year Record; Over 1.91 Lakh Apply
JEE Advanced 2024 has witnessed more than 1.91 lakh registrations. Last year saw 1.89 lakh registrations. Read more.
- 8:42 PM IST• 27 May 2024
JEE Advanced Registered v/s Appeared v/s Qualified Candidates Over Past 11 Years
JEE Advanced Year
Number of registered candidates
Number of candidates appeared
Number of candidates qualified
Percentage of qualified candidates
2013
126,749
115,971
20,834
17.96
2014
126,995
119,580
27,152
22.70
2015
124,741
117,238
26,354
22.47
2016
155,797
147,678
36,566
24.76
2017
171,814
159,540
51,040
31.99
2018
165,656
155,158
31,988
20.62
2019
174,432
161,319
38,705
23.99
2020
160,838
150,838
43,204
28.64
2021
151,193
141,699
41,862
29.54
2022
160,038
155,538
40,712
26.17
2023
189,744
180,372
43,773
24.26
- 8:19 PM IST• 27 May 2024
JEE Advanced Marks vs Ranks 2024
Marks out of 360 ( for CRL) Ranks 190+ 1-500 190-170 501-1000 170-155 1001-1500 154-145 1501-2000 146-135 2001-2500 136-130 2501-3000 129-125 3001-3500 124-120 3501-4000 119-115 4001-4500 114-110 4501-5000 - 7:15 PM IST• 27 May 2024
Is it compulsory to register for JoSAA 2024?
Yes, All JEE Advanced 2024 qualified candidates MUST register with Joint Seat Allocation Authority (JoSAA) 2024 and fill in all possible course choices in order of preference to be eligible for admission to IITs.
- 6:37 PM IST• 27 May 2024
JEE Advanced 2024 tie-breaking criteria
If the JEE (Advanced) 2024 aggregate marks scored by two or more candidates are the same, then the following tie-break policy will be used for awarding ranks:
- Step 1: Candidates having higher positive marks will be awarded higher rank. If the tie breaking criterion at Step 1 fails to break the tie, then the following criterion at Step 2 will be followed.
- Step 2: Higher rank will be assigned to the candidate who has obtained higher marks in Mathematics. If this does not break the tie, higher rank will be assigned to the candidate who has obtained higher marks in Physics. If there is a tie even after this, candidates will be assigned the same rank.
- 6:16 PM IST• 27 May 2024
JEE Advanced 2024: IIT Admission Criteria
The Candidates must satisfy at least one of the following two criteria with Physics, Chemistry and Mathematics as compulsory subjects in the year of first appearance in the Class XII (or equivalent examination):
Must have passed class XII (or equivalent) Board examination with a minimum of five subjects and secured at least 75% aggregate marks. The aggregate marks for SC, ST and PwD candidates should be at least 65%.
or
Must have passed class XII (or equivalent) Board examination with a minimum of five subjects and be within the category-wise top 20 percentile of successful candidates in their respective Class XII (or equivalent) board examination.
- 5:31 PM IST• 27 May 2024
JEE Advanced answer key and solutions by Aakash and Motion Education
JEE Advanced 2024 paper 1 answer key and solution by Motion Education:
Subject
Answer key
Maths
Physics
Chemistry
JEE Advanced 2024 paper 2 answer key and solution by Motion Education:
Subject
Answer key
Maths
Physics
Chemistry
Candidates can download the answer key and JEE Advanced 2024 question paper solution by Aakash from the table below:
JEE Advanced 2024 Paper
JEE Advanced 2024 Anwer key and Solution
Paper 1
Paper 2
- 4:58 PM IST• 27 May 2024
JEE Advanced 2024 date from last year
Number of candidates registered
1,89,487 Number of candidates appeared
1,80,372 Number of candidates passed
43,769 - 4:39 PM IST• 27 May 2024
JEE Advanced 2024 answer key and question paper solution by FIITJEE out; check here
JEE Advanced 2024 paper
JEE Advanced 2024 Answer key and Solution
Paper 1
Paper 2
- 4:39 PM IST• 27 May 2024
JEE Advanced 2024: Courses on offer via JEE Advanced
- BTech in various Engineering disciplines
- BSc programs in Science
- BArch in Architecture
- Dual Degree programs like B.Tech-MTech and BS-MS
- Integrated MTech and Integrated MSc programs
- 4:27 PM IST• 27 May 2024
JEE Advanced 2024 answer key and question paper solution by Allen Kota out; check here
JEE Advanced 2024 paper 1 answer key and solution by Allen Kota:
Subject
Answer key
Solution
Maths
Physics
Chemistry
Download here
JEE Advanced 2024 paper 2 answer key and solution by Allen Kota:
Subject
Answer key
Solution Maths
Physics
Download here
Chemistry
Download here
- 4:11 PM IST• 27 May 2024
JEE Advanced 2024 counselling: JoSAA
The JoSAA 2024 counselling registration is expected to start on June 10.
- 3:53 PM IST• 27 May 2024
JEE Advanced 2024 admit card is to be used for AAT exam
Note that IIT Madras will not issue any separate admit card for AAT exam. Candidates have to use their JEE Advanced 2024 admit card to appear in the AAT exam.
- 3:26 PM IST• 27 May 2024
JEE Advanced 2024 Live Updates: Maharashtra Board Announces Top 20 Percentile Cutoff for IIT Admission
The Maharashtra State Board of Higher Secondary Education, Pune, has recently announced the top 20 percentile cut-off marks for 2024. General candidates and those from the general Economically Weaker Sections (EWS) are required to have a minimum of 378 marks, while for OBC Non-Creamy Layer (NCL) candidates, the threshold is 383. For SC candidates, it stands at 364, and for ST candidates, it is 366. This marks a significant increase compared to the previous year, where the cut-offs were 348 for general and EWS candidates, 352 for OBC NCL, 331 for SC, and 323 for ST. To be eligible for IIT admission candidates must have either 75% marks in class 12 or must be among the candidates in the top 20 percentile group.
