
- Sets Short Answer Type Questions
- Sets Objective Type Questions
- Sets Fill in the blanks
- Sets True and False Type Questions
Sets Short Answer Type Questions
| Write the following sets in the roaster form (i) A = {x: x ∈ R, 2x + 11 = 15} (ii) B = {x | x2 = x, x ∈ R} (iii) C = {x | x is a positive factor of a prime number p} |
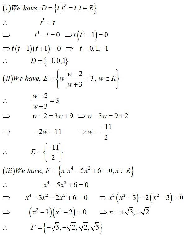
| Write the following sets in the roaster form (i) D = {t | t3 = t, t ∈ R} (ii) E = {w | =3, w ∈ R} (iii) F = {x | x4 – 5x2 + 6 = 0, x ∈ R} |
Commonly asked questions
State which of the following statements a true and which are false. Justify your answer.
(i) 35 ∈ {x | x has exactly four positive factors}.
(ii) 128 ∈ {y | the sum of all the positive factors of y is 2y}
(iii) 3 ∉ {x | x4 – 5x3 + 2x2 – 112x + 6 = 0}
(iv) 496 ∉ {y | the sum of all the positive factors of y is 2y}.
Write the following sets in the roaster form
(i) A = {x: x ∈ R, 2x + 11 = 15}
(ii) B = {x | x2 = x, x ∈ R}
(iii) C = {x | x is a positive factor of a prime number p}
Write the following sets in the roaster form
(i) D = {t | t3 = t, t ∈ R}
(ii) E = {w | =3, w ∈ R}
(iii) F = {x | x4 – 5x2 + 6 = 0, x ∈ R}
If Y = {x | x is a positive factor of the number
2p – 1 (2p – 1), where 2p – 1 is a prime number}. Write Y in the roaster form.
Given L = {1, 2, 3, 4}, M = {3, 4, 5, 6} and N = {1, 3, 5}
Verify that L – (M ∪ N) = (L – M) ∩ (L – N)
If A and B are subsets of the universal set U, then show that
(i) A ⊂ A ∪ B
(ii) A ⊂ B ⇔ A ∪ B = B
(iii) (A ∩ B) ⊂ A
Given that N = {1, 2, 3, ..., 100}. Then write
(i) The subset of N whose elements are even numbers.
(ii) The subset of N whose element are perfect square numbers.
If X = {1, 2, 3}, if n represents any member of X, write the following sets containing all numbers represented by
(i) 4n
(ii) n + 6
(iii)
(iv) n – 1
If Y = {1, 2, 3, ... 10}, and a represents any element of Y, write the following sets, containing all the elements satisfying the given conditions.
(i) a ∈ Y but a2 ∉ Y
(ii) a + 1 = 6, a ∈ Y
(iii) a is less than 6 and a ∈ Y
A, B and C are subsets of Universal Set U. If A = {2, 4, 6, 8, 12, 20}
B = {3, 6, 9, 12, 15}, C = {5, 10, 15, 20} and U is the set of all whole numbers, draw a Venn diagram showing the relation of U, A, B and C.
Kindly go through the solution
For all sets A, B and C, show that (A – B) ∩ (C – B) = A –(B ∪ C) .
For all sets A and B, (A – B) ∪ (A ∩ B) = A
For all sets A, B and C, if A ⊂ B, then A ∩ C ⊂ B ∩ C
For all sets A, B and C, if A ⊂ B, then A ∪ C ⊂ B ∪ C
For all sets A, B and C, if A ⊂ C and B ⊂ C, then A ∪ B ⊂C.
For all sets A and B, A ∪ (B – A) = A ∪ B
For all sets A and B, A – (A – B) = A ∩ B
For all sets A and B, A – (A ∩ B) = A – B
For all sets A and B, (A ∪ B) – B = A – B
Let T = xx + 5/x – 7 –5 = 4x – 40/13 – x. Is T an empty set? Justify your answer.
Let A, B and C be sets. Then show that
A ∩ (B ∪ C) = (A ∩ B) ∪ (A ∩ C)
Out of 100 students; 15 passed in English, 12 passed in Mathematics, 8 in science, 6 in English and Mathematics, 7 in Mathematics and Science; 4 in English and Science; 4 in all the three. Find how many passed
(a) In English and Mathematics but not in Science
(b) In Mathematics and Science but not in English
(c) In Mathematics only
(d) In more than one subject only
In a class of 60 students, 25 students play cricket and 20 students play tennis, and10 students play both the games. Find the number of students who play neither?
In a survey of 200 students of a school, it was found that 120 study Mathematics, 90 study Physics and 70 study Chemistry, 40 study Mathematics and Physics, 30 study Physics and Chemistry, 50 study Chemistry and Mathematics and 20 none of these subjects. Find the number of students who study all the three subjects.
In a town of 10,000 families it was found that 40% families buy newspaper A, 20% families buy newspaper B, 10% families buy newspaper C, 5% families buy A and B, 3% buy B and C and 4% buy A and C. If 2% families buy all the three newspapers. Find
(i) The number of families which buy newspaper A only.
