
Class 12 Aldehydes, Ketones, and Carboxylic Acids Solutions: Preparation for the board exam or a competitive entrance test requires good study materials, dedication, and discipline. Additionally, good conceptual knowledge of the topics is the key to success. Students who have mastered the concepts and exercises problems can not be stopped from scoring good marks in the test. Class 12 Chemistry Chapter 8 Aldehydes, Ketones, and Carboxylic Acids is an important chapter in organic chemistry. Topics such as Nomenclature, Preparation, Physical and Chemical Properties, Reactions, and Mechanisms related to aldehydes, ketones and carboxylic acids are covered in Class 12 Chemistry Chapter 8 syllabus.
Students looking for the intext questions and exercise solutions can refer to the NCERT Solutions for Class 12 Chemistry Chapter 8 Aldehydes, Ketones, and Carboxylic Acids provided by Shiksha. Our expert educators at Shiksha have prepared the NCERT Class 12 Chemistry solutions based on the latest CBSE Class 12 syllabus and guidelines. The aim of providing the Class 12 Chemistry Aldehydes, Ketones, and Carboxylic Acids NCERT Solutions pdf is to help the students in understanding the concepts and performing well in the board exams.
Our NCERT solutions break down complex reaction mechanisms and provide step-by-step explanations to help you build a solid foundation in organic chemistry and improve your problem-solving skills. Students can download the free pdf of NCERT solution for Class 12 Aldehydes, Ketones, and Carboxylic Acids online. The link to download the Aldehydes, Ketones, and Carboxylic Acid NCERT solutions pdf is activated in this article.
Many competitive exams, like NEET and JEE, test understanding of reaction mechanisms like Aldol Condensation, Cannizzaro Reaction, Kolbe’s Electrolysis and Decarboxylation Reactions. Moreover, in the class 12 board exam, questions are based on nucleophilic addition reactions, electrophilic substitution in carboxylic acids, and applications of aldehydes and ketones in synthesis.
Additionally, students must prepare Aldehydes, Ketones and Carboxylic Acids class 12 notes pdf while studying. Mention important topics, formulas, and definitions in the handy notes for quick revision while preparing for the test. Students can also check the NCERT solutions for Class 11 Chemistry provided by Shiksha, designed with the help of our experts.
Note:- As per the latest CBSE 2025 Syllabus, No topic has been added or deleted from the Chapter 8 Aldehydes, Ketones, and Carboxylic Acids of NCERT Class 12 Chemistry. This chapter is renumbered as chapter 8 in the latest CBSE syllabus.
- Important Topics and Reactions in NCERT Chemistry Class 12 Aldehyde, Ketones and Carboxylic Acids
- NCERT Chemistry Class 12th Solution PDF - Aldehyde, Ketones and Carboxylic Acids Chapter Download
- NCERT Solutions for Class 12 Chemistry Aldehyde, Ketones and Carboxylic Acids
- Advantage of using NCERT Solutions for Class 12 Chemistry Chapter 8
Important Topics and Reactions in NCERT Chemistry Class 12 Aldehyde, Ketones and Carboxylic Acids
Students will also need important chapter topics, concepts, and reactions to prepare accordingly and perform well in the exams. Along with Class 12 Chemistry Ch 8 NCERT Solutions, we have provided list of topics covered in the chapter, and important reactions. Students can check the list below and take help from the information to boost their preparation level.
Important Topics covered in Class 12 Chemistry Chapter 8: Aldehydes, Ketones, and Carboxylic Acids
- Nomenclature and Structure of Carbonyl Group
- Preparation of Aldehydes and Ketones
- Physical Properties
- Chemical Reactions
- Uses of Aldehydes and Ketones
- Nomenclature and Structure of Carboxyl Group
- Methods of Preparation of Carboxylic Acids
- Physical Properties
- Chemical Reactions
- Uses of Carboxylic Acids
Important Reactions of NCERT Class 12 Chemistry Aldehydes, Ketones, and Carboxylic Acids
1. Preparation Reactions
From Alcohols (Oxidation Reaction)
-
Primary Alcohol : R-CH₂OH + [O] R-CHO + H₂O
-
Secondary Alcohol : R-CHOH-R' + [O] R-CO-R' + H₂O
From Hydrocarbons
-
Ozonolysis of Alkenes:
-
R-CH=CH-R' + O₃ R-CHO + R'-CHO
-
-
Friedel-Crafts Acylation:
-
Benzene + RCOCl + AlCl₃ Acetophenone
-
From Carboxylic Acids & Their Derivatives
-
Reduction of Carboxylic Acid:
-
RCOOH + LiAlH₄ RCH₂OH
-
-
Rosenmund Reduction:
-
RCOCl + H₂/Pd + BaSO₄ RCHO
-
2. Reactions of Aldehydes & Ketones
Nucleophilic Addition Reactions
-
Addition of HCN: R-CHO + HCN R-CH(OH)-CN