Read More: JEE Advanced 2024: Maharashtra Board Announces Top 20 Percentile Cutoff for IIT Admission
- 3:03 PM IST• 27 May 2024
JEE Advanced 2024 Live Updates: What if a question is dropped?
If a question or questions need to be dropped in JEE Advanced, all candidates will receive full marks for those question(s).
- 2:35 PM IST• 27 May 2024
JEE Advanced 2024: Seats in IITs
While the number of candidates registering for the JEE Advanced has increased, the total number of seats up for admission in IITs this year is yet unclear. Some IITs have started a few new courses. The total count of seats and the seat matrix are yet to be finalised. Last year the number of seats was 17,385.
- 2:12 PM IST• 27 May 2024
JEE Advanced Rank Needed for IIT Delhi CSE Admission
Year
Cutoff Rank for IIT Delhi CSE Branch
(Round 1)
Cutoff Rank for IIT Delhi CSE Branch
(Round 2)
Cutoff Rank for IIT Delhi CSE Branch
(Round 3)
Cutoff Rank for IIT Delhi CSE Branch
(Round 4)
Cutoff Rank for IIT Delhi CSE Branch
(Round 5)
Cutoff Rank for IIT Delhi CSE Branch
(Round 6)
2023
115
118
118
118
118
118
2022
102
102
102
102
102
102
2021
99
100
100
100
100
100
2020
104
105
105
105
105
105
2019
93
93
93
93
93
93
2018
100
100
100
100
100
100
2017
103
104
104
104
104
104
2016
111
115
115
115
115
115
- 1:45 PM IST• 27 May 2024
JEE Advanced 2024 live: Number of registrations throughout the years
- 1:41 PM IST• 27 May 2024
JEE Advanced 2024 Answer Key by Motion Education Released; Check Here
JEE Advanced 2024 paper 1 answer key and solution by Motion Education:
Subject
Answer key
Maths
Physics
Chemistry
JEE Advanced 2024 paper 2 answer key and solution by Motion Education:
Subject
Answer key
Maths
Physics
Chemistry
- 1:21 PM IST• 27 May 2024
JEE Advanced Rank Needed for IIT Bombay CSE Admission
Year
Cutoff Rank for IIT Bombay CSE Branch
(Round 1)
Cutoff Rank for IIT Bombay CSE Branch
(Round 2)
Cutoff Rank for IIT Bombay CSE Branch
(Round 3)
Cutoff Rank for IIT Bombay CSE Branch
(Round 4)
Cutoff Rank for IIT Bombay CSE Branch
(Round 5)
Cutoff Rank for IIT Bombay CSE Branch
(Round 6)
2023
66
67
67
67
67
67
2022
60
60
60
60
60
60
2021
66
67
67
67
67
67
2020
63
66
66
66
66
66
2019
63
63
63
63
63
63
2018
59
59
59
59
59
59
2017
62
62
62
62
62
62
2016
60
60
60
60
60
60
- 1:13 PM IST• 27 May 2024
JEE Advanced 2024 answer key on June 2: How to challenge?
- Visit the JEE Advanced official website
- Login using JEE Advanced application number and password
- Click on the link to challenge the answer key
- Mark the number of questions whose answer is to be challenged
- Upload the documents in support of objections and pay fees (if applicable)
- Click on submit button to challenge
- 12:54 PM IST• 27 May 2024
How was the JEE Advanced 2024 exam?
The JEE Advanced 2024 exam was moderate in difficulty level. candidates found the paper not as tough as compared to the reputation that it holds. Candidates could complete the paper on time and they found no tricky questions in the exam.
- 12:37 PM IST• 27 May 2024
JEE Advanced 2024 candidate response sheet on May 31
Candidates will be able to download the JEE Advanced 2024 response sheet from jeeadv.ac.in on May 31. The response sheet will have the answers of the candidates as marked by them on the exam day.
- 12:29 PM IST• 27 May 2024
JEE Advanced 2024 answer key by Aakash Institute
JEE Advanced 2024 Paper
JEE Advanced 2024 Anwer key and Solution
Paper 1
Paper 2
- 12:01 PM IST• 27 May 2024
JEE Advanced exam pattern 2024
The JEE Advanced 2024 exam pattern was the same as last year. Check below:
JEE Advanced 2024 paper 1 pattern
- Total Marks of Paper 1 was 180 & Duration: 3 hrs
- The Paper had (51) questions with 17 questions in each subject.
- The Paper-1 had (03) three parts- Physics, Chemistry & Mathematics.
- Max. Marks for each Part was 60.
- In each part there were Four sections:
- Sec-I (Max. marks-12)
- Sec-II (Max. Marks-12)
- Sec-III (Max. marks-24)
- Sec-IV (Max. marks-12)
- Sec-I had (04) Four Questions with four options in which only ONE option was correct. Marking scheme in this section:
- Full marks: +3 If only the correct option is chosen
- Zero Marks:: 0 If none of the options are chosen
- Negative Marks: -1 In all other cases
- Sec-II had (03) Three questions with four options in which ONE OR MORE THAN ONE option(s) were correct. Marking scheme in this section:
- Full marks: +4 If only (all) the correct options are chosen
- Partial Marks: +3 If all the four options are correct but ONLY three correct options are chosen
- Partial Marks: +2 If three or more options are correct but only two correct options are chosen
- Partial Marks: +1 If two or more options are correct but only one correct option is chosen
- Zero Marks:: 0 If none of the options are chosen
- Negative Marks: -2 In all other cases
- Sec-III had (06) Six questions of Numerical Based (Non-Negative Integer Type). Marking scheme in this section:
- Full marks: +4 for the correct answer
- Zero Marks: 0 in all other cases
- Sec-IV had (04) Four questions with each question of Match List type i.e. Match List-I to List-II. List-I had 4 questions to be matched to List-II which had 5 options. One or more than one options were correct. Marking scheme in this section:
- Full marks: +3 in case all options are correct,
- Zero Marks: 0 if none of the options are chosen
- Negative Marks: -1 In all other cases
JEE Advanced 2024 paper 2 pattern
- Total Marks of Paper 2 was 180 & Duration: 3 hrs.
