
- Equilibrium Questions and Answers
- Code
- JEE Mains 2022
Equilibrium Questions and Answers
| 1. How can you predict the following stages of a reaction by comparing the value of Kc and Qc ? (i) Net reaction proceeds in the forward direction (ii) Net reaction proceeds in the backward direction. (iii) No net reaction occurs. |
| This is a Long Answer Type Questions as classified in NCERT Exemplar Ans: The values of Kc and Qc are itself sufficient to explain the direction of reaction and less than or greater than one another decides the direction in which reaction will proceed as follows- (i) As Qc < Kc, the reaction proceeds in the forward direction. (ii) If Qc > Kc, the reaction will proceed in the direction of reactants (reverse reaction). (iii) If Qc = Kc , no net reaction occurs. |
| 2. On the basis of Le Chatelier principle explain how temperature and pressure can be adjusted to increase the yield of ammonia in the following reaction. N2(g) + 3H2(g) ⇌ 2NH3(g) ∆H = – 92.38 kJ mol–1 What will be the effect of addition of argon to the above reaction mixture at constant volume? |
| This is a Long Answer Type Questions as classified in NCERT Exemplar Ans: According to Le Chatelier’s principle, when we raise the temperature, it shifts the equilibrium to left and decreases the equilibrium concentration of ammonia since it is an exothermic reaction. In other words, low temperature and high pressure is favourable for high yield of ammonia. There will be no change in equilibria on addition of argon (Ar). |
| 3. A sparingly soluble salt having general formula Ap+x Bq- y and molar solubility S is in equilibrium with its saturated solution. Derive a relationship between the solubility and solubility product for such salt. |
| This is a Long Answer Type Questions as classified in NCERT Exemplar Ans: The equation can be written as- Ap+x + Bq- y ⇌ xAp+ (aq) + yBq- S moles of A and B dissolves to give x S moles of Ap+ and y S moles of Bq-. Ksp = [Ap+]x [Bq-]y = [x5]x [y5]y
= xx y y 5 x+y |
| 4. Write a relation between ∆G and Q and define the meaning of each term and answer the following : (a) Why a reaction proceeds forward when Q < K and no net reaction occurs when Q = K. |
| This is a Long Answer Type Questions as classified in NCERT Exemplar Ans: (a) As we know, ΔG= ∆Gᶱ +RTlnQ ∆Gᶱ = Change in free energy as the reaction proceeds, ΔG = Standard free energy change, Q = Reaction quotient, R = Gas constant, T = Absolute temperature. Since, ∆Gᶱ =−RTlnK ∴ΔG=−RTlnK + RTlnQ = RTlnKQ If Q
If Q=K, ΔG=0, reaction is in equilibrium and no net reaction is there. |
| (b) Explain the effect of increase in pressure in terms of reaction quotient Q. for the reaction : CO (g) + 3H2 (g) ⇌ CH4 (g) + H2O (g) |
| This is a Long Answer Type Questions as classified in NCERT Exemplar Ans: When we increase the pressure equilibrium will shift in forward direction it means Q
Types of Chemical Reactions : There are 4 main types of chemical reactions. These are-
|
Commonly asked questions
A sparingly soluble salt having general formula Ap+x Bq- y and molar solubility S is in equilibrium with its saturated solution. Derive a relationship between the solubility and solubility product for such salt.
This is a Long Answer Type Questions as classified in NCERT Exemplar
Ans: The equation can be written as-
Ap+x + Bq- y ? xAp+ (aq) + yBq-
S moles of A and B dissolves to give x S moles of Ap+ and y S moles of Bq-.
Ksp = [Ap+]x [Bq-]y = [x5]x [y5]y
= xx y y 5 x+y
For the reaction : N2(g) + 3H2(g) ? 2NH3(g)
Equilibrium constant Kc =
Some reactions are written below in Column I and their equilibrium constants in terms of Kc are written in Column II. Match the following reactions with the corresponding equilibrium constant.
|
Column I (Reaction) |
Column II (Equilibrium constant) |
|
(i) 2N2(g) + 6H2(g) ⇌ 4NH3(g) |
(a) 2Kc |
|
(ii) 2NH3(g) ⇌N2(g) + 3H2(g) |
(b) Kc |
|
(iii) N2(g) + 2H2(g) ⇌ NH3(g) |
(c) |
|
|
(d) K2c |
This is a Matching Type Questions as classified in NCERT Exemplar
Ans: (i) → (d); (ii) → (c); (iii) → (b)
Assertion (A): An aqueous solution of ammonium acetate can act as a buffer.
Reason (R) : Acetic acid is a weak acid and NH4OH is a weak base.
(i) Both A and R are true and R is correct explanation of A.
(ii) Both A and R are true but R is not correct explanation of A.
(iii) A is false but R is true.
(iv) Both A and R are false.
This is a Assertion and Reason Type Questions as classified in NCERT Exemplar
Ans: option (iii)
Salt of weak acid and weak base can form buffer solution.
How can you predict the following stages of a reaction by comparing the value of Kc and Qc ?
(i) Net reaction proceeds in the forward direction
(ii) Net reaction proceeds in the backward direction.
(iii) No net reaction occurs.
This is a Long Answer Type Questions as classified in NCERT Exemplar
Ans: The values of Kc and Qc are itself sufficient to explain the direction of reaction and less than or greater than one another decides the direction in which reaction will proceed as follows-
(i) As Qc < Kc, the reaction proceeds in the forward direction.
(ii) If Qc > Kc, the reaction will proceed in the direction of reactants (reverse reaction).
(iii) If Qc = Kc, no net reaction occurs.
On the basis of Le Chatelier principle explain how temperature and pressure can be adjusted to increase the yield of ammonia in the following reaction.
N2(g) + 3H2(g) ⇌ 2NH3(g) ∆H = – 92.38 kJ mol–1
What will be the effect of addition of argon to the above reaction mixture at constant volume?
This is a Long Answer Type Questions as classified in NCERT Exemplar
Ans: According to Le Chatelier's principle, when we raise the temperature, it shifts the equilibrium to left and decreases the equilibrium concentration of ammonia since it is an exothermic reaction. In other words, low temperature and high pressure is favourable for high yield of ammonia. There will be no change in equilibria on addition of argon (Ar).
The aqueous solution of sugar does not conduct electricity. However, when sodium chloride is added to water, it conducts electricity. How will you explain this statement on the basis of ionisation and how is it affected by concentration of sodium chloride?
This is a Short Answer Type Questions as classified in NCERT Exemplar
Ans: Conductance of a solution depends upon the number of ions present in the solution since sodium chloride is an ionic compound when mixed in water it ionizes completely forming an aqueous electrolytic solution. Hence, the solution conducts electricity while sugar being a non-electrolyte does not ionize in water and when concentration of NaCl is increased, more Na+ and Cl- ions will be produced. Hence, conductance increases.
BF3 does not have proton but still acts as an acid and reacts with NH3. Why is it so? What type of bond is formed between the two?
