JEE Main July 27 2021 Question Paper with Answer Key Solutions (Shift 1 & 2 OUT): PDF Download

JEE Main July 27 2021 Question Paper with Answer Key Solutions (Shift 1 & 2 OUT): PDF Download

2 mins read39.5K Views Comment FOLLOW USPrefer Shiksha.comShikshaCall 8585951111Call 8585951111Got Doubts?
New Delhi, Updated on Aug 6, 2021 20:47 IST
Appeared in the JEE Main July 27, 2021, paper. Download the PDF of the JEE Main July 27, 2021 question paper with answer key solutions of shift 1 and 2.

JEE Main 2021 Phase-3 (April) exam has been conducted on July 20, 22, 25 & 27. Candidates who appeared in the exam on July 27 can download the PDF of the question paper with solutions of all shifts below.

JEE Main July 27 2021 Question Paper with Answer Key Solutions

NTA has released official JEE Main 2021 question paper and answer key for session 3 exam. Candidates can login on the official and check their question paper and answer key. The facility to challenge JEE Main 2021 answer key is also open. 

Check here JEE Main 2021 results for phase 3

Check official JEE Main 2021 Question Papers

The JEE Main 2021 Phase-3 question paper with solutions for July 27 has also been released by different coaching institutes. The exam took place in two shifts. Candidates who appeared for the exam today can download the JEE Main question paper with solutions for both shifts below.

Staying updated about the latest educational events is just a click away
Enter Mobile Number

JEE Main 2021 Marks vs Percentile

JEE Main 2021 Rank Predictor

JEE Main 2021 College Predictor

JEE Main 2021 Cutoff

Candidates can check JEE Main 2021 question papers (memory-based) available on this page to help them prepare for the last session to be conducted in August & September. The official JEE Main 2021 answer key for phase-3 (April exam) is expected to be released on July 30 and the results tentatively by August 3.

JEE Main 2021 Phase 3 (July 27) Question Paper with Answer Key Solutions by Resonance

Students can download the JEE Main 2021 Phase 3 (July 27) Question Paper with Answer Key Solutions PDF by clicking on the links below.

JEE Main 2021 Exam Date Shift 1 Shift 2
July 27, 2021

Physics

Chemistry

Maths

Physics

Chemistry

Maths

Memory-Based JEE Main 27 July 2021 Shift 2 Paper Physics

JEE-Main-July-27-2021-Shift-2-Question-Physics-1
 
JEE-Main-July-27-2021-Shift-2-Question-Physics-2
 
JEE-Main-July-27-2021-Shift-2-Question-Physics-3
 
JEE-Main-July-27-2021-Shift-2-Question-Physics-4
 
JEE-Main-July-27-2021-Shift-2-Question-Physics-5
 
JEE-Main-July-27-2021-Shift-2-Question-Physics-6
 
JEE-Main-July-27-2021-Shift-2-Question-Physics-7

Memory-Based JEE Main 27 July 2021 Shift 2 Paper Mathematics

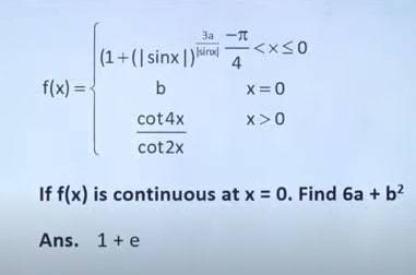
JEE Main 27 July 2021 Shift-2 Mathematics Q1
 
JEE Main 27 July 2021 Shift-2 Mathematics Q2
 
JEE Main 27 July 2021 Shift-2 Mathematics Q3

 