- The Paper had (51) questions with 17 questions in each subject.
- Total no. of questions in Paper-2 were 51 .
- Total Marks of Paper-2 was 180 which is same as last year.
- The Paper-2 had (03) three parts- Physics, Chemistry & Mathematics.
- Max. Marks for each Part was 60.
- In each part there were Four sections:
- Sec-I (Max. marks-12)
- Sec-II (Max. Marks-12)
- Sec-III (Max. marks-24)
- Sec-IV (Max. marks-12)
- Sec-I had (04) Four Questions with four options in which only ONE option was correct. Marking scheme in this section:
- Full marks: +3 If only the correct option is chosen
- Zero Marks:: 0 If none of the options are chosen
- Negative Marks: -1 In all other cases
- Sec-II had (03) Four questions with four options in which ONE OR MORE THAN ONE option(s) were correct. Marking scheme in this section:
- Full marks: +4 If only (all) the correct options are chosen
- Partial Marks: +3 If all the four options are correct but ONLY three correct options are chosen
- Partial Marks: +2 If three or more options are correct but only two correct options are chosen
- Partial Marks: +1 If two or more options are correct but only one correct option is chosen
- Zero Marks:: 0 If none of the options are chosen
- Negative Marks: -2 In all other cases
- Sec-III had (06) Six questions of Numerical Based (Non-Negative Integer Type). Marking scheme in this section:
- Full marks: +4 for the correct answer
- Zero Marks: 0 in all other cases
- Sec-IV had (04) Four questions based on Two Paragraphs with (02) Two questions in each paragraph (Numerical based Decimal Type with answer correct to 2 decimal places). Marking scheme in this section:
- Full marks: +3 for the correct answer.
-
- Zero Marks:: 0 in all other cases.
- 11:40 AM IST• 27 May 2024
JEE Advanced 2024 official answer key on June 2
IIT Madras will release the JEE Advanced 2024 official answer key on June 2. The official answer key will be open for challenge until June 3. The candidate response sheet will be uploaded on May 31.
- 11:29 AM IST• 27 May 2024
What is JEE Advanced AAT 2024?
The Architecture Aptitude Test (AAT) is administered for aspiring candidates seeking admission to the BArch programme at IIT Kharagpur, IIT Varanasi, and IIT Roorkee. A crucial requirement for AAT eligibility is the successful completion of the JEE Advanced exam. All candidates need to understand that admission to undergraduate architecture courses is not solely determined by AAT rank or score, but rather by the candidate's rank in JEE Advanced.
- 11:11 AM IST• 27 May 2024
JEE Advanced 2024 important dates to note after the exam
JEE Advanced 2024 Day, Date and Time (IST) JEE (Advanced) 2024 Examination Sunday, May 26, 2024
Paper 1: 09:00-12:00 IST
Paper 2: 14:30-17:30 ISTCopy of candidate responses to be available on the JEE (Advanced) 2024 website Friday, May 31, 2024 (17:00 IST) Online display of provisional answer keys Sunday, June 02, 2024 (10:00 IST) Feedback and comments on provisional answer keys Sunday, June 02, 2024 (10:00 IST)
to
Monday, June 03, 2024 (17:00 IST)Online declaration of final answer key and Results of JEE (Advanced) 2024 Sunday, June 09, 2024 (10:00 IST) Online registration for Architecture Aptitude Test (AAT) 2024 Sunday, June 09, 2024 (10:00 IST)
to
Monday, June 10, 2024 (17:00 IST)Tentative Start of Joint Seat Allocation (JoSAA) 2024 Process Monday, June 10, 2024 (17:00 IST) Architecture Aptitude Test (AAT) 2024 Wednesday, June 12, 2024
(09:00 IST to 12:00 IST)Declaration of results of AAT 2024 Friday, June 14, 2024 (17:00 IST) - 11:01 AM IST• 27 May 2024
JEE Advanced 2024 Counselling: JoSAA Registration
JoSAA is responsible for the joint seat allocation process for admissions to 23 IITs, 31 NITs, 25 IIITs and 28 Other GFTIs. The JoSAA 2024 dates and details will be released after the JEE Advanced result is announced. JoSAA registration is expected to start on June 10.
- 10:49 AM IST• 27 May 2024
JEE Advanced 2024 student reaction - Video
- 10:28 AM IST• 27 May 2024
JEE Advanced Marks vs Ranks 2024
Marks out of 360 ( for CRL) Ranks 190+ 1-500 190-170 501-1000 170-155 1001-1500 154-145 1501-2000 146-135 2001-2500 136-130 2501-3000 129-125 3001-3500 124-120 3501-4000 119-115 4001-4500 114-110 4501-5000 - 10:11 AM IST• 27 May 2024
JEE Advanced exam live: List of 10 engineering colleges
- IIT Madras
- IIT Delhi
- IIT Bombay
- IIT Kanpur
- IIT Roorkee
- IIT Kharagpur
- IIT Guwahati
- IIT Hyderabad
- NIT Tiruchirappalli
- Jadavpur University, Kolkata
- 9:49 AM IST• 27 May 2024
JEE Advanced 2024 result date
JEE Advanced 2024 result will be out on June 9.
- 9:27 AM IST• 27 May 2024
JEE Advanced 2024 paper 1: Cutoff expected between 30 to 40 percent marks
As per the experts, the cutoff can be between 30 to 40 percent marks.