This is a Short Answer Type Questions as classified in NCERT Exemplar
Ans: BF3 does not have a proton but still it acts as a Lewis acid as it is an electron pair acceptor and reacts with NH3by accepting its lone pair of electrons. The reaction can be represented by Coordinate bond is formed between BF3 and NH3. It can be represented as-
[ BF3 ← :NH3]
Nitrogen acts as lone pair donator in this combination
Ionisation constant of a weak base MOH, is given by the expression
kb=
Values of ionisation constant of some weak bases at a particular temperature are given below:
|
Base |
K b |
|
Dimethylamine |
5.4 × 10–4 |
|
Urea |
1.3 × 10–14 |
|
Pyridine |
1.77 × 10–9 |
|
Ammonia |
1.77 × 10–5 |
Arrange the bases in decreasing order of the extent of their ionisation at equilibrium. Which of the above base is the strongest?
This is a Short Answer Type Questions as classified in NCERT Exemplar
Ans: Higher the value of Kb stronger will be the base.
Kb- 5.4 * 10-4 >1.77 * 10-5 > 1.77 * 10-9> 1.3 * 10-14
Decreasing order of basic strength.
Dimethylamine > Ammonia > Pyridine > Urea
Hence among the given bases, the strongest base is Dimethylamine.
In which of the following reactions, the equilibrium remains unaffected on addition of small amount of argon at constant volume?
(i) H2 (g) + I2 (g) ⇌ 2HI (g)
(ii) PCl5 (g) ⇌ PCl3 (g) + Cl2 (g)
(iii) N2 (g) + 3H2 (g) ⇌2NH3 (g)
(iv) The equilibrium will remain unaffected in all the three cases.
This is a Multiple Choice Questions as classified in NCERT Exemplar
Ans: option (iv)
Since in all the given reaction, the volume is to be kept constant and an inert gas argon is added which will do not take part in reaction. So, the equilibrium will remain unaffected in all the given cases.
On the basis of the equation pH = – log [H+ ], the pH of 10–8 mol dm–3 solution of HCl should be 8. However, it is observed to be less than 7.0. Explain the reason
This is a Short Answer Type Questions as classified in NCERT Exemplar
Ans: Here concentration of water cannot be neglected since the solution is very dilute. pH will be less than 7.0. Hence, the total concentration is given as -
[ H3O+ ] =10-8+10-7M.
A sparingly soluble salt gets precipitated only when the product of concentration of its ions in the solution (Qsp) becomes greater than its solubility product. If the solubility of BaSO4 in water is 8 × 10–4 mol dm–3. Calculate its solubility in 0.01 mol dm–3 of H2SO4.
This is a Short Answer Type Questions as classified in NCERT Exemplar
Ans: The chemical equation is given below-
BaSO4(s) → Ba2+(aq) + SO42-(aq)
At t = 0 1 0 0
At equilibrium in water 1-S S S
At equilibrium in the presence 1-S S (S+0.01)
of sulphuric acid
Ksp for BaSO4 in water = [ Ba2+ ] [ SO24- ] = (S) (S) = S2
But S = 8 x 10-4 mol dm-3
Ksp = (8 × 10-4)2 = 64 × 10-8 ... (1)
The expression for Ksp in the presence of sulphuric acid will be as follows:
Ksp = (S) (5 + 0.01) ... (2)
Since value of Ksp will not change in the presence of sulphuric acid, therefore from (1) and (2)
(S) (S + 0.01) = 64 × 10-8
S2 + 0.01 S = 64 × 10-8
S2 + 0.01 S - 64 × 10-8 = 0
S =
When we solve the above equation, we will get the value of
S is= 6 × 10-4 mol-1 dm-3
Calculate the pH of a solution formed by mixing equal volumes of two solutions A and B of a strong acid having pH = 6 and pH = 4 respectively
This is a Short Answer Type Questions as classified in NCERT Exemplar
Ans: we can find the pH of the solution as-
pH of solution A=6
Hence, concentration of [H+] ion in solution A=10-6mol L-1
pH of solution B=4
Therefore, concentration of [H]+ ion in solution B=10-4mol L-1
On mixing one litre of each solution, total volume = 1L+1L=2L.
Amount of H+ ions in 1L of solution
A= concentration× Volume (V)= 10-6mol× IL
Amount of H+ ions in 1L of solution B=10-4mol×1L
∴ Total amount of H+ ions in the solution formed by mixing solutions A and B is (10-5mol+10-4mol)
This amount is present in 2L solution,
∴ Total H+
=210-4 (1+0.01)? =21.01×10-4? mol L-1
=21.01×10-4? mol L-1 =0.5×10−4mol L−1 =5×10-5mol L-1.
pH=−log [H]+=−log (5×10-5)=−log5+ (−5log10)
= −log5+5=5−log5=5−0.6990=4.3010=4.3
Thus, the pH of the solution will be 4.3.
The solubility product of Al(OH)3 is 2.7 × 10–11. Calculate its solubility in gL–1 and also find out pH of this solution. (Atomic mass of Al = 27 u).
This is a Short Answer Type Questions as classified in NCERT Exemplar
Ans: Let us assume S be the solubility of Al (OH)3.
Ksp= [Al3+] [OH-]3= (S) (3S)3=27S4
S4=27Ksp=27 × 1027 × 10-11=1 × 10-12
S=1×10−3 mol L-1.
(i) Solubility of Al (OH)3 ? : Molar mass of Al (OH)3 is 78g. Hence, solubility of Al (OH)3 ? in gL-1=1 × 103 × 78gL-1=78 × 10-3gL1=7.8 × 10-2gL-1
(ii) pH of the solution: S=1× 10−3mol L-1
OH=3S= 3×1× 10−3 = 3× 10−3
pOH=3−log3
pH=14−pOH= 11+log3= 11.4771.
A reaction between ammonia and boron trifluoride is given below: :
NH3 + BF3 → H3N : BF3 Identify the acid and base in this reaction. Which theory explains it? What is the hybridisation of B and N in the reactants?
This is a Short Answer Type Questions as classified in NCERT Exemplar
Ans: As, NH3 is Lewis base while BF3 is Lewis acid. Lewis electronic theory of acids and bases explains it. Hybridisation state: N in NH3 is sp3 hybridised and Boron in BF3 is sp2 hybridised.
Which of the following is not a general characteristic of equilibria involving physical processes?
(i) Equilibrium is possible only in a closed system at a given temperature.
(ii) All measurable properties of the system remain constant.
(iii) All the physical processes stop at equilibrium.
(iv) The opposing processes occur at the same rate and there is dynamic but stable condition.
This is a Multiple Choice Questions as classified in NCERT Exemplar
Ans: option (iii)
A physical equilibrium is having dynamic nature, both forward and reverse process occur at equal rates. Some kind of motion is always present. The individual molecules continuously move from one phase to another.
Acidity of BF3 can be explained on the basis of which of the following concepts?
(i) Arrhenius concept
(ii) Bronsted Lowry concept
(iii) Lewis concept
(iv) Bronsted Lowry as well as Lewis concept
This is a Multiple Choice Questions as classified in NCERT Exemplar
Ans: option (iii)
BF3 is an electron deficient species that is why it is a Lewis acid. (all Lewis acid can accept a pair of electrons.
On increasing the pressure, in which direction will the gas phase reaction proceed to re-establish equilibrium, is predicted by applying the Le Chatelier’s principle. Consider the reaction.
N2 (g) + 3H2 (g) ⇌2NH3 (g)
Which of the following is correct, if the total pressure at which the equilibrium is established, is increased without changing the temperature?