-
Addition of Alcohols: R-CHO + ROH (Hemiacetal Acetal)
Oxidation Reactions
-
Aldehyde : R-CHO + [O] RCOOH
Reduction Reactions
-
Aldehydes & Ketones Alcohols (Reduction by LiAlH₄/NaBH₄):
-
R-CHO + H₂ R-CH₂OH
-
R-CO-R' + H₂ R-CHOH-R'
-
-
Clemmensen Reduction (Zn-Hg/HCl):
-
R-CO-R' R-CH₂-R'
-
-
Wolff-Kishner Reduction (NH₂NH₂/KOH):
-
R-CO-R' R-CH₂-R'
-
Haloform Reaction (Test for Methyl Ketones & Acetaldehyde)
-
CH₃CO-R + I₂ + NaOH CHI₃ (Yellow ppt) + RCOONa
Tollen’s Test (Silver Mirror Test – for Aldehydes Only)
-
R-CHO + Ag⁺ + NH₃ + H₂O RCOO⁻ + Ag↓ (Silver Mirror)
Fehling’s Test (For Aldehydes, Not Ketones)
-
R-CHO + Fehling’s Solution Red Precipitate of Cu₂O
3. Reactions of Carboxylic Acids
Acidic Nature
-
RCOOH + NaOH RCOO⁻Na⁺ + H₂O
-
RCOOH + NaHCO₃ RCOO⁻Na⁺ + CO₂ + H₂O
Reduction
-
RCOOH + LiAlH₄ RCH₂OH
Decarboxylation Reaction
-
RCOOH + NaOH + CaO RH + Na₂CO₃
Hell-Volhard-Zelinsky (HVZ) Reaction
-
RCH₂COOH + Br₂ RCHBrCOOH
Esterification (Reaction with Alcohols)
-
RCOOH + ROH RCOOR + H₂O
- Amide Formation (Reaction with Ammonia)
-
RCOOH + NH₃ RCONH₂
NCERT Chemistry Class 12th Solution PDF - Aldehyde, Ketones and Carboxylic Acids Chapter Download
Candidates can check here NCERT Class 12 Chemistry Aldehyde, Ketone, and Carboxylic Acids solutions provided by subject experts in an easy-to-understand language. Students can access and download Class 12 Chemistry Ch 8 Aldehyde, Ketone and Carboxylic Acids NCERT Solutions to study offline and practice ncert exercise questions. The link to download the NCERT Solution PDF is given below;
Class 12 Chemistry Aldehyde ketone and Carboxylic Acid NCERT Solutions PDF: Free PDF Download
NCERT Solutions for Class 12 Chemistry Aldehyde, Ketones and Carboxylic Acids
Students can find the Class 12 Chapter 8 Aldehydes, Ketones, and Carboxylic Acids intext solutions below. The solutions are explained in an easy way for better understanding. Intext questions are concept-based.
| Q12.1 Write the structures of the following compounds. (i) α-Methoxypropionaldehyde (ii) 3-Hydroxybutanal (iii) 2-Hydroxycyclopentane carbaldehyde (iv) 4-Oxopentanal (v) Di-sec. butyl ketone (vi) 4-Fluoroacetophenone |
| Ans (i) The compound contains ether group and an aldehydic functional group with the longest chain having 3 carbon atoms. α means the position of the carbon atom attached to attached to the carbon atom of the functional group, in this case, it is an aldehyde functional group. (ii) The compound contains an alcoholic group and an aldehydic functional group with the longest chain having 4 carbon The numbering of the chain starts from a carbon atom of aldehyde group. (iii) The compound contains an alcoholic group and an aldehydic functional group, with the longest chain having 5 carbon atoms, which are cyclic in The numbering of the chain starts from a carbon atom of the aldehyde group attached to the cyclopentane ring. (iv) The compound contains ketone group and an aldehydic functional group with the longest chain having 5 carbon The numbering of the chain starts from a carbon atom of aldehyde group. (v) The compound contains ketone functional group with the longest chain having 8(butyl is used because there is two similar butyl group attached to the carbonyl carbon of ketone group) carbon (vi) The compound contains a fluorine atom and a ketone functional group with the longest chain which is a derivative of a phenyl group and an acetyl substituent. |
| Q 12.2 Write the structures of products of the following reactions |
| Ans |
| Q 12.3 Arrange the following compounds in increasing order of their boiling points. CH3 CHO, CH3 CH2OH, CH3OCH3 , CH3 CH2 CH3 |
| Ans The molecular masses of the given compounds are in the range of 44-66 g/mol. The second molecule, CH3CH2OH contains OH alcoholic group due to which it undergoes extensive H bonding with each other molecules, leading to the association of the molecules. Therefore, it has the highest boiling point. In the molecule CH3CHO , there is strong intermolecular dipole-dipole attraction due to presence of - CHO aldehydic group( as H will have partial positive charge and oxygen will have partial negative charge, so there will attraction between molecules), which is weak in case of CH3OCH3 as both CH3 groups have +I effect which results in decrease in electron affinity for the oxygen attached to it( with no partially positive H atom). And in CH3CH2CH3, there are only weak van der Waals forces of attraction. So the compounds in increasing order of their boiling point are: CH3CH2CH3< CH3OCH3< CH3CHO< CH3CH2OH. |