- 9:06 AM IST• 27 May 2024
JEE Advanced 2024 paper 1 - topics asked
- Chemistry was a not balanced as more weightages given to Organic Chemistry. Inorganic Chemistry had few questions which were directly from NCERT. In Physical Chemistry questions covered chapters of Chemical Kinetics, Chemical Equilibrium, Atomic Structure& Thermodynamics. In Organic Chemistry, questions mostly asked from Amines, Polymers, Biomolecules, Oxygen containing Compounds, some named reactions were also asked. Mixed concepts questions were asked. This section was reported Moderate as per students.
- Physics. More weightage was given to chapters like Kinematics, Rotational Motion, Kinetic Theory of Gases, Modern Physics, Capacitors, Current Electricity, Optics, Electrostatics, Electromagnetic Induction. Overall Physics was reported Tough as compared to the other two subjects as per students. This was a Balanced Section as per students.
- Mathematics was Easy to Moderate as per students. There were questions from Functions, Limits, Definite Integrals, Matrices, Statistics & Probability. Some good questions were asked from chapters of Permutation & Combination, Probability, Complex Numbers, 3-D Geometry, Circles and Ellipse. Some questions were reported Lengthy.
- 8:25 AM IST• 27 May 2024
JEE Advanced 2024 paper 2 - topics asked
- Chemistry was a Tricky as per students. Equal weightages given to Organic, Inorganic & Physical Chemistry. Inorganic Chemistry had few questions of p-block, Chemical bonding, Coordination compounds which were directly from NCERT. In Physical Chemistry questions covered Electrochemistry, Ionic & Chemical Equilibrium, Electrochemistry & Surface Chemistry. In Organic Chemistry, questions mostly asked from Aldehyde & Ketones, Polymers, Biomolecules, Mixed concepts questions were asked. Qualitative Analysis was asked in Comprehension based type questions. This section was reported Moderate as per students.
- Physics. Questions were asked from Chapters of Waves & Sound, Ray &Wave Optics, Fluids, EM Waves, Thermodynamics, Modern Physics had more weightage, Kinematics, Gravitation & Electrostatics. Overall, Physics was Moderately Tough as per students. Students felt this section was not balanced. Some questions had tricky & Lengthy calculations.
- Mathematics was Toughest as per students. There were questions from Functions, Limits, Application of Derivatives, Definite Integrals, Area under Curve, Inverse Trigonometric functions, Vectors, 3D Geometry, Circle, Parabola, Quadratic Equations, Permutation & Combination and Probability. Students felt this section was the Toughest.
- 8:23 AM IST• 27 May 2024
JEE Advanced 2024 answer key and question paper solution by Aakash is OUT, check here
JEE Advanced 2024 Paper
JEE Advanced 2024 Anwer key and Solution
Paper 1
Paper 2
- 8:16 AM IST• 27 May 2024
JEE Advanced 2024 live updates: Check some memory based questions asked
Q:
Q:
Q:
- 7:48 AM IST• 27 May 2024
JEE Advanced 2024 Live: How will the result be calculated?
The marks obtained by a candidate in Physics in JEE Advanced 2024 will be equal to the marks scored in the Physics part of Paper 1 plus the marks scored in the Physics part of Paper 2. Marks obtained in Chemistry and Mathematics will be calculated in the same way. The aggregate marks obtained by a candidate in JEE (Advanced) 2024 will be the sum of the marks awarded to the candidate in Physics, Chemistry and Mathematics. A candidate is said to have qualified in JEE (Advanced) if they secure the minimum percentage of marks in each subject and in the aggregate, as per the respective category.
- 7:00 AM IST• 27 May 2024
JEE Advanced 2024 Exam Ends; Students Say Exam Moderate, No Surprise Elements
The JEE Advanced 2024 exam was not as tough as hyped and was very doable. Maths was moderate and paper 2 maths easier than paper 1. Candidates could be completed in time, there were no issues to manage the time in the exam. Organic chemistry was a bit tough and the JEE Advanced 2024 cutoff is expected to go down. Read More.
- 6:27 AM IST• 27 May 2024
45 BTech Seats Were Unoccupied last Year
Last year, 17,340 candidates were allotted seats in the 23 Indian Institute of Technology (IITs) after six rounds of the Joint Seat Allocation Authority (JoSAA) counselling process, including 3,422 female candidates. The total number of available seats in IITs was 17,385, leaving 45 seats vacant, which was the first in the past five years.
- 5:43 AM IST• 27 May 2024
JEE Advanced Registered v/s Appeared v/s Qualified Candidates Over Past 11 Years
JEE Advanced Year
Number of registered candidates
Number of candidates appeared
Number of candidates qualified
Percentage of qualified candidates
2013
126,749
115,971
20,834
17.96
2014
126,995
119,580
27,152
22.70
2015
124,741
117,238
26,354
22.47
2016
155,797
147,678
36,566
24.76
2017
171,814
159,540
51,040
31.99
2018
165,656
155,158
31,988
20.62
2019
174,432
161,319
38,705
23.99
2020
160,838
150,838
43,204
28.64
2021
151,193
141,699
41,862
29.54
2022
160,038
155,538
40,712
26.17
2023
189,744
180,372
43,773
24.26
- 4:16 AM IST• 27 May 2024
JEE Advanced 2024 Registration Numbers Break Past 11 Year Record; Over 1.91 Lakh Apply
JEE Advanced 2024 has witnessed more than 1.91 lakh registrations. Last year saw 1.89 lakh registrations. Read more.
- 3:42 AM IST• 27 May 2024
Understanding the Top 20 Percentile Cutoff Criteria for IIT Admissions
To qualify for admission to IITs, candidates must meet one of two criteria: either score a minimum of 75% in their 10+2 exams or be ranked within the top 20 percentile of successful candidates in their respective board examination categories.
To fulfill the top 20 percentile criterion, candidates need to have passed their Class XII (or equivalent) board exam with at least five subjects and be among the top 20 percentile in their board exam. This calculation considers all mandatory subjects within a single academic year. Candidates aiming to improve their board exam performance can either strive for a 75% aggregate (65% for SC, ST, and PwD) in one or more subjects after improvement or aim to rank within the top 20 percentile by improving grades in all subjects.