(i) K will remain same
(ii) K will decrease
(iii) K will increase
(iv) K will increase initially and decrease when pressure is very high
This is a Multiple Choice Questions as classified in NCERT Exemplar
Ans: Option(i)
The given reaction is :-
N2 (g) + 3H2 (g) ?2NH3 (g)
A/C to vart Hoff's eqn,
=
K is dependent on temperature. As temperature remains constant at equilibrium, so K will remain constant in the given conditions.
What will be the correct order of vapour pressure of water, acetone and ether at 30°C. Given that among these compounds, water has maximum boiling point and ether has minimum boiling point?
(i) Water < ether < acetone
(ii) Water < acetone < ether
(iii) Ether < acetone < water
(iv) Acetone < ether < water
This is a Multiple Choice Questions as classified in NCERT Exemplar
Ans: option (ii)
Greater the boiling point, lower will be the vapour pressure.
In the following questions two or more options may be correct.
For the reaction N2O4 (g) ⇌2NO2 (g), the value of K is 50 at 400 K and 1700 at 500 K. Which of the following options is correct?
(i) The reaction is endothermic
(ii) The reaction is exothermic
(iii) If NO2 (g) and N2O4 (g) are mixed at 400 K at partial pressures 20 bar and 2 bar respectively, more N2O4 (g) will be formed.
(iv) The entropy of the system increases.
This is a Multiple Choice Questions as classified in NCERT Exemplar
Ans:, option (i), (iii) and (iv)
As, K increases with increase in temperature. K increases, it shows that the reaction must be endothermic. No. of molecules increases thus, there is increase in entropy.
Assertion (A) : A solution containing a mixture of acetic acid and sodium acetate maintains a constant value of pH on addition of small amounts of acid or alkali.
Reason (R) : A solution containing a mixture of acetic acid and sodium acetate acts as a buffer solution around pH 4.75.
(i) Both A and R are true and R is correct explanation of A.
(ii) Both A and R are true but R is not the correct explanation of A.
(iii) A is true but R is false.
(iv) Both A and R are false.
This is a Assertion and Reason Type Questions as classified in NCERT Exemplar
Ans: option (ii)
The solutions which resist change in pH on dilution or with the addition of small amounts of acid or alkali are called buffer solutions.
Assertion (A): The ionisation of hydrogen sulphide in water is low in the presence of hydrochloric acid.
Reason (R) : Hydrogen sulphide is a weak acid.
(i) Both A and R are true and R is correct explanation of A.
(ii) Both A and R are true but R is not correct explanation of A.
(iii) A is true but R is false
(iv) Both A and R are false
This is a Assertion and Reason Type Questions as classified in NCERT Exemplar
Ans: option (ii)
In presence of H+ ion, equilibrium shifts in backward direction.
Assertion (A) : Aqueous solution of ammonium carbonate is basic.
Reason (R) : Acidic/basic nature of a salt solution of a salt of weak acid and weak base depends on Ka and Kb value of the acid and the base forming it.
(i) Both A and R are true and R is correct explanation of A.
(ii) Both A and R are true but R is not correct explanation of A.
(iii) A is true but R is false.
(iv) Both A and R are false.
This is a Assertion and Reason Type Questions as classified in NCERT Exemplar
Ans: Ka and Kb values are responsible for acidic and basic characters of substances. Hence option (i) is the correct answer.
Write a relation between ∆G and Q and define the meaning of each term and answer the following :
(a) Why a reaction proceeds forward when Q < K and no net reaction occurs when Q = K.
(b) Explain the effect of increase in pressure in terms of reaction quotient Q. for the reaction :
CO (g) + 3H2 (g) ⇌ CH4 (g) + H2O (g)
This is a Long Answer Type Questions as classified in NCERT Exemplar
Ans: (a) As we know,
ΔG= ?G? +RTlnQ
?G? = Change in free energy as the reaction proceeds,
ΔG = Standard free energy change,
Q = Reaction quotient,
R = Gas constant,
T = Absolute temperature.
Since, ?G? =−RTlnK
∴ΔG=−RTlnK + RTlnQ = RTlnKQ?
If Q
If Q=K, ΔG=0, reaction is in equilibrium and no net reaction is there.
(b) When we increase the pressure equilibrium will shift in forward direction it means Q
Types of Chemical Reactions :
There are 4 main types of chemical reactions. These are-
- Combination Reactions- Combination Reactions are chemical reactions with 2 or more substances combining to form one single compound.
- Decomposition Reactions- Decomposition Reactions are chemical reactions with one compound decomposing to produce 2 or more different substances. The digestion process of food in our body is a Decomposition reaction.
- Displacement Reactions- Displacement reactions are reactions that involve the displacement of 1 element or group by another.
- Double Displacement- Displacement reactions are reactions with 2 compounds that react to form 2 new compounds. In the displacement reaction, no change in oxidation state occurs.
The ionisation of hydrochloric in water is given below:
HCl(aq) + H2O (l ) ⇌ H3O+ (aq) + Cl– (aq)
Label two conjugate acid-base pairs in this ionization.
This is a Short Answer Type Questions as classified in NCERT Exemplar
Ans: Conjugate acid and conjugate base can be shown as-
HCl(aq) + H2O (l) ? H3O+(aq) + Cl-(aq)
acid base conjugate conjugate
acid base
When hydrochloric acid is added to cobalt nitrate solution at room temperature, the following reaction takes place and the reaction mixture becomes blue. On cooling the mixture it becomes pink. On the basis of this information mark the correct answer.
[Co (H2O)6] 3+ (aq) + 4Cl– (aq) ⇌ [CoCl4]2– (aq) + 6H2O (l)
(pink) (blue)
(i) ∆H > 0 for the reaction
(ii) ∆H < 0 for the reaction
(iii) ∆H = 0 for the reaction
(iv) The sign of ∆H cannot be predicted on the basis of this information.
This is a Multiple Choice Questions as classified in NCERT Exemplar
Ans: option (i)
On cooling the mixture reaction moves towards backward direction it means it is an endothermic reaction i.e.,
The pH of neutral water at 25°C is 7.0. As the temperature increases, ionisation of water increases, however, the concentration of H+ ions and OH– ions are equal. What will be the pH of pure water at 60°C?
(i) Equal to 7.0
(ii) Greater than 7.0
(iii) Less than 7.0
(iv) Equal to zero
This is a Multiple Choice Questions as classified in NCERT Exemplar
Ans: As Kw increases Ans: As Kw increases [H+] [OH-] 10-14
[H+]= [OH-]
[H+]= [OH-] [H+]2 = 110-14
[H+] 10-7
At 500 K, equilibrium constant, Kc , for the following reaction is 5.
(g) + (g) ⇌ HI (g)
What would be the equilibrium constant Kc for the reaction
2HI(g) ⇌ H2 (g) + I2 (g)
(i) 04
(ii) 4
(iii) 25
(iv) 5
This is a Multiple Choice Questions as classified in NCERT Exemplar
Ans: option (i)
If the equation is multiplied by 2, the equilibrium constant for the new equation is the square of K it means we must do the square of 5 that is 25. Then and on reversing the reaction the value of the equilibrium constant is inversed means the value of K comes out to be 1/25= 0.04.
