Haloalkanes and Haloarenes
Get insights from 279 questions on Haloalkanes and Haloarenes, answered by students, alumni, and experts. You may also ask and answer any question you like about Haloalkanes and Haloarenes
Follow Ask QuestionQuestions
Discussions
Active Users
Followers
New question posted
4 months agoNew question posted
4 months agoNew answer posted
4 months agoContributor-Level 9
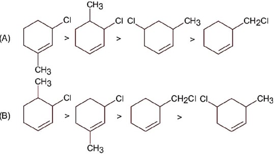
Compound react with SN1 mechanism in presence of polar protic solvent, which follows carbocation forming path.
Hence correct order is.
Taking an Exam? Selecting a College?
Get authentic answers from experts, students and alumni that you won't find anywhere else
Sign Up on ShikshaOn Shiksha, get access to
- 65k Colleges
- 1.2k Exams
- 681k Reviews
- 1800k Answers



