(ii) The number of families which buy none of A, B and C
In a group of 50 students, the number of students studying French, English, Sanskrit were found to be as follows:
French = 17, English = 13, Sanskrit = 15
French and English = 09, English and Sanskrit = 4
French and Sanskrit = 5, English, French and Sanskrit = 3. Find the number of students who study
(i) French only
(ii) English only
(iii) Sanskrit only
(iv) French and English but not Sanskrit
(v) At least one of the three languages
(vi) English and Sanskrit
(vii) None of the three languages but not French
Sets Objective Type Questions
| Suppose A1, A2, ..., A30 are thirty sets each having 5 elements and B1, B2, ..., Bn are n sets each with 3 elements, let =and each element of belongs to exactly 10 of the Ai’s and exactly 9 of the B,’S. Then n is equal to (a) 15 (b) 3 (c) 45 (d) 35 |
| Two finite sets have m and n elements. The number of subsets of the first set is112 more than that of the second set. The values of m and n are, respectively, (a) 4, 7 (b) 7, 4 (c) 4, 4 (d) 7, 7 |
Commonly asked questions
Suppose A1, A2, ..., A30 are thirty sets each having 5 elements and B1, B2, ..., Bn are n sets each with 3 elements, let =and each element of belongs to exactly 10 of the Ai’s and exactly 9 of the B,’S. Then n is equal to
(a) 15
(b) 3
(c) 45
(d) 35
Two finite sets have m and n elements. The number of subsets of the first set is112 more than that of the second set. The values of m and n are, respectively,
(a) 4, 7
(b) 7, 4
(c) 4, 4
(d) 7, 7
The set (A ∩ B′) ′ ∪ (B ∩ C) is equal to
(a) A′ ∪ B ∪ C (b) A′ ∪ B
(c) A′ ∪ C′ (d) A′ ∩ B
Let F1 be the set of parallelograms, F2 the set of rectangles, F3 the set of rhombuses, F4 the set of squares and F5 the set of trapeziums in a plane. Then F1 may be equal to
(a) F2 ∩ F3
(b) F3 ∩ F4
(c) F2 ∪ F5
(d) F2∪ F3 ∪ F4 ∪ F1
Let S = set of points inside the square, T = the set of points inside the triangle and C = the set of points inside the circle. If the triangle and circle intersect each other and are contained in a square. Then
(a) S ∩ T ∩ C = φ
(b) S ∪ T ∪ C = C
(c) S ∪ T ∪ C = S
(d) S ∪ T = S ∩ C
Let R be set of points inside a rectangle of sides a and b (a, b > 1) with two sides along the positive direction of x-axis and y-axis. Then
(a) R = {(x, y): 0 ≤ x ≤ a, 0 ≤ y ≤ b}
(b) R = {(x, y): 0 ≤ x < a, 0 ≤ y ≤ b}
(c) R = {(x, y): 0 ≤ x ≤ a, 0 < y < b}
(d) R = {(x, y): 0 < x < a, 0 < y < b}
Kindly go through the solution
In a class of 60 students, 25 students play cricket and 20 students play tennis, and 10 students play both the games. Then, the number of students who play neither is
(a) 0
(b) 25
(c) 35
(d) 45
In a town of 840 persons, 450 persons read Hindi, 300 read English and 200 read both. Then the number of persons who read neither is
(a) 210
(b) 290
(c) 180
(d) 260
If X = {8n – 7n – 1 | n ∈ N} and Y = {49n – 49 | n ∈ N}. Then
(a) X ⊂ Y
(b) Y ⊂ X
(c) X = Y
(d) X ∩ Y = φ
A survey shows that 63% of the people watch a News Channel whereas 76%watch another channel. If x% of the people watch both channels, then
(a) x = 35
(b) x = 63
(c) 39 ≤ x ≤ 63
(d) x = 39
If sets A and B are defined as
A = {(x, y) | y = 1/x, 0 ≠ x ∈ R} B = {(x, y) | y = – x, x ∈ R}, then
(a) A ∩ B = A
(b) A ∩ B = B
(c) A ∩ B = φ
(d) A ∪ B = A
If A and B are two sets, then A ∩ (A ∪ B) equals
(a) A
(b) B
(c) φ
(d) A ∩ B
If A = {1, 3, 5, 7, 9, 11, 13, 15, 17} B = {2, 4, ..., 18} and N the set of natural numbers is the universal set, then A′ ∪(A ∪ B) ∩ B′) is
(a) φ
(b) N
(c) A
(d) B
Let S = {x | x is a positive multiple of 3 less than 100}
P = {x | x is a prime number less than 20}. Then n(S) + n(P) is
(a) 34
(b) 31
(c) 33
(d) 30
If X and Y are two sets and X′ denotes the complement of X, then X ∩ (X ∪ Y) ′is equal to
(a) X
(b) Y
(c) φ
(d) X ∩ Y
Sets Fill in the blanks
| The set {x ∈ R: 1 ≤ x < 2} can be written as ______________. |
| When A = φ, then number of elements in P(A) is ______________. |
Commonly asked questions
The set {x ∈ R: 1 ≤ x < 2} can be written as ______________.
When A = φ, then number of elements in P(A) is ______________.