Assertion (A): In the dissociation of PCl5 at constant pressure and temperature addition of helium at equilibrium increases the dissociation of PCl5 .
Reason (R) : Helium removes Cl2 from the field of action.
(i) Both A and R are true and R is correct explanation of A.
(ii) Both A and R are true but R is not correct explanation of A.
(iii) A is true but R is false.
(iv) Both A and R are false.
This is a Assertion and Reason Type Questions as classified in NCERT Exemplar
Ans: option (iv)
If the volume is kept constant and an inert gas such as argon is added which does not take part in the reaction, the equilibrium remains undisturbed.
Conjugate acid of a weak base is always stronger. What will be the decreasing order of basic strength of the following conjugate bases?
OH– , RO– , CH3COO– , Cl–
This is a Short Answer Type Questions as classified in NCERT Exemplar
Ans: Conjugate acid of a weak base is always stronger and conjugate base of weak acid is always strong.
The weak acids are:
⇒H2O, ROH, CH3COOH, HCl
⇒HCl > CH3COOH > ROH > H2O
⇒ Conjugate base order ⇒ OH−>RO−>CH3COO−>Cl−
Arrange the following in increasing order of pH.
KNO3 (aq), CH3COONa (aq), NH4Cl (aq), C6H5COONH4 (aq)
This is a Short Answer Type Questions as classified in NCERT Exemplar
Ans: Correct order of pH is -
NH4Cl C6H5COONH4 KNO3 CH3COONa
Salts of strong acid and strong base do not hydrolyse and form neutral solution thus, pH will be nearly 7 of KNO3?
In sodium acetate, acetic acid remains unionised this results in increase in OH- concentration and pH will be more than 7.
NH4Cl formed from weak base, NH4OH and strong acid, HCl, in water dissociates completely, aq. ammonium ions undergo hydrolysis with water to form NH4OHand H+ ions resulting in less pH value.
The value of Kc for the reaction 2HI (g) ? H2 (g) + I2 (g) is 1 × 10–4
At a given time, the composition of reaction mixture is
[HI] = 2 × 10–5 mol, [H2] = 1 × 10–5 mol and [I2] = 1 × 10–5 mol
In which direction will the reaction proceed?
This is a Short Answer Type Questions as classified in NCERT Exemplar
Ans: At a given time the reaction quotient Q for the reaction will be given by the expression:
Q= = = = 0.25
= 2.5×10−1
As the value of the reaction quotient is greater than the value of Kc i.e. 1×10−4 the reaction will proceed in the reverse direction.
pH of a solution of a strong acid is 5.0. What will be the pH of the solution obtained after diluting the given solution a 100 times?
This is a Short Answer Type Questions as classified in NCERT Exemplar
Ans: Given with the pH = 5 as, pH= - log [ H+ ]
[ H+ ] =10-5M
On 100 times dilution-
[ H+ ] =10-7M.
pH of 0.08 mol dm–3 HOCl solution is 2.85. Calculate its ionisation constant.
This is a Short Answer Type Questions as classified in NCERT Exemplar
Ans: pH of HOCL = 2.85
But, - pH = log [H+]
-2.85=log [H+]
= -3.15 = log [H+]
[H+]=anti log3.15
[H+]= 1.413* 10-3
or weak mono basic acid
[H+]= C
= = =
=24.957 10-6
=2.4957 10-5
Calculate the volume of water required to dissolve 0.1 g lead (II) chloride to get a saturated solution. (Ksp of PbCl2 = 3.2 × 10–8 , atomic mass of Pb = 207 u).
This is a Short Answer Type Questions as classified in NCERT Exemplar
Ans:
Ksp=3.2 × 10-8
PbCl2? Pb2+ +2Cl-
Ksp= (S) (2S)2
Ksp=4S3
s3=43.2 × 10-8
s3=8 × 10-9
s=2 × 10-3
Molar mass of PbCl2=278g/mol
By using Molarity formula,
2 × 10-3= 278 × x0.1
x=
=
x=0.18L
Following data is given for the reaction: CaCO3 (s) → CaO (s) + CO2 (g)
∆fHᶱ [CaO(s)] = – 635.1 kJ mol–1
∆fHᶱ[CO2(g)] = – 393.5 kJ mol–1
∆fHᶱ[CaCO3(s)] = – 1206.9 kJ mol–1
Predict the effect of temperature on the equilibrium constant of the above reaction.
This is a Short Answer Type Questions as classified in NCERT Exemplar
Ans: ΔrH?= ?fH? [CaO(s)]+ ?fH?[CO2(g)]− ?fH?[ [CaCO3(s)]
∴ ?fH? =178.3kJ mol−1.
The reaction is endothermic. Hence, according to Le Chatelier’s principle, reaction will proceed in forward direction on increasing temperature.
We know that the relationship between Kc and Kp is
Kp = Kc (RT)∆n What would be the value of ∆n for the reaction
NH4Cl (s) ⇌ NH3 (g) + HCl (g)
(i) 1
(ii) 5
(iii) 5
(iv) 2
This is a Multiple Choice Questions as classified in NCERT Exemplar
Ans: Option(iv)
The relationship between Kp and Kc is
Kp=Kc(RT)Δn
Where ?n = (number of moles of gaseous products) – (number of moles of gaseous reactants)
For the reaction,
NH4C1(s)?NH3(g)+HCl(g)
Δn=2–0=2
For the reaction H2(g) + I2(g) ⇌ 2HI (g), the standard free energy is ∆Gᶱ > 0. The equilibrium constant (K ) would be __________.
(i) K = 0
(ii) K > 1
(iii) K = 1
(iv) K < 1
This is a Multiple Choice Questions as classified in NCERT Exemplar
Ans: Option(iv)
The given chemical reaction is:
H2(g) + I2(g) ? 2HI (g)
By, thermodynamical equation of equilibrium,
?G?= -RTlnk>0
Now, R>0 & T>0
⇒ −lnK > 0
⇒ K<1
PCl5, PCl3 and Cl2 are at equilibrium at 500K in a closed container and their concentrations are 0.8 × 10–3 mol L–1, 1.2 × 10–3 mol L–1 and 1.2 × 10–3 mol L–1 respectively. The value of Kc for the reaction PCl5 (g) ⇌PCl3 (g) + Cl2 (g) will be
(i) 1.8 × 103 mol L–1
(ii) 1.8 × 10–3
(iii) 1.8 × 10–3 L mol–1
(iv) 0.55 × 104
This is a Multiple Choice Questions as classified in NCERT Exemplar
Ans: The given reaction is :-
PCl5(g)?PCl3(g)+Cl2(g)
KC=
=1.2×10−3 ×1.2×10−3 0.8×10−3
=1.8×10−3molL−1
Which of the following statements is incorrect?
(i) In equilibrium mixture of ice and water kept in perfectly insulated flask mass of ice and water does not change with time.
(ii) The intensity of red colour increases when oxalic acid is added to a solution containing iron
(III) nitrate and potassium thiocyanate.
(iii) On addition of catalyst the equilibrium constant value is not affected.
(iv) Equilibrium constant for a reaction with negative ?H value decreases as the temperature increases.
This is a Multiple Choice Questions as classified in NCERT Exemplar
Ans: option (ii)
The intensity of red colour increases when oxalic acid is added to a solution containing iron (III) nitrate and potassium thiocyanate.
