2
Questions
0
Discussions
2
Active Users
0
Followers
Related Tags
New answer posted
4 months ago
0 Follower
2 Views
J
Jaya Sharma
Contributor-Level 10
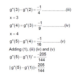
Logarithmic differentiation is used in the following cases:
- Logarithmic differentiation is used with functions that have a variable in both base and exponents. In such a case, standard differentiation rules do not apply directly to such functions. This differentiation converts exponentiation into multiplication.
- Another area where logarithmic differentiation is used is with a function which is the product of a quotient of multiple terms.
- Whenever a function has a complex combination of multiplication, division and exponentiation, logarithmic differentiation is preferred. This differentiation eases the complexity by converting multip
...more
Taking an Exam? Selecting a College?
Get authentic answers from experts, students and alumni that you won't find anywhere else
Sign Up on ShikshaOn Shiksha, get access to
- 66k Colleges
- 1.2k Exams
- 681k Reviews
- 1800k Answers