| Q 12.4 Arrange the following compounds in increasing order of their reactivity in nucleophilic addition reactions. (i) Ethanal, Propanal, Propanone, Butanone. (ii) Benzaldehyde, p-Tolualdehyde, p-Nitrobenzaldehyde, Acetophenone. |
| Ans (i) Ethanal, Propanal, Propanone, Butanone The +I effect increases in the order as: Ethanal
Therefore, the electron density of the carbonyl carbon increases as the +I effect due to the alkyl group increases. As a result, the chances of attack by a nucleophile (which are rich in electrons and carry a negative charge, not necessarily usually have a lone pair of an electrons) decrease because the carbonyl carbon has electron density on it. Hence, the increasing order of the reactivity of the given compounds in nucleophilic addition reaction is: Ethanal > Propanal> Propanone > Butanone. (ii) Benzaldehyde, p-Tolualdehyde, p-Nitrobenzaldehyde, Acetophenone: The +I effect is more in ketone than in aldehyde because in ketone, there are 2 alkyl groups contributing in the +I effect whereas in aldehydes, there is only one alkyl group. Hence, acetophenone(being a ketone group attached to it) is the least reactive in nucleophilic addition reactions. Among aldehydes, the +I effect is the highest in p-tolualdehyde because of the presence of the electron- donating –CH3 group(which increase the electron density on the carbonyl carbon via resonance through the benzene ring) and the lowest in p-nitrobenzaldehyde because of the presence of the electron- withdrawing –NO2 group(which decreases the electron density on the carbonyl carbon via resonance through the benzene ring). Hence, the increasing order of the reactivity of the given compounds is: Acetophenone<p-tolualdehyde
|
Commonly asked questions
Give plausible explanation for each of the following:
(i) Cyclohexanone forms cyanohydrin in good yield but 2,2,6-trimethylcyclohexanone does not.
(ii) There are two –NH2 groups in semicarbazide. However, only one is involved in the formation of semicarbazones.
(iii) During the preparation of esters from a carboxylic acid and an alcohol in the presence of an acid catalyst, the water or the ester should be removed as soon as it is formed.
1. Cyclohexanone forms cyanohydrin in good yield because the ketonic group has very less steric hindrance at both the ortho position but 2,2,6 tri methyl cyclohexanone have high steric hindrance which reduces the attack from CN nucleophile.
Although phenoxide ion has more number of resonating structures than carboxylate ion, carboxylic acid is a stronger acid than phenol. Why?
Resonating structures of phenoxide are-
Write the structures of the following compounds.
(i) α-Methoxypropionaldehyde
(ii) 3-Hydroxybutanal
(iii) 2-Hydroxycyclopentane carbaldehyde
(iv) 4-Oxopentanal
(v) Di-sec. butyl ketone
(vi) 4-Fluoroacetophenone
(i) The compound contains ether group and an aldehydic functional group with the longest chain having 3 carbon atoms. α means the position of the carbon atom attached to attached to the carbon atom of the functional group, in this case, it is an aldehyde functional group.
(ii) The compound contains an alcoholic group and an aldehydic functional group with the longest chain having 4 carbon The numbering of the chain starts from a carbon atom of aldehyde group.
(iii) The compound contains an alcoholic group and an aldehydic functional group, with the longest chain having 5 carbon atoms, which are cyclic in The numbering of the chain starts from a carbon atom of the aldehyde group attached to the cyclopentane ring.
(iv) The compound contains ketone group and an aldehydic functional group with the longest chain having 5 carbon The numbering of the chain starts from a carbon atom of aldehyde group.
(v) The compound contains ketone functional group with the longest chain having 8 (butyl is used because there is two similar butyl group attached to the carbonyl carbon of ketone group) carbon
(vi) The compound contains a fluorine atom and a ketone functional group with the longest chain which is a derivative of a phenyl group and an acetyl substituent.
What is meant by the following terms? Give an example of the reaction in each case.
(i) Cyanohydrin
(ii) Acetal
(iii) Semicarbazone
(iv) Aldol
(v) Hemiacetal
(vi) Oxime
(vii) Ketal
(vii) Imine
(ix) 2,4-DNP-derivative
(x) Schiff’s base
(i) Cyanohydrin:
Cyanohydrins are those organic compounds having the formula RR“2C (OH)CN, wherever R and R“2 can be alkyl or aryl groups.