The subjects considered for calculating aggregate marks and meeting the top 20 percentile criterion include Physics, Chemistry, Mathematics, a language (the one with the higher marks if multiple languages are taken), and any other subject (the one with the highest marks).
- 3:13 AM IST• 27 May 2024
JEE Advanced 2024: Maharashtra Board Announces Top 20 Percentile Cutoff for IIT Admission
The Maharashtra State Board of Higher Secondary Education, Pune, has recently announced the top 20 percentile cut-off marks for 2024. General candidates and those from the general Economically Weaker Sections (EWS) are required to have a minimum of 378 marks, while for OBC Non-Creamy Layer (NCL) candidates, the threshold is 383. For SC candidates, it stands at 364, and for ST candidates, it is 366. This marks a significant increase compared to the previous year, where the cut-offs were 348 for general and EWS candidates, 352 for OBC NCL, 331 for SC, and 323 for ST. To be eligible for IIT admission candidates must have either 75% marks in class 12 or must be among the candidates in the top 20 percentile group. Read More.
- 2:37 AM IST• 27 May 2024
JEE Advanced 2024 qualifying marks from last year
Check the minimum marks needed to qualify below:
Rank List Minimum Marks in Each Subject Minimum Aggregate Marks Common Rank List (CRL) 8 86 OBC-NCL rank list 7 77 GEN-EWS rank list 7 77 SC rank list 4 43 ST rank list 4 43 Common-PwD rank list (CRL-PwD) 4 43 OBC-NCL-PwD rank list 4 43 GEN-EWS-PwD rank list 4 43 SC-PwD rank list 4 43 ST-PwD rank list 4 43 Preparatory course (PC) rank lists 2 22 Check the minimum percentage needed to qualify below:
Rank List
Minimum percentage of marks in each subject
Minimum percentage of aggregate marks
Common rank list (CRL)
6.83%
23.89%
GEN-EWS rank list
6.15%
21.50%
OBC-NCL rank list
6.15% 21.50% SC rank list
3.42%
11.95%
ST rank list
3.42%
11.95%
Common-PwD rank list (CRL-PwD)
3.42%
11.95%
GEN-EWS-PwD rank list
3.42%
11.95%
OBC-NCL-PwD rank list
3.42%
11.95%
SC-PwD rank list
3.42%
11.95%
ST-PwD rank list
3.42%
11.95%
Preparatory course rank lists
1.71%
5.98% - 2:09 AM IST• 27 May 2024
JEE Advanced 2024 response sheet on May 31
The JEE Advanced response sheet contains the answers marked by the candidates in the exam. Comparing the JEE Advanced answer key and response sheets, candidates can check the number of correct and incorrect answers they have marked in the CBT exam. The response sheet will be released under the respective logins of the candidates on May 31.
- 1:52 AM IST• 27 May 2024
How to calculate scores using the JEE Advanced answer key 2024
o check scores using the JEE Advanced answer key, candidates have to follow the marking scheme of the exam. The marking scheme of the exam is displayed on the JEE Advanced online question paper.
The broad types of questions that are asked in JEE Advanced are:
- Single correct
- Multiple correct
- Numerical type
- Paragraph type
- Matrix match type
- Question stem (Paragraph type question with answer in numerical form) - new in 2021
There are questions of 1 mark, 2 marks, 3 marks and 4 marks. There are also questions with negative markings of -1, -2, etc. Candidates must read the instructions on the question paper properly regarding the marking scheme.
- 1:34 AM IST• 27 May 2024
How to challenge JEE Advanced 2024 answer key?
- Visit the JEE Advanced official website
- Login using JEE Advanced application number and password
- Click on the link to challenge the answer key
- Mark the number of questions whose answer is to be challenged
- Upload the documents in support of objections and pay fees (if applicable)
- Click on submit button to challenge
- 1:25 AM IST• 27 May 2024
JEE Advanced 2024: Official answer key on June 2
IIT Madras will release the JEE Advanced 2024 official answer key on June 2.
- 1:11 AM IST• 27 May 2024
JEE Advanced 2024: Exam pattern for paper 2
- Questions with four options in which only ONE option was correct
- Questions with four options in which ONE OR MORE THAN ONE option(s) were correct
- Questions of Numerical Based (Non-Negative Integer Type)
- Question of paragraph types with integer type answers
- 12:57 AM IST• 27 May 2024
JEE Advanced 2024: Exam pattern for paper 1
- Questions with four options in which only ONE option was correct
- Questions with four options in which ONE OR MORE THAN ONE option(s) were correct
- Questions of Numerical Based (Non-Negative Integer Type)
- Question of Match List type i.e. Match List-I to List-II
- 12:48 AM IST• 27 May 2024
IIT Madras releases JEE Advanced 2024 official question papers - Download here
JEE Advanced Paper
2024 Question Paper PDF
Paper 1
Paper 2
- 12:43 AM IST• 27 May 2024
JEE Advanced 2024 paper 2 memory based questions
Q:
- 12:35 AM IST• 27 May 2024
JEE Advanced 2024 paper 1 analysis
- Total Marks of Paper 1 was 180 & Duration: 3 hrs
- The Paper had (51) questions with 17 questions in each subject.
- The Paper-1 had (03) three parts- Physics, Chemistry & Mathematics.
- Max. Marks for each Part was 60.