Iron (III) nitrate and potassium thiocyanate react to give deep red coloration.
The reaction is:
Fe3 + aq + SCN−↔ [FeSCN]2 + aq
yellow deep red
Now, to this solution, if oxalic acid (H2C2O4) is added, then it reacts with Fe3+ ions to form the stable complex ion [Fe (C2O4)3]3−, thus decreasing the concentration of Fe3+ ions. In accordance with the Le-Chatelier's principle, the decrease in the concentration of Fe3+ ions, leads to the decrease in the concentration of [FeSCN]2+ ions which is indicated by the fact that the colour of the solution becomes lighter.
The ionisation constant of an acid, Ka , is the measure of strength of an acid. The Ka values of acetic acid, hypochlorous acid and formic acid are 1.74 × 10–5, 3.0 × 10–8 and 1.8 × 10–4 respectively. Which of the following orders of pH of 0.1 mol dm–3 solutions of these acids is correct?
(i) Acetic acid > hypochlorous acid > formic acid
(ii) Hypochlorous acid > acetic acid > formic acid
(iii) Formic acid > hypochlorous acid > acetic acid
(iv) Formic acid > acetic acid > hypochlorous acid
This is a Multiple Choice Questions as classified in NCERT Exemplar
Ans: option (iv)
Higher the value of Ka higher will be the acidic strength Ka value for formic acid is the highest and that will be of hypochlorous acid is the lowest.
Ka1 , Ka2 and Ka3 are the respective ionisation constants for the following reactions.
H2S H+ + HS
HS– H+ + S2
H2S 2H+ + S2
The correct relationship between is Ka1 , Ka2 and Ka3
- Ka3= Ka1 × Ka2
- Ka3= Ka1 + Ka2
- Ka3= Ka1 – Ka2
- Ka3= Ka1 / Ka2
This is a Multiple Choice Questions as classified in NCERT Exemplar
Ans: Option(i)
H2S?H+ +HS− Ka1
HS−?H++S2− Ka2
H2S?2H++S2− Ka3
Ka1=
Ka2=
Ka3=Ka1.Ka2
Which of the following will produce a buffer solution when mixed in equal volumes?
(i) 0.1 mol dm–3 NH4OH and 0.1 mol dm–3 HCl
(ii) 0.05 mol dm–3 NH4OH and 0.1 mol dm–3 HCl
(iii) 0.1 mol dm–3 NH4OH and 0.05 mol dm–3 HCl
(iv) 0.1 mol dm–3 CH4COONa and 0.1 mol dm–3 NaOH
This is a Multiple Choice Questions as classified in NCERT Exemplar
Ans: option (iii)
When 0.1 mol dm-3 NH4OH and 0.05 mol dm-3 HCl react total amount of HCl reacts with NH4OH to form NH4Cl and some NH4OH will be left unreacted. Thus, the resultant solution contains NH4Cl and NH4OH which will produce a buffer solution.
In which of the following solvents is silver chloride most soluble?
(i) 0.1 mol dm–3 AgNO3 solution
(ii) 0.1 mol dm–3 HCl solution
(iii) H2O
(iv) Aqueous ammonia
This is a Multiple Choice Questions as classified in NCERT Exemplar
Ans: option (iv)
Aqueous ammonia will absorb chloride ions and thus the equilibria will shift in forward direction and solubility of silver chloride will increase.
What will be the value of pH of 0.01 mol dm–3 CH3COOH (Ka = 1.74 × 10–5 )?
(i) 3.4
(ii) 3.6
(iii) 3.9
(iv) 3.0
This is a Multiple Choice Questions as classified in NCERT Exemplar
Ans: option (i)
pH for weak acid is given by the following equation:
pH= [pKa−logC]
= [−log (1.74×10−5)−log0.01]
=3.4
Ka for CH3COOH is 1.8 × 10–5 and K b for NH4OH is 1.8 × 10–5 . The pH of ammonium acetate will be
(i) 7.005
(ii) 4.75
(iii) 7.0
(iv) Between 6 and 7
This is a Multiple Choice Questions as classified in NCERT Exemplar
Ans: Option(iii)
The equation for weak acid and weak base is given as-
pH=7+ ?(pKa?−pKb?)
Ka=1.8×10-5
pKa=−log (1.8×10-5) =5−log1.8 =4.744
pKb?=−log (1.8×10-5) =4.744
pH=7+ ?(pKa?−pKb?) =7
Which of the following options will be correct for the stage of half completion of the reaction A ⇌ B.
(i) ∆Gᶱ = 0
(ii) ∆Gᶱ> 0
(iii) ∆Gᶱ< 0
(iv) ∆Gᶱ= –RT ln2
This is a Multiple Choice Questions as classified in NCERT Exemplar
Ans: Option(i)
When the reaction is half completed, [A] = [B].
Thus, [B][A]=1
?G0=−RTInK=−RTIn(1)=0
At a particular temperature and atmospheric pressure, the solid and liquid phases of a pure substance can exist in equilibrium. Which of the following term defines this temperature?
(i) Normal melting point
(ii) Equilibrium temperature
(iii) Boiling point
(iv) Freezing point
This is a Multiple Choice Questions as classified in NCERT Exemplar
Ans: options (i) and (iv)
Ice and water are in equilibrium only at particular temperature and pressure. For any pure substance at atmospheric pressure, the temperature at which the solid and liquid phases are at equilibrium is called the normal melting point or normal freezing point of the substance. For example, it is 4°C in case of water. The system here is in dynamic equilibrium.
Match the following equilibria with the corresponding condition.
|
(i) Liquid ⇌ Vapour |
(a) Saturated solution |
|
(ii) Solid ⇌ Liquid |
(b) Boiling point |
|
(iii) Solid ⇌ Vapour |
(c) Sublimation point |
|
(iv) Solute⇌ Solute(solution) |
(d) Melting point |
|
(e) Unsaturated solution |
This is a Matching Type Questions as classified in NCERT Exemplar
Ans: (i) → (b); (ii) → (d); (iii) → (c); (iv) → (a).
Match standard free energy of the reaction with the corresponding equilibrium constant.
|
(i) ∆Gᶱ > 0 |
(a) K > 1 |
|
(ii) ∆Gᶱ < 0 |
(b) K = 1 |
|
(iii) ∆Gᶱ = 0 |
(c) K = 0 |
|
|
(d) K < 1 |
This is a Matching Type Questions as classified in NCERT Exemplar
Ans: (i) → (d); (ii) → (a); (iii) → (b).
Match the following species with the corresponding conjugate acid.
|
Species |
Conjugate acid |
|
(i) NH3 |
(a) CO32– |
|
(ii) HCO3- |
(b) NH4 |
|
(iii) H2O |
(c) H3O+ |
|
(iv) HSO4- |
(d) H2SO4 |
|
|
(e) H2CO3 |
This is a Matching Type Questions as classified in NCERT Exemplar
Ans: (i) → (b); (ii) → (e); (iii) → (c); (iv) → (d)
Match the following graphical variation with their description-
A B
|
|
(a) Variation in product concentration with time |
![]()
|
(b) Reaction at equilibrium |
![]() |
(c) Variation in reactant concentration with time |
This is a Matching Type Questions as classified in NCERT Exemplar
Ans: (i) → (c); (ii) → (a); (iii) → (b).
