Physics Moving Charges and Magnetism
Get insights from 109 questions on Physics Moving Charges and Magnetism, answered by students, alumni, and experts. You may also ask and answer any question you like about Physics Moving Charges and Magnetism
Follow Ask QuestionQuestions
Discussions
Active Users
Followers
New answer posted
a month agoNew answer posted
a month agoContributor-Level 9
Gravitational constant
Gravitational potential energy
Gravitational potential
Gravitational intensity
New question posted
a month agoTaking an Exam? Selecting a College?
Get authentic answers from experts, students and alumni that you won't find anywhere else
Sign Up on ShikshaOn Shiksha, get access to
- 65k Colleges
- 1.2k Exams
- 682k Reviews
- 1800k Answers




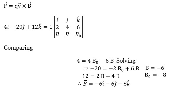
 . It is kept in a magnetic field
. It is kept in a magnetic field 