If A and B are finite sets such that A ⊂ B, then n (A ∪ B) = ______________.
If A and B are any two sets, then A – B is equal to ______________.
Power set of the set A = {1, 2} is ______________.
Given the sets A = {1, 3, 5}. B = {2, 4, 6} and C = {0, 2, 4, 6, 8}. Then the universal set of all the three sets A, B and C can be ______________.
If U = {1, 2, 3, 4, 5, 6, 7, 8, 9, 10}, A = {1, 2, 3, 5}, B = {2, 4, 6, 7} and C = {2, 3, 4, 8}. Then
a) (B ∪ C) ′ is ______________.
b) (C – A) ′ is ______________.
For all sets A and B, A – (A ∩ B) is equal to ______________.
Match the following sets for all sets A, B and C
i. ((A′ ∪ B′) – A) ′ (a) A – B
ii. [B′ ∪ (B′ – A)] ′ (b) A
iii. (A – B) – (B – C) (c) B
iv. (A – B) ∩ (C – B) (d) (A × B) ∩ (A × C)
v. A × (B ∩ C) (e) (A × B) ∪ (A × C)
vi. A × (B ∪ C) (f) (A ∩ C) – B
Sets True and False Type Questions
| If A is any set, then A ⊂ A |
| Since every set is a subset of itself. So, it is 'True'. |
| Given that M = {1, 2, 3, 4, 5, 6, 7, 8, 9} and if B = {1, 2, 3, 4, 5, 6, 7, 8, 9}, then B ⊄ M |
Commonly asked questions
If A is any set, then A ⊂ A
Given that M = {1, 2, 3, 4, 5, 6, 7, 8, 9} and if B = {1, 2, 3, 4, 5, 6, 7, 8, 9}, then B ⊄ M
The sets {1, 2, 3, 4} and {3, 4, 5, 6} are equal.
Q ∪ Z = Q, where Q is the set of rational numbers and Z is the set of integers.
Let sets R and T be defined as R = {x ∈ Z | x is divisible by 2} T = {x ∈ Z | x is divisible by 6}. Then T ⊂ R
Given A = {0, 1, 2}, B = {x ∈ R | 0 ≤ x ≤ 2}. Then A = B
Let A = [[1, x],], x ∈ R and A⁴ = [aᵢⱼ]. If a₁₁ = 109, then a₂₂ is equal to
A = [ x 1 ]
[ 1 0 ]
A² = [ x 1 ] [ x 1 ] = [ x²+1 x ]
[ 1 0 ] [ 1 0 ] [ x 1 ]
A? = [ x²+1 x ] [ x²+1 x ]
[ x 1 ] [ x 1 ]
= [ (x²+1)²+x² x (x²+1)+x ]
[ x (x²+1)+x²+1 ]
a? = (x² + 1)² + x² = 109
⇒ x = ±3
a? = x² + 1 = 10
The diameter of the circle, whose centre lies on the lines x + y = 2 in the first quadrant and which touches both the lines x = 3 and y = 2, is
∴ center lies on x + y = 2 and in 1st quadrant center = (a, 2-a) where a > 0 and 2-a > 0 ⇒ 0 < a < 2
∴ circle touches x = 3 and y = 2
⇒ |3-a| = |2 - (2-a)| = radius
⇒ |3-a| = |a| ⇒ a = 3/2
∴ radius = a
⇒ Diameter = 2a = 3.
If lim(x→0) (1/x⁸){1 − cos(x²/2) − cos(x²/4) + cos(x²/2)cos(x²/4)} = 2⁻ᵏ, then the value of k is
lim_ (x→0) (1/x? ) {1 - cos (x²/2) - cos (x²/4) + cos (x²/2)cos (x²/4)} = 2?
⇒ lim_ (x→0) ( (1 - cos (x²/2) (1 - cos (x²/4) / x? ) = 2?
⇒ 2? = 2? ⇒ k = 8
The value of (0.16)^log₂.₅(1/3 + 1/3² + 1/3³ + ... to ∞) is equal to
(0.16)^log? (1/3 + 1/3² + . to ∞)
= (4/25)^log? (1/2)
= ( (5/2)? ² )^log? /? (1/2) = (5/2)^ (-2 log? /? (1/2)
= (5/2)^ (log? /? ( (1/2)? ² ) = 4
If ((1+i)/(1-i))^(m/2) = ((1+i)/(1-i))^(n/3) = 1, ( m, n ∈ Ν)
Then the greatest common divisor of the least values of m and n is
(Complex Numbers) least values of m and n is
( (1+i)/ (1-i) )^ (m/2) = ( (1+i)/ (i-1) )^ (n/3) = 1
⇒ ( (1+i)²/2 )^ (m/2) = ( (1+i)²/ (-2) )^ (n/3) = 1
⇒ (i)^ (m/2) = (-i)^ (n/3) = 1
⇒ m/2 = 4k? and n/3 = 4k?
⇒ m = 8k? and n = 12k?
Least value of m = 8 and n = 12
∴ GCD = 4
∴ GCD = 4
Maths NCERT Exemplar Solutions Class 11th Chapter One Exam