Match Column (I) with Column (II). Column I Column II-
|
(i) Equilibrium |
(a) ∆G > 0, K < 1 |
|
(ii) Spontaneous reaction |
(b) ∆G = 0 |
|
(iii) Nonspontaneous reaction |
(c) ∆Gᶱ = 0 |
|
(d) ∆G < 0, K > 1 |
This is a Matching Type Questions as classified in NCERT Exemplar
Ans: (i) →c; (ii) → (d); (iii) → (a).
In the following questions a statement of Assertion (A) followed by a statement of Reason (R) is given. Choose the correct option out of the choices given below each question.
Assertion (A) : Increasing order of acidity of hydrogen halides is HF < HCl < HBr < HI
Reason (R) : While comparing acids formed by the elements belonging to the same group of periodic table, H–A bond strength is a more important factor in determining acidity of an acid than the polar nature of the bond.
(i) Both A and R are true and R is the correct explanation of A.
(ii) Both A and R are true but R is not the correct explanation of A.
(iii) A is true but R is false.
(iv) Both A and R are false.
This is a Assertion and Reason Type Questions as classified in NCERT Exemplar
Ans: option (i)
As, H-A bond strength is a more important factor in determining acidity than its polar nature. As the size of A increases down the group, H-A bond strength decreases.
Assertion (A): For any chemical reaction at a particular temperature, the equilibrium constant is fixed and is a characteristic property.
Reason (R) : Equilibrium constant is independent of temperature.
(i) Both A and R are true and R is correct explanation of A.
(ii) Both A and R are true but R is not correct explanation of A.
(iii) A is true but R is false.
(iv) Both A and R are false
This is a Assertion and Reason Type Questions as classified in NCERT Exemplar
Ans: option (iii)
The equilibrium constant for an exothermic reaction (negative H) decreases as the temperature increases. The equilibrium constant for an endothermic reaction (positive H) increases as the temperature increases.
Code
Long Answer
| 1. How can you predict the following stages of a reaction by comparing the value of Kc and Qc ? (i) Net reaction proceeds in the forward direction (ii) Net reaction proceeds in the backward direction. (iii) No net reaction occurs. |
| Ans: The values of Kc and Qc are itself sufficient to explain the direction of reaction and less than or greater than one another decides the direction in which reaction will proceed as follows- (i) As Qc < Kc, the reaction proceeds in the forward direction. (ii) If Qc > Kc, the reaction will proceed in the direction of reactants (reverse reaction). (iii) If Qc = Kc , no net reaction occurs. |
| 2. On the basis of Le Chatelier principle explain how temperature and pressure can be adjusted to increase the yield of ammonia in the following reaction. N2(g) + 3H2(g) ⇌ 2NH3(g) ∆H = – 92.38 kJ mol–1 What will be the effect of addition of argon to the above reaction mixture at constant volume? |
| Ans: According to Le Chatelier’s principle, when we raise the temperature, it shifts the equilibrium to left and decreases the equilibrium concentration of ammonia since it is an exothermic reaction. In other words, low temperature and high pressure is favourable for high yield of ammonia. There will be no change in equilibria on addition of argon (Ar). |
| 3. A sparingly soluble salt having general formula Ap+x Bq- y and molar solubility S is in equilibrium with its saturated solution. Derive a relationship between the solubility and solubility product for such salt. |
| Ans: The equation can be written as- Ap+x + Bq- y ⇌ xAp+ (aq) + yBq- S moles of A and B dissolves to give x S moles of Ap+ and y S moles of Bq-. Ksp = [Ap+]x [Bq-]y = [x5]x [y5]y
= xx y y 5 x+y |
| 4. Write a relation between ∆G and Q and define the meaning of each term and answer the following : (a) Why a reaction proceeds forward when Q < K and no net reaction occurs when Q = K. |
| Ans: (a) As we know, ΔG= ∆Gᶱ +RTlnQ ∆Gᶱ = Change in free energy as the reaction proceeds, ΔG = Standard free energy change, Q = Reaction quotient, R = Gas constant, T = Absolute temperature. Since, ∆Gᶱ =−RTlnK ∴ΔG=−RTlnK + RTlnQ = RTlnKQ If Q
If Q=K, ΔG=0, reaction is in equilibrium and no net reaction is there. |
| (b) Explain the effect of increase in pressure in terms of reaction quotient Q. for the reaction : CO (g) + 3H2 (g) ⇌ CH4 (g) + H2O (g) |
| Ans: When we increase the pressure equilibrium will shift in forward direction it means Q
Types of Chemical Reactions : There are 4 main types of chemical reactions. These are-
|
Short Answer
| 1. The ionisation of hydrochloric in water is given below: HCl(aq) + H2O (l ) ⇌ H3O+ (aq) + Cl– (aq) Label two conjugate acid-base pairs in this ionization. |
| Ans: Conjugate acid and conjugate base can be shown as- HCl(aq) + H2O (l) ⇌ H3O+(aq) + Cl-(aq) acid base conjugate conjugate acid base |
| 2. The aqueous solution of sugar does not conduct electricity. However, when sodium chloride is added to water, it conducts electricity. How will you explain this statement on the basis of ionisation and how is it affected by concentration of sodium chloride? |
| Ans: Conductance of a solution depends upon the number of ions present in the solution since sodium chloride is an ionic compound when mixed in water it ionizes completely forming an aqueous electrolytic solution. Hence, the solution conducts electricity while sugar being a non-electrolyte does not ionize in water and when concentration of NaCl is increased, more Na+ and Cl- ions will be produced. Hence, conductance increases. |
| 3. BF3 does not have proton but still acts as an acid and reacts with NH3. Why is it so? What type of bond is formed between the two? |
| Ans: BF3 does not have a proton but still it acts as a Lewis acid as it is an electron pair acceptor and reacts with NH3by accepting its lone pair of electrons. The reaction can be represented by Coordinate bond is formed between BF3 and NH3. It can be represented as- [ BF3 ← :NH3] Nitrogen acts as lone pair donator in this combination |
| 4. Ionisation constant of a weak base MOH, is given by the expression kb= Values of ionisation constant of some weak bases at a particular temperature are given below:
Arrange the bases in decreasing order of the extent of their ionisation at equilibrium. Which of the above base is the strongest?