Aldehydes and ketones react with compound (KCN) within the presence of excess cyanide (NaCN) as a catalyst to field organic compounds.
(ii) Acetal:
Acetals are gem - dialkoxy alkanes within which 2 alkoxy teams groups attached to the terminal atom. One bond is connected to an associate degree alkyl, whereas the opposite is connected to the hydrogen atom.
When aldehydes are treated with 2 equivalents of a monohydric alcohol within the presence of dry HCl gas, hemiacetals are produced which are further reacted with one more molecule to alcohol to yield acetal as shown below:
(iii) Semicarbarbazone:
Semicarbazones are the derivatives of organic compounds produced by the condensation reaction between a ketone or aldehyde and semicarbazide.
Semicarbazones square measure helpful for identification and characterization of aldehydes and ketones.
(iv) Aldol:
An aldol is a β-hydroxy organic compound. It's produced by the by the condensation reaction of 2 molecules of an equivalent or one molecule every of 2 totally different aldehydes or ketones within the presence of a base.
The reaction is shown as below:
(v) Hemiacetals are α-alkoxyalcohols.
Aldehyde reacts with one molecule of a monohydric alcohol in the presence of dry HCl gas to from aloxy alcohol, known as a hemiacetal.
The following reaction shows the formation of a hemiacetal:
(vi) Oxime:
Oximes are a category of organic compounds having the final formula RR“2CNOH, where R is an associate organic aspect chain associated R“2 is either H or an organic aspect chain. If R“2 is H, then it's called aldoxime associated if R“2 is an organic aspect chain, it's called ketoxime.
On treatment with hydroxylamine in a very decrepit acidic medium, aldehydes or ketones kind oximes.
(vii) Ketal:
Ketals area gem – dialkoxyalkanes in which two which 2 alkoxy teams are attached inside the chain. The opposite 2 bonds of the atom are unit connected to 2 alkyl groups.
The general structure of ketal is shown as below:
Ketones react with glycol within the presence of dry HCl gas to grant a cyclic product referred to as glycol ketals.
(viii) Imine:
An organic compound which contains a carbon–nitrogen double bond. The structure of imine is shown as below:
Imines are produced when aldehydes and ketones react with ammonia Gas.
(ix) 2, 4 - DNP - derivative:
2, 4 - DNP - derivative is a substituted hydrazine,
The molecular formula for 2,4-DNP–derivative is C6H3 (NO2)2NHNH2.
The other name is Dinitrophenylhydrazine is the chemical compound. Dinitrophenylhydrazine is a red to orange solid. An aldehydes or ketones react with 2, 4 - dinitrophenylhydrazine to form yellow, orange, or red coloured derivatives named as 2,4 dinitrogenphenylhydrazones. These are also known as 2,4-DNP derivative.
(x) Schiff's base:
Aldehydes and ketones on react with primary amines in the presence of trace of an acid yields a Schiff's base.
Write the structures of products of the following reactions
Arrange the following compounds in increasing order of their boiling points. CH3 CHO, CH3 CH2OH, CH3OCH3 , CH3 CH2 CH3
The molecular masses of the given compounds are in the range of 44-66 g/mol. The second molecule, CH3CH2OH contains OH alcoholic group due to which it undergoes extensive H bonding with each other molecules, leading to the association of the molecules. Therefore, it has the highest boiling point. In the molecule CH3CHO, there is strong intermolecular dipole-dipole attraction due to presence of - CHO aldehydic group ( as H will have partial positive charge and oxygen will have partial negative charge, so there will attraction between molecules), which is weak in case of CH3OCH3 as both CH3 groups have +I effect which results in decrease in electron affinity for the oxygen attached to it ( with no partially positive H atom). And in CH3CH2CH3, there are only weak van there Waals forces of attraction. So the compounds in increasing order of their boiling point are:
CH3CH2CH3< CH3OCH3< CH3CHO< CH3CH2OH.
Arrange the following compounds in increasing order of their reactivity in nucleophilic addition reactions.
(i) Ethanal, Propanal, Propanone, Butanone.
(ii) Benzaldehyde, p-Tolualdehyde, p-Nitrobenzaldehyde, Acetophenone.
(i) Ethanal, Propanal, Propanone, Butanone
The +I effect increases in the order as:
Ethanal
Therefore, the electron density of the carbonyl carbon increases as the +I effect due to the alkyl group increases. As a result, the chances of attack by a nucleophile (which are rich in electrons and carry a negative charge, not necessarily usually have a lone pair of an electrons) decrease because the carbonyl carbon has electron density on it. Hence, the increasing order of the reactivity of the given compounds in nucleophilic addition reaction is:
Ethanal > Propanal> Propanone > Butanone.