- In each part there were Four sections:
- Sec-I (Max. marks-12)
- Sec-II (Max. Marks-12)
- Sec-III (Max. marks-24)
- Sec-IV (Max. marks-12)
- Sec-I had (04) Four Questions with four options in which only ONE option was correct. Marking scheme in this section:
- Full marks: +3 If only the correct option is chosen
- Zero Marks:: 0 If none of the options are chosen
- Negative Marks: -1 In all other cases
- Sec-II had (03) Three questions with four options in which ONE OR MORE THAN ONE option(s) were correct. Marking scheme in this section:
- Full marks: +4 If only (all) the correct options are chosen
- Partial Marks: +3 If all the four options are correct but ONLY three correct options are chosen
- Partial Marks: +2 If three or more options are correct but only two correct options are chosen
- Partial Marks: +1 If two or more options are correct but only one correct option is chosen
- Zero Marks:: 0 If none of the options are chosen
- Negative Marks: -2 In all other cases
- Sec-III had (06) Six questions of Numerical Based (Non-Negative Integer Type). Marking scheme in this section:
- Full marks: +4 for the correct answer
- Zero Marks: 0 in all other cases
- Sec-IV had (04) Four questions with each question of Match List type i.e. Match List-I to List-II. List-I had 4 questions to be matched to List-II which had 5 options. One or more than one options were correct. Marking scheme in this section:
- Full marks: +3 in case all options are correct,
- Zero Marks: 0 if none of the options are chosen
- Negative Marks: -1 In all other cases
Paper-1: Immediate reaction of students: Students found the overall level of paper Moderate to Difficult level but not easy. Students have reported Maths was Easy to Moderate, Chemistry was Moderate, but Physics was relatively difficult.
- Chemistry was a not balanced as more weightages given to Organic Chemistry. Inorganic Chemistry had few questions which were directly from NCERT. In Physical Chemistry questions covered chapters of Chemical Kinetics, Chemical Equilibrium, Atomic Structure& Thermodynamics. In Organic Chemistry, questions mostly asked from Amines, Polymers, Biomolecules, Oxygen containing Compounds, some named reactions were also asked. Mixed concepts questions were asked. This section was reported Moderate as per students.
- Physics. More weightage was given to chapters like Kinematics, Rotational Motion, Kinetic Theory of Gases, Modern Physics, Capacitors, Current Electricity, Optics, Electrostatics, Electromagnetic Induction. Overall Physics was reported Tough as compared to the other two subjects as per students. This was a Balanced Section as per students.
- Mathematics was Easy to Moderate as per students. There were questions from Functions, Limits, Definite Integrals, Matrices, Statistics & Probability. Some good questions were asked from chapters of Permutation & Combination, Probability, Complex Numbers, 3-D Geometry, Circles and Ellipse. Some questions were reported Lengthy.
No mistakes reported till now as the complete paper is yet to be analysed. As the test was Computer-based students had the option to Clear Response to change any option, they could mark it for Review, Save and next to proceed further. Scribble Pads were given to students during the exam for rough work.
- 12:22 AM IST• 27 May 2024
JEE Advanced 2024 paper 2 analysis
- Total Marks of Paper 2 was 180 & Duration: 3 hrs.
- The Paper had (51) questions with 17 questions in each subject.
- Total no. of questions in Paper-2 were 51 .
- Total Marks of Paper-2 was 180 which is same as last year.
- The Paper-2 had (03) three parts- Physics, Chemistry & Mathematics.
- Max. Marks for each Part was 60.
- In each part there were Four sections:
- Sec-I (Max. marks-12)
- Sec-II (Max. Marks-12)
- Sec-III (Max. marks-24)
- Sec-IV (Max. marks-12)
- Sec-I had (04) Four Questions with four options in which only ONE option was correct. Marking scheme in this section:
- Full marks: +3 If only the correct option is chosen
- Zero Marks:: 0 If none of the options are chosen
- Negative Marks: -1 In all other cases
- Sec-II had (03) Four questions with four options in which ONE OR MORE THAN ONE option(s) were correct. Marking scheme in this section:
- Full marks: +4 If only (all) the correct options are chosen
- Partial Marks: +3 If all the four options are correct but ONLY three correct options are chosen
- Partial Marks: +2 If three or more options are correct but only two correct options are chosen
- Partial Marks: +1 If two or more options are correct but only one correct option is chosen
- Zero Marks:: 0 If none of the options are chosen
- Negative Marks: -2 In all other cases
- Sec-III had (06) Six questions of Numerical Based (Non-Negative Integer Type). Marking scheme in this section:
- Full marks: +4 for the correct answer
- Zero Marks: 0 in all other cases
- Sec-IV had (04) Four questions based on Two Paragraphs with (02) Two questions in each paragraph (Numerical based Decimal Type with answer correct to 2 decimal places). Marking scheme in this section:
-
- Full marks: +3 for the correct answer.
- Zero Marks:: 0 in all other cases.
Paper-2: Immediate reaction of students :
- Students found the overall level of paper Moderately Tough. Tougher than Paper-1.
- Some students have reported Physics and Chemistry were Moderate, but Maths was relatively Tough.
- Chemistry was a Tricky as per students. Equal weightages given to Organic, Inorganic & Physical Chemistry. Inorganic Chemistry had few questions of p-block, Chemical bonding, Coordination compounds which were directly from NCERT. In Physical Chemistry questions covered Electrochemistry, Ionic & Chemical Equilibrium, Electrochemistry & Surface Chemistry. In Organic Chemistry, questions mostly asked from Aldehyde & Ketones, Polymers, Biomolecules, Mixed concepts questions were asked. Qualitative Analysis was asked in Comprehension based type questions. This section was reported Moderate as per students.
- Physics. Questions were asked from Chapters of Waves & Sound, Ray &Wave Optics, Fluids, EM Waves, Thermodynamics, Modern Physics had more weightage, Kinematics, Gravitation & Electrostatics. Overall, Physics was Moderately Tough as per students. Students felt this section was not balanced. Some questions had tricky & Lengthy calculations.
- Mathematics was Toughest as per students. There were questions from Functions, Limits, Application of Derivatives, Definite Integrals, Area under Curve, Inverse Trigonometric functions, Vectors, 3D Geometry, Circle, Parabola, Quadratic Equations, Permutation & Combination and Probability. Students felt this section was the Toughest.
- No mistakes reported till now as complete paper is yet to be analysed.
- As the Test was Computer Based students had the option to Clear Response to change any option, they could mark it for Review, Save and next to proceed further.