|
||||||||||
| Ans: Higher the value of Kb stronger will be the base. Kb- 5.4 × 10-4 >1.77 × 10-5 > 1.77 × 10-9> 1.3 × 10-14 Decreasing order of basic strength. Dimethylamine > Ammonia > Pyridine > Urea Hence among the given bases, the strongest base is Dimethylamine. |
| 5. Conjugate acid of a weak base is always stronger. What will be the decreasing order of basic strength of the following conjugate bases? OH– , RO– , CH3COO– , Cl– |
| Ans: Conjugate acid of a weak base is always stronger and conjugate base of weak acid is always strong. The weak acids are: ⇒H2O, ROH, CH3COOH, HCl ⇒HCl > CH3COOH > ROH > H2O ⇒ Conjugate base order ⇒ OH−>RO−>CH3COO−>Cl− |
| 6. Arrange the following in increasing order of pH. KNO3 (aq), CH3COONa (aq), NH4Cl (aq), C6H5COONH4 (aq) |
| Ans: Correct order of pH is - NH4Cl C6H5COONH4 KNO3 CH3COONa Salts of strong acid and strong base do not hydrolyse and form neutral solution thus, pH will be nearly 7 of KNO3. In sodium acetate, acetic acid remains unionised this results in increase in OH- concentration and pH will be more than 7. NH4Cl formed from weak base, NH4OH and strong acid, HCl, in water dissociates completely, aq. ammonium ions undergo hydrolysis with water to form NH4OHand H+ ions resulting in less pH value. |
| 7. The value of Kc for the reaction 2HI (g) ⇌ H2 (g) + I2 (g) is 1 × 10–4 At a given time, the composition of reaction mixture is [HI] = 2 × 10–5 mol, [H2] = 1 × 10–5 mol and [I2] = 1 × 10–5 mol In which direction will the reaction proceed? |
| Ans: At a given time the reaction quotient Q for the reaction will be given by the expression: Q= = = = 0.25 = 2.5×10−1 As the value of the reaction quotient is greater than the value of Kc i.e. 1×10−4 the reaction will proceed in the reverse direction. |
| 8. On the basis of the equation pH = – log [H+ ], the pH of 10–8 mol dm–3 solution of HCl should be 8. However, it is observed to be less than 7.0. Explain the reason |
| Ans: Here concentration of water cannot be neglected since the solution is very dilute. pH will be less than 7.0. Hence, the total concentration is given as - [ H3O+ ] =10-8+10-7M. |
| 9. pH of a solution of a strong acid is 5.0. What will be the pH of the solution obtained after diluting the given solution a 100 times? |
| Ans: Given with the pH = 5 as, pH= - log [ H+ ] [ H+ ] =10-5M On 100 times dilution- [ H+ ] =10-7M. |
| 10. A sparingly soluble salt gets precipitated only when the product of concentration of its ions in the solution (Qsp) becomes greater than its solubility product. If the solubility of BaSO4 in water is 8 × 10–4 mol dm–3. Calculate its solubility in 0.01 mol dm–3 of H2SO4. |
| Ans: The chemical equation is given below- BaSO4(s) → Ba2+(aq) + SO42-(aq) At t = 0 1 0 0 At equilibrium in water 1-S S S
At equilibrium in the presence 1-S S (S+0.01) of sulphuric acid Ksp for BaSO4 in water = [ Ba2+ ] [ SO24- ] = (S) (S) = S2 But S = 8 x 10-4 mol dm-3 Ksp = (8 × 10-4)2 = 64 × 10-8 ... (1) The expression for Ksp in the presence of sulphuric acid will be as follows: Ksp = (S) (5 + 0.01) ... (2) Since value of Ksp will not change in the presence of sulphuric acid, therefore from (1) and (2) (S) (S + 0.01) = 64 × 10-8 S2 + 0.01 S = 64 × 10-8 S2 + 0.01 S - 64 × 10-8 = 0 S = When we solve the above equation, we will get the value of S is= 6 × 10-4 mol-1 dm-3 |
| 11. pH of 0.08 mol dm–3 HOCl solution is 2.85. Calculate its ionisation constant. |
| Ans: pH of HOCL = 2.85 But ,- pH = log [H+] -2.85=log[H+] = -3.15 = log[H+] [H+]=anti log3.15 [H+]= 1.413× 10-3 or weak mono basic acid [H+]= C = = = =24.957 10-6 =2.4957 10-5 |
| 12. Calculate the pH of a solution formed by mixing equal volumes of two solutions A and B of a strong acid having pH = 6 and pH = 4 respectively |
| Ans: we can find the pH of the solution as- pH of solution A=6 Hence, concentration of [H+] ion in solution A=10-6mol L-1 pH of solution B=4 Therefore, concentration of [H]+ ion in solution B=10-4mol L-1 On mixing one litre of each solution, total volume = 1L+1L=2L. Amount of H+ ions in 1L of solution A= concentration× Volume(V)= 10-6mol× IL Amount of H+ ions in 1L of solution B=10-4mol×1L ∴ Total amount of H+ ions in the solution formed by mixing solutions A and B is (10-5mol+10-4mol) This amount is present in 2L solution, ∴ Total H+ =210-4 (1+0.01)=21.01×10-4mol L-1 =21.01×10-4mol L-1 =0.5×10−4mol L−1 =5×10-5mol L-1. pH=−log[H]+=−log(5×10-5)=−log5+(−5log10) = −log5+5=5−log5=5−0.6990=4.3010=4.3 Thus, the pH of the solution will be 4.3. |
| 13. The solubility product of Al(OH)3 is 2.7 × 10–11. Calculate its solubility in gL–1 and also find out pH of this solution. (Atomic mass of Al = 27 u). |
| Ans: Let us assume S be the solubility of Al(OH)3. Ksp=[Al3+][OH-]3=(S)(3S)3=27S4 S4=27Ksp=27 × 1027 × 10-11=1 × 10-12 S=1×10−3 mol L-1. (i) Solubility of Al(OH)3 : Molar mass of Al(OH)3 is 78g. Hence, solubility of Al(OH)3 in gL-1=1 × 103 × 78gL-1=78 × 10-3gL1=7.8 × 10-2gL-1 OH=3S= 3×1× 10−3 = 3× 10−3 pOH=3−log3 pH=14−pOH= 11+log3= 11.4771. |
| 14. Calculate the volume of water required to dissolve 0.1 g lead (II) chloride to get a saturated solution. (Ksp of PbCl2 = 3.2 × 10–8 , atomic mass of Pb = 207 u). |
| Ans: Ksp=3.2 × 10-8 PbCl2⇌Pb2+ +2Cl- Ksp=(S)(2S)2 Ksp=4S3 s3=43.2 × 10-8 s3=8 × 10-9 s=2 × 10-3 Molar mass of PbCl2=278g/mol By using Molarity formula, 2 × 10-3= 278 × x0.1 x=
= x=0.18L |
| 15. A reaction between ammonia and boron trifluoride is given below: : NH3 + BF3 → H3N : BF3 Identify the acid and base in this reaction. Which theory explains it? What is the hybridisation of B and N in the reactants? |
| Ans: As, NH3 is Lewis base while BF3 is Lewis acid. Lewis electronic theory of acids and bases explains it. Hybridisation state: N in NH3 is sp3 hybridised and Boron in BF3 is sp2 hybridised. |
| 16. Following data is given for the reaction: CaCO3 (s) → CaO (s) + CO2 (g) ∆fHᶱ [CaO(s)] = – 635.1 kJ mol–1 ∆fHᶱ[CO2(g)] = – 393.5 kJ mol–1 ∆fHᶱ[CaCO3(s)] = – 1206.9 kJ mol–1 Predict the effect of temperature on the equilibrium constant of the above reaction. |
| Ans: ΔrHᶱ= ∆fHᶱ [CaO(s)]+ ∆fHᶱ[CO2(g)]− ∆fHᶱ[ [CaCO3(s)] ∴ ∆fHᶱ =178.3kJ mol−1. The reaction is endothermic. Hence, according to Le Chatelier’s principle, reaction will proceed in forward direction on increasing temperature. |