(ii) Benzaldehyde, p-Tolualdehyde, p-Nitrobenzaldehyde, Acetophenone:
The +I effect is more in ketone than in aldehyde because in ketone, there are 2 alkyl groups contributing in the +I effect whereas in aldehydes, there is only one alkyl group. Hence, acetophenone (being a ketone group attached to it) is the least reactive in nucleophilic addition reactions.
Among aldehydes, the +I effect is the highest in p-tolualdehyde because of the presence of the electron- donating –CH3 group (which increase the electron density on the carbonyl carbon via resonance through the benzene ring) and the lowest in p-nitrobenzaldehyde because of the presence of the electron- withdrawing –NO2 group (which decreases the electron density on the carbonyl carbon via resonance through the benzene ring). Hence, the increasing order of the reactivity of the given compounds is:
Acetophenone<p-tolualdehyde
Predict the products of the following reactions:
(i) Cyclopentanone reacts with hydroxylamine to give cyclopentanone oxime. As you can see the cyclopentanone has ketone functional group with oxygen attached to carbonyl carbon and the hydroxylamine has two H atoms attached to N. And hence in the product, this O and two H atoms are removed and form a water molecule.
Remember if any aldehyde or ketone bearing compound reacts with primary or secondary amine then for finding the product formed simply remove the oxygen atom from the aldehyde or ketone functional group and two H atoms attached to N in amines and add a double bond between C and N.
Give the IUPAC names of the following compounds:
(i) Ph CH2 COOH The compound contains carboxylic acid as the functional group and Ph means a phenyl group. The longest chain contains 3 carbon atom with phenyl group of carbon 3 so the IUPAC name of the compound is 3-phenylpropanoic
(ii) (CH3 ) 2 C=CHCOOH
The longest chain contains 4 carbon atom with a methyl group as a substituent and a carboxylic acid as a functional group. The no. Of the chain starts from the carbon atom of the –COOH group with double bond on carbon 2 so the IUPAC name of the compound is 3-Methylbut-2-enoic acid.
(iii) The longest chain has 5 carbon atom (all are saturated) which are cyclic with the carboxylic group attached and a methyl group as a substituent. The no. Of the chain starts from the carbon atom of the – COOH group so the IUPAC name of the compound is 2-Methylcyclopentane carboxylic acid.
(iv) The longest chain is derivative of benzene with the carboxylic group attached and 3 nitro groups. The number of the chain starts from the carbon atom of the –COOH group so the IUPAC name of the compound is 2,4,6-Trinitrobenzoic acid.
Show how each of the following compounds can be converted to benzoic acid.
(i) Ethylbenzene
(ii) Acetophenone
(iii) Bromobenzene
(iv) Phenylethene (Styrene)
(i) Ethylbenzene
In the presence of nascent oxygen i.e. [O] along with KMnO4/ KOH (it is a very strong oxidizing agent which oxidizes the whole alkyl group to carboxylic salt) followed by hydrolysis leads to the formation of benzoic acid. Carbon dioxide and water are formed as byproducts.
(ii) Acetophenone
The oxidation with alcoholic KMNO4 followed by hydrolysis leads to the formation of benzoic acid. The reaction is given below:
(iii) Bromobenzene
Bromobenzene is first reacted with magnesium in presence of dry ether to give an intermediate which on reaction with solid carbon dioxide followed by hydrolysis leads to the formation of benzoic acid.
(iv) Phenylethene (Styrene)
Here the oxidation of styrene with alcoholic KMNO4 is followed by hydrolysis leads to the formation of benzoic acid.
Which acid of each pair shown here would you expect to be stronger?
(i) CH3CO2H or CH2FCO2H
(ii) CH2FCO2H or CH2ClCO2H
(iii) CH2 FCH2 CH2 CO2H or CH3 CHFCH2 CO2H
(i) The +I effect of –CH3 group increases the electron density on the O-H bond. Therefore, the release of proton becomes difficult. On the other hand, the -I effect of F decreases the electron density on the O-H bond. Therefore, the proton can be released easily. Hence, CH2FCO2H is a stronger acid than CH3CO2H.
(ii) F has stronger -I effect than Cl (as fluorine is more electronegative than chlorine). Therefore, CH2FCO2H can release proton more easily than CH2ClCO2H. Hence, CH2FCO2H is a stronger acid than CH2ClCO2H.
(iii) Inductive effect decreases with increase in distance (the more will be the distance of the inductive group from the carboxylic group less will be its effect of polarisability). Hence, the -I effect of F in CH3CHFCH2CO2H is more than it is in CH2FCH2CH2CO2H . Hence, CH3CHFCH2CO2H is a stronger acid than CH2FCH2CH2CO2H .
(iv) Due to the -I effect of F (being electronegative), it is easier to release proton in the case of compound (A). However, in the case of compound (B), the release of the proton is difficult due to the +I effect of –CH3 e. methyl group. Hence, (A) is a stronger acid than (B).