- Scribble Pads were given to students during the exam for rough work.
- 12:12 AM IST• 27 May 2024
What is the JEE Advanced 2024 result date?
JEE Advanced 2024 result will be out on June 9.
- 11:58 PM IST• 26 May 2024
Check chemistry questions form JEE Advanced 2024 paper 2 exam
Q:
- 11:46 PM IST• 26 May 2024
JEE Advanced 2024 paper 2 memory based chemistry question
Q:
- 11:34 PM IST• 26 May 2024
JEE Advanced 2024 paper 2 question - memory based
Q:
- 11:26 PM IST• 26 May 2024
JEE Advanced 2024 candidate response sheet will be out on May 31
IIT Madras will release JEE Advanced 2024 response sheet on May 31 at jeeadv.ac.in.
- 11:18 PM IST• 26 May 2024
JEE Advanced 2024 answer key by IIT Madras
IIT Madras will release the JEE Advanced 2024 answer key on June 2.
- 11:02 PM IST• 26 May 2024
JEE Advanced 2024 paper 2 answers and questions
Q:
- 10:53 PM IST• 26 May 2024
JEE Advanced paper 2 questions and answers
Q:
- 10:38 PM IST• 26 May 2024
JEE Advanced 2024 exam live updates: Memory based questions and answers
Q:
Q:
Q:
Q:
Q:
A: B
- 10:24 PM IST• 26 May 2024
JEE Advanced 2024 paper 2 questions and answers
Q:
Q:
Q:
- 10:13 PM IST• 26 May 2024
JEE Advanced 2024 Paper 2 Memory based questions OUT, check below
Q:
Q:
Q:
Q:
A: 2
Q:
Q:
- 10:01 PM IST• 26 May 2024
JEE Advanced Response Sheet Release Date
IIT Madras will release JEE Advanced 2024 response sheet on May 31. Candidates will be able to access the response sheet of JEE Advanced 2024 in the candidate login portal at 5 PM.
- 10:00 PM IST• 26 May 2024
JEE Advanced 2024 exam held today
IIT Madras conducted JEE Advanced 2024 exam today across 229 exam cities in India and 3 cities outside India.
- 9:37 PM IST• 26 May 2024
JEE Advanced 2024 Paper 2 Memory based questions
Q:
Q:
Q:
Q:
- 9:37 PM IST• 26 May 2024
JEE Advanced Official Answer Key Releasing on June 2
IIT Madras will release the JEE Advanced official answer key 2024 on June 2 on the official website, jeeadv.ac.in
- 9:24 PM IST• 26 May 2024
JEE Advanced 2024 exam live updates: Paper 2 Memory based questions available
Q:
Q:
Q:
Q:
- 9:12 PM IST• 26 May 2024
JEE Advanced 2024 live updates: IIT Kharagpur To Launch Four-year BTech Course in Artificial Intelligence
Indian Institute of Technology (IIT) Kharagpur is launching a new four-year BTech program in artificial intelligence (AI) starting from this academic year. However, the ministry's approval is still pending.
- 9:06 PM IST• 26 May 2024
JEE Advanced 2024 paper 2 memory based questions
Q:
Q:
- 8:56 PM IST• 26 May 2024
Know When is JoSAA Counselling 2024 Starting?
The JoSAA 2024 counselling will start tentatively on June 10, 2024.
- 8:38 PM IST• 26 May 2024
IIT Dhanbad Introduces B.Tech in Math and Computing, Admissions via JEE Advanced
IIT Dhanbad Admission: From 2024-25 session, the Indian Institute of Technology (IIT, earlier ISM), Dhanbad is set to inaugurate B.Tech program in Math and Computing. This four-year course aims to delve into the realms of mathematics and computational sciences. Admission into this program will be facilitated through the JEE Advanced.
Read More: IIT Dhanbad Introduces B.Tech in Math and Computing, Admissions via JEE Advanced
- 8:21 PM IST• 26 May 2024
JEE Advanced 2024 live updates: Courses offered in the IITs
- BTech in various Engineering disciplines
- BSc programs in Science
- BArch in Architecture
- Dual Degree programs like B.Tech-MTech and BS-MS
- Integrated MTech and Integrated MSc programs
- 8:18 PM IST• 26 May 2024
JEE Advanced 2024 exam live updates: Memory based questions available
Q:
- 8:01 PM IST• 26 May 2024
JEE Advanced 2024 live updates: Check question asked in exam
Q:
- 8:01 PM IST• 26 May 2024
JEE Advanced 2024 paper 1: Check memory based question asked
- 7:51 PM IST• 26 May 2024
JEE Advanced 2024 paper 1 pattern
- Total Marks of Paper 1 was 180 & Duration: 3 hrs
- The Paper had (51) questions with 17 questions in each subject.
- The Paper-1 had (03) three parts- Physics, Chemistry & Mathematics.
- Max. Marks for each Part was 60.
- In each part there were Four sections:
- Sec-I (Max. marks-12)
- Sec-II (Max. Marks-12)
- Sec-III (Max. marks-24)
- Sec-IV (Max. marks-12)
- Sec-I had (04) Four Questions with four options in which only ONE option was correct. Marking scheme in this section:
- Full marks: +3 If only the correct option is chosen
- Zero Marks:: 0 If none of the options are chosen
- Negative Marks: -1 In all other cases
- Sec-II had (03) Three questions with four options in which ONE OR MORE THAN ONE option(s) were correct. Marking scheme in this section:
- Full marks: +4 If only (all) the correct options are chosen
- Partial Marks: +3 If all the four options are correct but ONLY three correct options are chosen
- Partial Marks: +2 If three or more options are correct but only two correct options are chosen
- Partial Marks: +1 If two or more options are correct but only one correct option is chosen
- Zero Marks:: 0 If none of the options are chosen
- Negative Marks: -2 In all other cases
- Sec-III had (06) Six questions of Numerical Based (Non-Negative Integer Type). Marking scheme in this section:
- Full marks: +4 for the correct answer
- Zero Marks: 0 in all other cases
- Sec-IV had (04) Four questions with each question of Match List type i.e. Match List-I to List-II. List-I had 4 questions to be matched to List-II which had 5 options. One or more than one options were correct. Marking scheme in this section:
- Full marks: +3 in case all options are correct,
- Zero Marks: 0 if none of the options are chosen
- Negative Marks: -1 In all other cases
- 7:49 PM IST• 26 May 2024
JEE Advanced 2024 exam live: Memory based questions of Chemistry
Q:
Q:
Q:
- 7:39 PM IST• 26 May 2024
JEE Advanced 2024 exam live updates: What after exam?
