Application of Derivatives
Get insights from 282 questions on Application of Derivatives, answered by students, alumni, and experts. You may also ask and answer any question you like about Application of Derivatives
Follow Ask QuestionQuestions
Discussions
Active Users
Followers
New answer posted
10 months agoContributor-Level 10
This is a Objective Type Questions as classified in NCERT Exemplar
Sol:
New answer posted
10 months agoContributor-Level 10
This is a Objective Type Questions as classified in NCERT Exemplar
Sol:
New answer posted
10 months agoContributor-Level 10
This is a Objective Type Questions as classified in NCERT Exemplar
Sol.
New question posted
10 months agoNew answer posted
10 months agoContributor-Level 10
This is a Objective Type Questions as classified in NCERT Exemplar
Sol:

New answer posted
10 months agoContributor-Level 10
This is a Short Answer Type Question as classified in NCERT Exemplar
Sol:

New question posted
10 months agoNew answer posted
10 months agoContributor-Level 10
This is a Short Answer Type Question as classified in NCERT Exemplar
Sol.
New answer posted
10 months agoContributor-Level 10
This is a Short Answer Type Question as classified in NCERT Exemplar
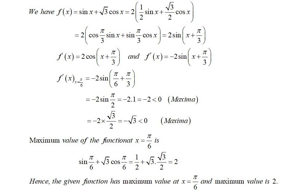
Sol:
New answer posted
10 months agoContributor-Level 10
This is a Short Answer Type Question as classified in NCERT Exemplar
Sol:
Taking an Exam? Selecting a College?
Get authentic answers from experts, students and alumni that you won't find anywhere else
Sign Up on ShikshaOn Shiksha, get access to
- 66k Colleges
- 1.2k Exams
- 688k Reviews
- 1850k Answers
