Physics Class 11 Notes
Class 11th Physics chapters pending?
Complete 11th Physics Syllabus.
Ohm's Law is the law in Physics that explains the movement of electricity through various circuits. A German scientist called Georg Ohm discovered this law in the year 1827. Ohm's law explains how with the increase in current, the voltage also increases. On the other hand, current will decrease whenever resistance increases.
The Ohm's law formula is V = IR, which means voltage equals current times resistance. Engineers use Ohm's Law every day to design and fix electrical systems, from simple household devices to complex industrial machines. This simple relationship helps us control and predict how electricity behaves in all our electronic devices.
CBSE Board examination and other entrance exams, including JEE Main and NEET exam include questions based on the NCERT concepts.
Let us discuss the importance of Ohm’s Law from the JEE Main exam point of view:
Electrical resistance is the property of a substance that opposes the flow of electric current through the substance. The electrical resistance depends on the size, geometry, temperature and internal structure of the conductor. As we know that:
Here
which is known as Ohm's law
hence
so
current density
is called resistivity (or specific resistance), and
is called conductivity.
Therefore, the current in conductors is proportional to the potential difference that is applied across its ends. This is known as the Ohm's Law. Units in ohm's law are also called siemens, .
Please note that current electricity is an important chapter when it comes to different entrance examinations in the country. It is therefore, important to go through NCERT solutions of Current Electricity of What is Ohm's law class 12th.
Ohm's law works in the following way:
Engineers use Ohm's law for designing safe electrical devices, and electricians apply Ohm's Law to solve practical electrical problems every day. This simple relationship forms the foundation of electrical engineering and helps us understand how electricity behaves in all electronic systems.
Physics Class 11 Notes
Class 11th Physics chapters pending?
Complete 11th Physics Syllabus.Physics Class 12 Notes
Want to finish Physics syllabus before exams?
Go Through 12th Physics Notes.As per NCERT, Ohm's Law statement is as follows:
"Imagine a conductor through which a current I is flowing and let V be the potential difference between the ends of the conductor.
Then Ohm’s law states that:
V ∝ I (ohm's law formula)
or, V = R I
where the constant of proportionality R is called the resistance of the conductor. The SI units of resistance is ohm, and is denoted by the symbol W. The resistance R not only depends on the material of the conductor but also on the dimensions of the conductor."
Here is the Ohm's Law diagram:
Therefore R depends as
(1)
(2)
(3)
(4) and in metals
decreases as
increases
also increases.
Results
(a) On stretching a wire (volume constant)
If length of wire is taken into account then
If radius of cross section is taken into account then, where
and
are initial and final resistances and
are initial and final lengths and
and
initial and final radii respectively. (If elasticity of the material is taken into consideration, the variation of area of cross-section is calculated with the help of Young's modulus and Poison's ratio)
(b) Effect of percentage change in length of wire
where
- original length and
increment
if
is quite small (say
) then % change in
is
Note :
Above method is applicable when % change is very small.
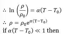
The resistivity of a metallic conductor nearly increases with increasing temperature. This is because, with the increase in temperature the ions of the conductor vibrate with greater amplitude, and the collision between electrons and ions become more frequent. Over a small temperature range (upto
), the resistivity of a metal can be represented approximately by the equation where,
is the resistivity at a reference temperature
(often taken as
or
) and
is the resistivity at temperature T , which may be higher or lower than
. The factor
is called the temperature coefficient of resistivity.
The resistance of a given conductor depends on its length and area of cross-section besides the resistivity. As temperature changes, the length and area also change. But these changes are quite small and the factor
may be treated as constant.
Then,
and hence,. In this equation
is the resistance at temperature
and
is the resistance at temperature
, often taken to be
or
. The temperature coefficient of resistance
is the same constant that appears.
Note :
can approximately be written as Hence,
In the above discussion we have assumed to be constant. If it is a function of temperature it will come inside the integration in Eq. (iii).
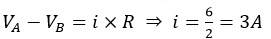
In a resistor current flows from high potential to low potential High potential is represented by positive (+) sign and low potential is represented by negative ( - ) sign.
If then current will flow from to and
If
then current will go from to
and
and
Example 8. Calculate current (i) flowing in part of the circuit shown in figure?
Solution:
Physics Current Electricity Exam