Haloalkanes and Haloarenes
Get insights from 279 questions on Haloalkanes and Haloarenes, answered by students, alumni, and experts. You may also ask and answer any question you like about Haloalkanes and Haloarenes
Follow Ask QuestionQuestions
Discussions
Active Users
Followers
New answer posted
4 months agoContributor-Level 10
Higher is the stability of carbocation, greater is the reactivity towards Sn1.
Correct order of reactivity towards Sn1 reaction is
New answer posted
4 months agoContributor-Level 10
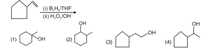
Hydroboration oxidation : The reaction proceeds in an anti Markovnikov manner
=> No rearrangement is possible
New answer posted
4 months agoContributor-Level 10
Since SOCl2 is used to covert aliphatic (R-OH) into chlorides. It will not react with aromatic alcohol
New answer posted
4 months agoContributor-Level 10
This is the formation of free radical mechanism, hence free radical will be formed
Taking an Exam? Selecting a College?
Get authentic answers from experts, students and alumni that you won't find anywhere else
Sign Up on ShikshaOn Shiksha, get access to
- 66k Colleges
- 1.2k Exams
- 681k Reviews
- 1800k Answers