Name the following compounds according to IUPAC system of nomenclature:
(i) CH3CH(CH3 )CH2CH2CHO
(ii) CH3CH2COCH(C2H5 )CH2CH2Cl
(iii) CH3CH=CHCHO
(iv) CH3COCH2COCH3
(v) CH3CH(CH3 )CH2C(CH3 )2COCH3
(vi) (CH3 )3CCH2COOH
(vii) OHCC6H4CHO-p
Draw the structures of the following compounds.
(i) 3-Methylbutanal
(ii) p-Nitropropiophenone
(iii) p-Methylbenzaldehyde
(iv) 4-Methylpent-3-en-2-one
(v) 4-Chloropentan-2-one
(vi) 3-Bromo-4-phenylpentanoic acid
(vii) p,p’-Dihydroxybenzophenone
(viii) Hex-2-en-4-ynoic acid
Write the IUPAC names of the following ketones and aldehydes. Wherever possible, give also common names.
(i) CH3CO(CH2 )4CH3
(ii) CH3CH2CHBrCH2CH(CH3 )CHO
(iii) CH3 (CH2 )5CHO
(iv) Ph-CH=CH-CHO
(v) 
(vi) PhCOPh
Draw structures of the following derivatives.
(i) The 2,4-dinitrophenylhydrazone of benzaldehyde
(ii) Cyclopropanone oxime
(iii) Acetaldehydedimethylacetal
(iv) The semicarbazone of cyclobutanone
(v) The ethylene ketal of hexan-3-one
(vi) The methyl hemiacetal of formaldehyde
ANSWER:
1. The 2, 4-dinitrophenylhydrazone of benzaldehyde
Predict the products formed when cyclohexanecarbaldehyde reacts with following reagents.
(i) PhMgBr and then H3O+
(ii) Tollens’ reagent
(iii) Semicarbazide and weak acid
(iv) Excess ethanol and acid
(v) Zinc amalgam and dilute hydrochloric acid
ANSWER:
1. PhMgBr and then H3O+
Which of the following compounds would undergo aldol condensation, which the Cannizzaro reaction and which neither? Write the structures of the expected products of aldol condensation and Cannizzaro reaction.
(i) Methanal
(ii) 2-Methylpentanal
(iii) Benzaldehyde
(iv) Benzophenone
(v) Cyclohexanone
(vi) 1-Phenylpropanone
(vii) Phenylacetaldehyde
(viii) Butan-1-ol
(ix) 2,2-Dimethylbutanal
Ans
Aldehydes and ketones having at least one α-hydrogen undergo aldol The compounds
(ii) 2-methylpentanal
(v) cyclohexanone
(vi) 1-phenylpropanone
(vii) phenylacetaldehyde
contain one or more α-hydrogen atoms. Therefore, these undergo aldol condensation.
Aldehydes having no α-hydrogen atoms undergo Cannizzaro The compounds
(i) Methanal
(iii) Benzaldehyde
(ix) 2, 2-dimethylbutanal
do not have any α-hydrogen. Therefore, these undergo cannizzaro reactions.
Compound (iv) Benzophenone is a ketone having no α-hydrogen atom and compound (viii) Butan-1-ol is an alcohol. Hence, these compounds do not undergo either aldol condensation or cannizzaro
Structures of the expected products of aldol condensation and Cannizzaro reaction- Aldol condensation-
(ii) 2-methylpentanal-
(v) cyclohexanone-
(vi) 1-phenylpropanone-
(vii) phenylacetaldehyde –
Cannizzaro reaction-
(i) Methanal-
(iii) Benzaldehyde –
(ix) 2, 2-dimethylbutanal –
How will you convert ethanal into the following compounds?
(i) Butane-1,3-diol
(ii) But-2-enal
(iii) But-2-enoic acid
1. Butane-1,3-diol -
Ethanol react dilute alkali produces 3-hydroxybutanal which on Reduction gives butane-1, 3-diol on reduction.
Write structural formulas and names of four possible aldol condensation products from propanal and butanal. In each case, indicate which aldehyde acts as nucleophile and which as electrophile.
i) Taking two molecules of propanal, one which acts as a nucleophile and the other as an electrophile.
An organic compound with the molecular formula C9H10O forms 2,4-DNP derivative, reduces Tollens’ reagent and undergoes Cannizzaro reaction. On vigorous oxidation, it gives 1,2-benzenedicarboxylic acid. Identify the compound.
Since the given compound with molecular formula C9H10O form a 2,4-DNP derivative and reduce Tollen's reagent, it must be an aldehyde. Since it undergoes cannizzaro reaction, therefore CHO group is directly attached to the benzene ring.
