Haloalkanes and Haloarenes
Get insights from 279 questions on Haloalkanes and Haloarenes, answered by students, alumni, and experts. You may also ask and answer any question you like about Haloalkanes and Haloarenes
Follow Ask QuestionQuestions
Discussions
Active Users
Followers
New answer posted
3 months agoContributor-Level 10
Organic compound + Cl? → A (Containing Cl)
5gm
A + AgNO? → AgCl
0.5 gm → 0.3849gm
Mole of AgCl = 0.3849 / 143.32
Mass of Cl = (0.3849/143.32) * 35.5 ≈ 0.095
% of Cl in A = (0.095/0.5) * 100 = 19%
New answer posted
3 months agoContributor-Level 10
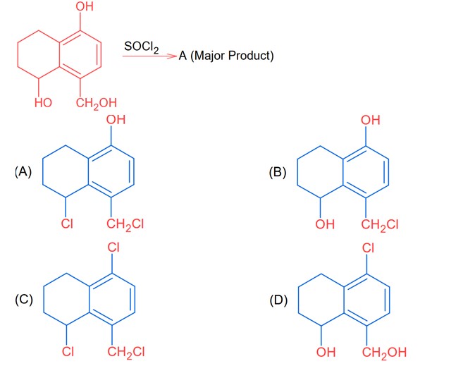
Since SOCl2 is used to covert aliphatic (R-OH) into chlorides. It will not react with aromatic alcohol
New answer posted
3 months agoContributor-Level 10
If we add -NO2 group on ortho and para position, then electron deficiency increasing in benzene ring so, order of nucleophilic attack is
Taking an Exam? Selecting a College?
Get authentic answers from experts, students and alumni that you won't find anywhere else
Sign Up on ShikshaOn Shiksha, get access to
- 65k Colleges
- 1.2k Exams
- 681k Reviews
- 1800k Answers