No that the JEE Advanced 2024 exam is over, candidates will be able to check the JEE Advanced 2024 answer key on June 2. The response sheet will be out on May 31 and the result will be out on June 9. JoSAA counselling will start on June 10, tentatively.
- 7:36 PM IST• 26 May 2024
JEE Advanced 2024 exam live: Check memory based questions
Q:
Q:
- 7:29 PM IST• 26 May 2024
JEE Advanced 2024 memory based questions: Organic Chemistry
Q:
- 7:27 PM IST• 26 May 2024
JEE Advanced Question Paper Analysis 2024
Candidates who took the JEE Advanced 2024 today found Paper 2 challenging if compared with Paper 1. Candidates also found Mathematics as difficult section, while Chemistry was tricky.
- 7:25 PM IST• 26 May 2024
JEE Advanced 2024 Questions from Paper 1
Candidates who took the JEE Advanced exam today came across the following question in the paper 1 today:
- 7:25 PM IST• 26 May 2024
JEE Advanced 2024 official website
The official website for JEE Advanced 2024 is jeeadv.ac.in.
- 7:20 PM IST• 26 May 2024
IIT JEE 2024 Question Paper
The image below mentions a question that appeared in paper 1 of JEE Advanced 2024:
- 7:17 PM IST• 26 May 2024
JEE Advanced Questions asked in Paper 1
Candidates were given an equation and they had to evaluate the value of Y. The question is mentioned in the image below:
- 7:17 PM IST• 26 May 2024
JEE Advanced 2024 paper 2 exam live updates: Check topics asked in Physics
Questions were asked from Chapters of Waves & Sound, Ray &Wave Optics, Fluids, EM Waves, Thermodynamics, Modern Physics had more weightage, Kinematics, Gravitation & Electrostatics. Overall, Physics was Moderately Tough as per students. Students felt this section was not balanced. Some questions had tricky & Lengthy calculations.
- 7:14 PM IST• 26 May 2024
JEE Advanced Marks vs Ranks Analysis
The table below mentions the JEE Advanced marks vs rank for CRL:
Marks out of 360 ( for CRL) Ranks 190+ 1-500 190-170 501-1000 170-155 1001-1500 154-145 1501-2000 146-135 2001-2500 136-130 2501-3000 129-125 3001-3500 124-120 3501-4000 119-115 4001-4500 114-110 4501-5000 - 7:12 PM IST• 26 May 2024
JEE Advanced 2024: Get Memory Based Questions from Paper 1 Here
The image below indicates another question that appeared in JEE Advanced paper 1.
- 7:11 PM IST• 26 May 2024
JEE Advanced 2024 exam live: Check cutoff marks
JEE Advanced 2024 cutoff has been released by IIT Madras. However, marks can change and the final cutoff / minimum marks and percentage will be published with the JEE Advanced 2024 result.
Rank List
Minimum percentage of marks in each subject
Minimum percentage of aggregate marks
Common rank list (CRL)
10.0
35.0
GEN-EWS rank list
9.0
31.5
OBC-NCL rank list
9.0
31.5
SC rank list
5.0
17.5
ST rank list
5.0
17.5
Common-PwD rank list (CRL-PwD)
5.0
17.5
GEN-EWS-PwD rank list
5.0
17.5
OBC-NCL-PwD rank list
5.0
17.5
SC-PwD rank list
5.0
17.5
ST-PwD rank list
5.0
17.5
Preparatory course rank lists
2.5
8.75
- 7:10 PM IST• 26 May 2024
JEE Advanced 2024 Paper 1 Question with Answer
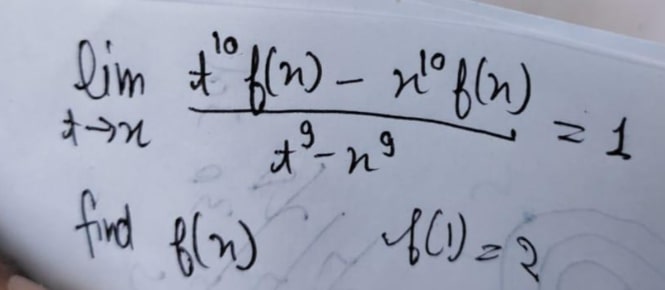
Paper 1 of JEE Advanced 2024 had a question indicated in the image below. Here, the answer is 2, i.e. K = 2.
- 7:08 PM IST• 26 May 2024
JEE Advanced 2024 Exam Day Live: Get Memory Based Question with Answer
The image below mentions one of the questions that appeared in JEE Advanced 2024. The correct answer to the question below is 1.58, i.e. option B
Follow Shiksha.com for latest education news in detail on Exam Results, Dates, Admit Cards, & Schedules, Colleges & Universities news related to Admissions & Courses, Board exams, Scholarships, Careers, Education Events, New education policies & Regulations.
To get in touch with Shiksha news team, please write to us at news@shiksha.com










A



































Currently: Assistant Manager - Content
Role: News & Feature Writer, Content Editor
Expertise: Engineering Education and Counselling
Mamona Majumder specialises in news and feature writing, content editing, and educa
Read Full Bio