Since on vigorous oxidation, it gives 1,2-benzene dicarboxylic acid, therefore it must be ortho-substituted benzaldehyde. The only o-substituted aromatic aldehyde having molecular formula C9H10O is o—ethyl benzyldehyde all the reaction can show now be explained on the basis of this structure-
An organic compound (A) (Molecular formula C8H16O2) was hydrolysed with dilute sulphuric acid to give a carboxylic acid (B) And an alcohol (C). Oxidation of (C) with chromic acid produced (B). (C) On dehydration gives but-1-ene. Write equations for the reactions involved.(Intermediate)
ANSWER: Given compound is having 8 carbons, and on reaction with chromic acid C is converted back into B, as chromic acid reaction couldn't add any carbon hence both alcohol and acid must contain 4 carbons and it is given in the question that on dehydration C will give but-1-ene so alcohol will be butan-1-ol (C) and acid will be butan-1-oic acid (B) and given reaction will be ester hydrolysis,
Arrange the following compounds in increasing order of their property as indicated:
(i) Acetaldehyde, Acetone, Di-tert-butyl ketone, Methyl tert-butyl ketone (reactivity towards HCN)
(ii) CH3CH2CH(Br)COOH, CH3CH(Br)CH2COOH, (CH3)2CHCOOH, CH3CH2CH2COOH (acid strength)
(iii) Benzoic acid, 4-Nitrobenzoic acid, 3,4-Dinitrobenzoic acid, 4-Methoxybenzoic acid (acid strength)
1. Di-tertbutyl, ketone 2. +I effect donates e- . Br group will show +I effect along the chain but as I effect is distance dependent effect it will die as the distance increase.+I effect of alkyl group will reduce the acidity of a compound whereas –I effect will increase the acidity, I effects are distance dependent, correct order will be (CH3)2CHCOOH< CH3CH2CH2COOH< CH3CH (Br)CH2COOH < CH3CH2CH (Br)COOH. 3. As we know the electron releasing groups (ERG) reduces the acidic strength of the compound (via inductive effect) whereas the electron withdrawing group (EWG) will increase the acidic strength of compound, and methoxy group is ERG, and nitro group is EWG, Increasing number of EWG will increase the effect and acidity too. Hence final order will be Methoxy benzoic acid< Benzoic acid<4-Nitrobenzoic acid<3,4-Dinitrobenzoic acid.
Give simple chemical tests to distinguish between the following pairs of compounds.
(i) Propanal and Propanone
(ii) Acetophenone and Benzophenone
(iii) Phenol and Benzoic acid
(iv) Benzoic acid and Ethyl benzoate
(v) Pentan-2-one and Pentan-3-one
(vi) Benzaldehyde and Acetophenone
(vii) Ethanal and Propanal
a )Tollen's test –Due to oxidizing nature of aldehydes they get easily oxidized, wheareas in case of ketones they are not readily
oxidizable. And tollens test exploits this fact, [Ag (NH3)2]+ is used as reagent Ag mirror is formed during this reaction
How will you prepare the following compounds from benzene? You may use any inorganic reagent and any organic reagent having not more than one carbon atom
(i) Methyl benzoate
(ii) m-Nitrobenzoic acid
(iii) p-Nitrobenzoic acid
(iv) Phenylacetic acid
(v) p-Nitrobenzaldehyde.
1. When benzene is treated with Br2 In presence of ferric bromide (brominating agent) they form bromobenzene. When bromobenzene is treated with Mg in ether it will form Grignard reagent, and if the CO2 is treated with Grignard reagent (in acidic condition) it will form benzoic acid. After esterification reaction in presence of methanol it will form methyl benzoate.

2. When benzene is treated with Br2 In presence of ferric bromide (brominating agent) they form bromobenzene. When bromobenzene is treated with Mg in ether it will form Grignard reagent, and if the CO2 is treated with Grignard reagent (in acidic condition) it will form benzoic acid. When nitrating mixture is treated with benzoic acid it will form m-Nitrobenzoic acid.
How will you bring about the following conversions in not more than two steps?
(i) Propanone to Propene
(ii) Benzoic acid to Benzaldehyde
(iii) Ethanol to 3-Hydroxybutanal
(iv) Benzene to m-Nitroacetophenone
(v) Benzaldehyde to Benzophenone
(vi) Bromobenzene to 1-Phenylethanol
(vii) Benzaldehyde to 3-Phenylpropan-1-ol
(viii) Benazaldehyde to α-Hydroxyphenylacetic acid
(ix) Benzoic acid to m- Nitrobenzyl alcohol
1. When propanone reacts with NaBH4 it will form propan-2-ol.This alcohol is dehydrated to form propene.
2. When benzoic acid is treated with SOCl2 it chlorinates the acid. After controlled hydrogenation it forms benzaldehyde
3. When ethanol is treated with Cu at 573 k, it will oxidize to ethanal. When ethanal is treated with Dil.NaOH it will form 3-Hydroxy butanal
Describe the following:
(i) Acetylation
(ii) Cannizzaro reaction
(iii) Cross aldol condensation
(iv) Decarboxylation
1. Acetylation refers to the process of introducing an acetyl group (resulting in an acetoxy group) into a compound, namely the substitution of an acetyl group for an active hydrogen atom. A reaction involving the replacement of the hydrogen atom of a hydroxyl group with an acetyl group (CH3CO) yields a specific ester, the acetate. Acetic anhydride is commonly used as an acetylating agent reacting with free hydroxyl groups., this reaction is usually carried out in the presence of base like pyridine.