JEE Main 27 July 2021 Shift-2 Mathematics Q4
 
JEE Main 27 July 2021 Shift-2 Mathematics Q5
 
JEE Main 27 July 2021 Shift-2 Mathematics Q6
 
JEE Main 27 July 2021 Shift-2 Mathematics Q7
 
JEE Main 27 July 2021 Shift-2 Mathematics Q8
 
JEE Main 27 July 2021 Shift-2 Mathematics Q9

JEE Main 27 July 2021 Shift 2 Question Paper Chemistry

JEE-Main-27-July-2021-Shift-2-Chemistry-question-2
 
JEE-Main-27-July-2021-Shift-2-Chemistry-question-1
 
JEE-Main-27-July-2021-Shift-2-Chemistry-question-3
 
JEE-Main-27-July-2021-Shift-2-Chemistry-question-4
 
JEE-Main-27-July-2021-Shift-2-Chemistry-question-5

Memory Based JEE Main 27 July 2021 Shift 1 Paper - Chemistry

JEE-Main-July-27-2021-Shift-1-Chemistry-question-1
JEE-Main-July-27-2021-Shift-1-Chemistry-question-2
JEE-Main-July-27-2021-Shift-1-Chemistry-question-3
JEE-Main-July-27-2021-Shift-1-Chemistry-question-4
JEE-Main-July-27-2021-Shift-1-Chemistry-question-5
JEE-Main-July-27-2021-Shift-1-Chemistry-question-7
JEE-Main-July-27-2021-Shift-1-Chemistry-question-8

Memory Based JEE Main 27 July 2021 Shift 1 Paper - Physics

JEE-Main-July-27-2021-Shift-1-Physics-question-1
JEE-Main-July-27-2021-Shift-1-Physics-question-3
JEE-Main-July-27-2021-Shift-1-Physics-question-4
JEE-Main-July-27-2021-Shift-1-Physics-question-5
JEE-Main-July-27-2021-Shift-1-Physics-question-2
 
JEE-Main-July-27-2021-Shift-1-Physics-question-6
JEE-Main-July-27-2021-Shift-1-Physics-question-7

Memory Based JEE Main 27 July 2021 Shift 1 Paper - Maths

JEE-Main-July-27-2021-Shift-1-Maths-question-1
JEE-Main-July-27-2021-Shift-1-Maths-question-2
JEE-Main-July-27-2021-Shift-1-Maths-question-3
JEE-Main-July-27-2021-Shift-1-Maths-question-4
JEE-Main-July-27-2021-Shift-1-Maths-question-5
JEE-Main-July-27-2021-Shift-1-Maths-question-6
JEE-Main-July-27-2021-Shift-1-Maths-question-7
JEE-Main-July-27-2021-Shift-1-Maths-question-8
JEE-Main-July-27-2021-Shift-1-Maths-question-9

 

JEE Main 2021 Phase 3 (July 27) Question Paper with Answer Key Solutions PDF by coaching institutes

Click on the links below to check the shift-wise question paper with answer key solutions by different coaching institutes from the table below:

Shift

Resonance

Allen

Reliable

Shift-1 Question Paper with Solution

Physics

Chemistry

Mathematics

Physics

Chemistry

Mathematics

Physics

Chemistry

Mathematics

Shift-2 Question Paper with Solution

Physics

Chemistry

Mathematics

Physics

Chemistry

Mathematics

Physics

Chemistry

Mathematics

JEE Main phase 3 July 27 Exam Analysis

Students can check the analysis of JEE Main 2021 phase 3 July 27 Exam Analysis. As per the reactions from candidates who appeared in the shift-1 paper, the overall difficulty level of the paper was moderate to difficult. Most students found Mathematics to be the toughest of all three sections with lengthy calculations. The physics section was moderate in difficulty level while Chemistry was the easiest.  

  • Physics- Questions from semiconductors and communication were asked. Questions in the section were formula-based.
  • Chemistry- Questions from polymer, biomolecules, chemistry in everyday life were asked one from each chapter. The weightage of organic chemistry was less in today's JEE Main paper for shift 1.
  • Mathematics- Maths was difficult. Questions were asked from Parabola, Hyperbola, Statistics, Curves, among others.
Videos you may like

Follow Shiksha.com for latest education news in detail on Exam Results, Dates, Admit Cards, & Schedules, Colleges & Universities news related to Admissions & Courses, Board exams, Scholarships, Careers, Education Events, New education policies & Regulations.
To get in touch with Shiksha news team, please write to us at news@shiksha.com

About the Author
qna

Comments