Alcohol Phenol And Ethers
Get insights from 261 questions on Alcohol Phenol And Ethers, answered by students, alumni, and experts. You may also ask and answer any question you like about Alcohol Phenol And Ethers
Follow Ask QuestionQuestions
Discussions
Active Users
Followers
New answer posted
7 months agoContributor-Level 10
Alkene on reaction with cold, dilute aqueous solution of KMnO4 produces vicinal glycols.
New answer posted
7 months agoContributor-Level 10
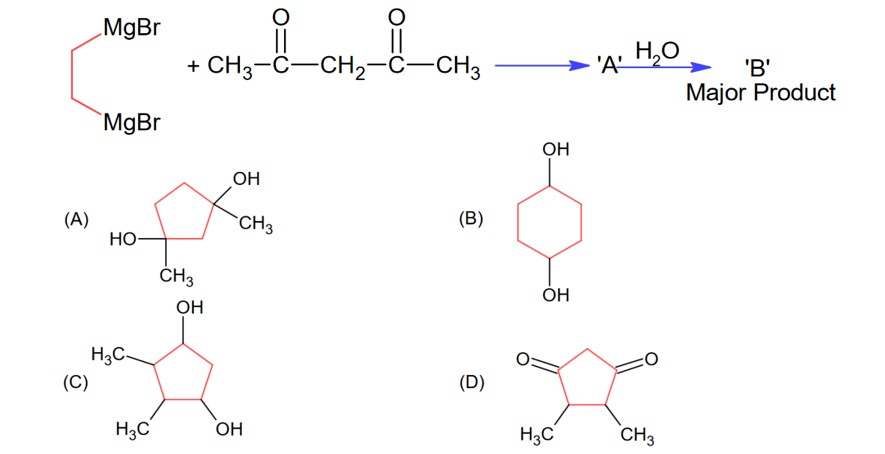
This is the nucleophilic addition reaction of Grignard reagent on carbonyl compounds
New answer posted
7 months agoContributor-Level 9
Above a particular concentration called critical micelle concentration at which micelles are formed. for soaps, the
is to
New answer posted
7 months agoContributor-Level 9
Due to Intramolecular hydrogen bonding, O-nitrophenol fails to spread its surface, so that its b.p is less than para-nitrophenol.
New answer posted
7 months agoContributor-Level 9
Ortho product has intramolecular H- bonding & para product has intermolecular H- bonding. Thus it can be separated by steam distillation due to difference in B.
Taking an Exam? Selecting a College?
Get authentic answers from experts, students and alumni that you won't find anywhere else
Sign Up on ShikshaOn Shiksha, get access to
- 66k Colleges
- 1.2k Exams
- 688k Reviews
- 1850k Answers