2. Aldeydes having no α-H undergo the disproportion reaction in the presence of Strong alkali, it is a chemical reaction that involves the base-induced disproportionation of a non-enolizable aldehyde This reaction is known as Cannizzaro reaction.In this reaction two molecules of aldehyde is reacted, 1 is reduced to alcohol and other is oxidized to carboxylic acid.

3. When aldol condensation is carried out between two different aldehydes or two different ketones, or one aldehyde and one ketone this reaction is called as CROSS ALDOL CONDENSATION, if both the reactant is having α H then 4 products are formed ( 2 self aldol& 2 cross aldol)

4. Decarboxylation is a chemical reaction that removes a carboxyl group and releases carbon dioxide (CO2). Usually, decarboxylation refers to a reaction of carboxylic acids, removing a carbon atom from a carbon chain. in this reaction carbon dioxide is released.

Complete each synthesis by giving missing starting material, reagent or products
1. When 1- phenyl ethane is oxidized with a strong oxidizing agent like KMnO4, it forms a benzoic acid ion.
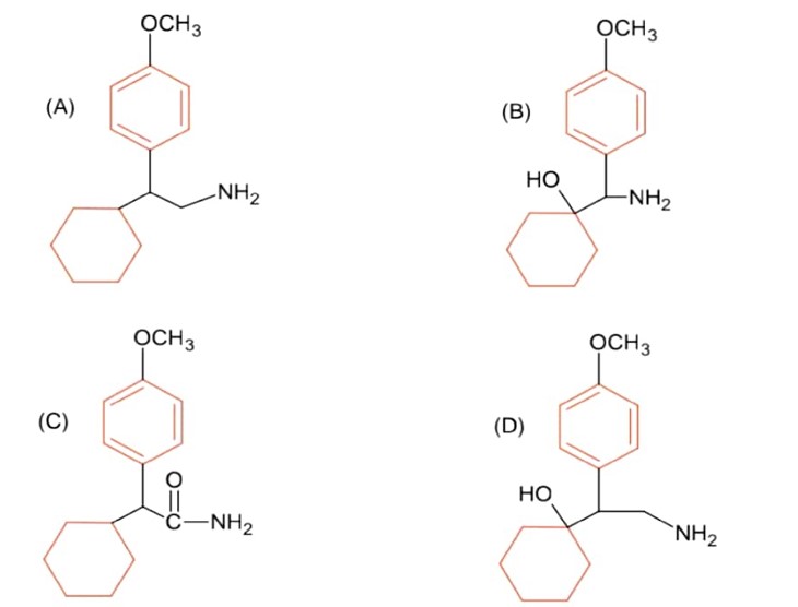
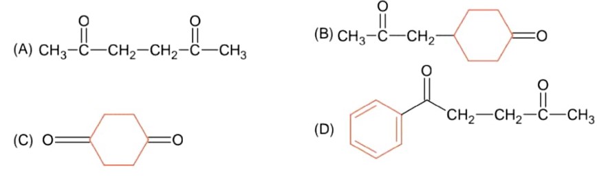
An organic compound contains 69.77% carbon, 11.63% hydrogen and rest oxygen. The molecular mass of the compound is 86. It does not reduce Tollens’ reagent but forms an addition compound with sodium hydrogensulphite and give positive iodoform test. On vigorous oxidation it gives ethanoic and propanoic acid. Write the possible structure of the compound.
Advantage of using NCERT Solutions for Class 12 Chemistry Chapter 8
The benefit of using the Aldehyde, Ketones and Carboxylic Acids ncert solutions are as follows:
- Basic concepts are clear
- Improve problem-solving skills
- Familiarise with the most important topics or high-weightage topics
- Good resource for practice and revision
- Boost confidence in students
Chemistry Ncert Solutions Class 12th Exam
Student Forum
Other Similar chapters for you
- Aldehydes, Ketones and Carboxylic Acids
- Chemistry in Everyday Life
- Polymers
- Surface Chemistry
- General Principles & Processes of Isolating Elemen
- P Block Elements
- Alcohol Phenol And Ethers
- Haloalkanes and Haloarenes
- Amines
- NCERT Chemistry 12th
- Biomolecules
- Coordination Compounds
- Block D and F Elements
- Chemical Kinetics
- Electrochemistry




















































