Alcohol Phenol And Ethers
Get insights from 261 questions on Alcohol Phenol And Ethers, answered by students, alumni, and experts. You may also ask and answer any question you like about Alcohol Phenol And Ethers
Follow Ask QuestionQuestions
Discussions
Active Users
Followers
New answer posted
3 months agoContributor-Level 10
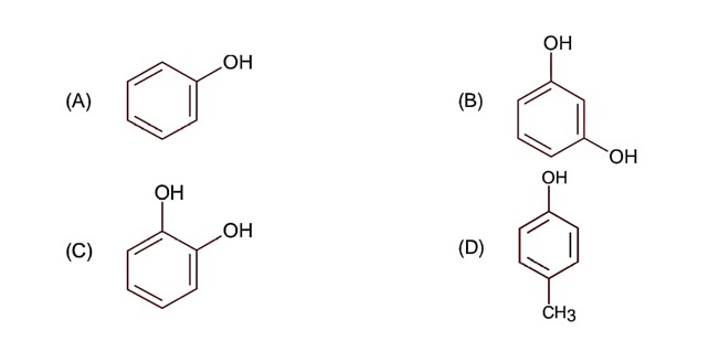
In given following phenol and its derivaties only para-methyl phenol does not produce any colour with phthalic anhydride in the presence of conc. H2SO4.
New answer posted
3 months agoContributor-Level 10
Base is tert-butoxide thus favours elimination with 3° alkyl halide and gives alkene
New answer posted
3 months agoTaking an Exam? Selecting a College?
Get authentic answers from experts, students and alumni that you won't find anywhere else
Sign Up on ShikshaOn Shiksha, get access to
- 65k Colleges
- 1.2k Exams
- 679k Reviews
- 1800k Answers











