Alcohol Phenol And Ethers
Get insights from 261 questions on Alcohol Phenol And Ethers, answered by students, alumni, and experts. You may also ask and answer any question you like about Alcohol Phenol And Ethers
Follow Ask QuestionQuestions
Discussions
Active Users
Followers
New answer posted
8 months agoContributor-Level 9
Glycerol can be separated from spent-lye in soap industry by using reduce pressure distillation technique.
New answer posted
8 months agoContributor-Level 10
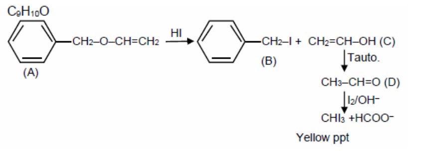
HI cleavage of ether. B is CH? =CHI, gives yellow PPT with AgNO? C is C? H? CH? OH.
New answer posted
8 months agoContributor-Level 10
This is electrophilic substitution reaction which is determine by electronic effect of 
New answer posted
8 months agoContributor-Level 10
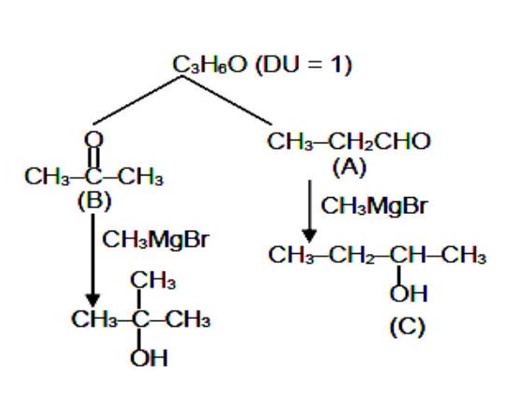
gives iodoform test and slow Lucas test, so it's a methyl secondary alcohol. D gives fast Lucas test, so it's a tertiary alcohol. The Grignard products must be tertiary and secondary alcohols. So A and B must be an aldehyde and a ketone.
Taking an Exam? Selecting a College?
Get authentic answers from experts, students and alumni that you won't find anywhere else
Sign Up on ShikshaOn Shiksha, get access to
- 66k Colleges
- 1.2k Exams
- 688k Reviews
- 1850k Answers
