Multiple Answer
| 1. We know that the relationship between Kc and Kp is Kp = Kc (RT)∆n What would be the value of ∆n for the reaction NH4Cl (s) ⇌ NH3 (g) + HCl (g) (i) 1 (ii) 5 (iii) 5 (iv) 2 |
| Ans: option(iv) The relationship between Kp and Kc is Kp=Kc(RT)Δn Where ∆n = (number of moles of gaseous products) – (number of moles of gaseous reactants) For the reaction, NH4C1(s)⇆NH3(g)+HCl(g) Δn=2–0=2 |
| 2. For the reaction H2(g) + I2(g) ⇌ 2HI (g), the standard free energy is ∆Gᶱ > 0. The equilibrium constant (K ) would be __________. (i) K = 0 (ii) K > 1 (iii) K = 1 (iv) K < 1 |
| Ans: option(iv) The given chemical reaction is: H2(g) + I2(g) ⇌ 2HI (g) By, thermodynamical equation of equilibrium, ∆Gᶱ= -RTlnk>0 Now, R>0 & T>0 ⇒ −lnK > 0 ⇒ K<1 |
| 3. Which of the following is not a general characteristic of equilibria involving physical processes? (i) Equilibrium is possible only in a closed system at a given temperature. (ii) All measurable properties of the system remain constant. (iii) All the physical processes stop at equilibrium. (iv) The opposing processes occur at the same rate and there is dynamic but stable condition. |
| Ans: option (iii) A physical equilibrium is having dynamic nature, both forward and reverse process occur at equal rates. Some kind of motion is always present. The individual molecules continuously move from one phase to another. |
| 4. PCl5, PCl3 and Cl2 are at equilibrium at 500K in a closed container and their concentrations are 0.8 × 10–3 mol L–1, 1.2 × 10–3 mol L–1 and 1.2 × 10–3 mol L–1 respectively. The value of Kc for the reaction PCl5 (g) ⇌PCl3 (g) + Cl2 (g) will be (i) 1.8 × 103 mol L–1 (ii) 1.8 × 10–3 (iii) 1.8 × 10–3 L mol–1 (iv) 0.55 × 104 |
| Ans: The given reaction is :- PCl5(g)⇌PCl3(g)+Cl2(g) KC= =1.2×10−3 ×1.2×10−3 0.8×10−3 =1.8×10−3molL−1 |
| 5. Which of the following statements is incorrect? (i) In equilibrium mixture of ice and water kept in perfectly insulated flask mass of ice and water does not change with time. (ii) The intensity of red colour increases when oxalic acid is added to a solution containing iron (III) nitrate and potassium thiocyanate. (iii) On addition of catalyst the equilibrium constant value is not affected. (iv) Equilibrium constant for a reaction with negative ∆H value decreases as the temperature increases. |
| Ans: option (ii) The intensity of red colour increases when oxalic acid is added to a solution containing iron (III) nitrate and potassium thiocyanate. |
| 6. When hydrochloric acid is added to cobalt nitrate solution at room temperature, the following reaction takes place and the reaction mixture becomes blue. On cooling the mixture it becomes pink. On the basis of this information mark the correct answer. [Co (H2O)6] 3+ (aq) + 4Cl– (aq) ⇌ [CoCl4]2– (aq) + 6H2O (l) (pink) (blue) (i) ∆H > 0 for the reaction (ii) ∆H < 0 for the reaction (iii) ∆H = 0 for the reaction (iv) The sign of ∆H cannot be predicted on the basis of this information. |
| Ans: option (i) On cooling the mixture reaction moves towards backward direction it means it is an endothermic reaction i.e., |
| 7. The pH of neutral water at 25°C is 7.0. As the temperature increases, ionisation of water increases, however, the concentration of H+ ions and OH– ions are equal. What will be the pH of pure water at 60°C? (i) Equal to 7.0 (ii) Greater than 7.0 (iii) Less than 7.0 (iv) Equal to zero |
| Ans: As Kw increases Ans: As Kw increases [H+][OH-] 10-14 [H+]=[OH-] [H+]=[OH-] [H+]2 = 110-14 [H+] 10-7 |
| 8. The ionisation constant of an acid, Ka , is the measure of strength of an acid. The Ka values of acetic acid, hypochlorous acid and formic acid are 1.74 × 10–5, 3.0 × 10–8 and 1.8 × 10–4 respectively. Which of the following orders of pH of 0.1 mol dm–3 solutions of these acids is correct? (i) acetic acid > hypochlorous acid > formic acid (ii) hypochlorous acid > acetic acid > formic acid (iii) formic acid > hypochlorous acid > acetic acid (iv) formic acid > acetic acid > hypochlorous acid |
| Ans: option(iv) Higher the value of Ka higher will be the acidic strength Ka value for formic acid is highest and that will be of hypochlorous acid is lowest. |
| 9. Ka1 , Ka2 and Ka3 are the respective ionisation constants for the following reactions. H2S H+ + HS HS– H+ + S2 H2S 2H+ + S2 The correct relationship between is Ka1 , Ka2 and Ka3
|
| Ans: option(i) H2S⇌H+ +HS− Ka1 HS−⇌H++S2− Ka2 H2S⇌2H++S2− Ka3 Ka1= Ka2= Ka3=Ka1.Ka2 |
| 10. Acidity of BF3 can be explained on the basis of which of the following concepts? (i) Arrhenius concept (ii) Bronsted Lowry concept (iii) Lewis concept (iv) Bronsted Lowry as well as Lewis concept |
| Ans: option (iii) BF3 is an electron deficient species that is why it is a Lewis acid. (all Lewis acid can accept a pair of electrons. |
| 11. Which of the following will produce a buffer solution when mixed in equal volumes? (i) 0.1 mol dm–3 NH4OH and 0.1 mol dm–3 HCl (ii) 0.05 mol dm–3 NH4OH and 0.1 mol dm–3 HCl (iii) 0.1 mol dm–3 NH4OH and 0.05 mol dm–3 HCl (iv) 0.1 mol dm–3 CH4COONa and 0.1 mol dm–3 NaOH |
| Ans: option(iii) When 0.1 mol dm-3 NH4OH and 0.05 mol dm-3 HCl react total amount of HCl reacts with NH4OH to form NH4Cl and some NH4OH will be left unreacted. Thus, the resultant solution contains NH4Cl and NH4OH which will produce a buffer solution. |
| 12. In which of the following solvents is silver chloride most soluble? (i) 0.1 mol dm–3 AgNO3 solution (ii) 0.1 mol dm–3 HCl solution (iii) H2O (iv) Aqueous ammonia |
| Ans: option(iv) Aqueous ammonia will absorb chloride ions and thus the equilibria will shift in forward direction and solubility of silver chloride will increase. |
| 13. What will be the value of pH of 0.01 mol dm–3 CH3COOH (Ka = 1.74 × 10–5 )? (i) 3.4 (ii) 3.6 (iii) 3.9 (iv) 3.0 |
| Ans: option (i) pH for weak acid is given by the following equation: pH= [pKa−logC] = [−log(1.74×10−5)−log0.01] =3.4 |
| 14. Ka for CH3COOH is 1.8 × 10–5 and K b for NH4OH is 1.8 × 10–5 . The pH of ammonium acetate will be (i) 7.005 (ii) 4.75 (iii) 7.0 (iv) Between 6 and 7 |
| Ans: option(iii) The equation for weak acid and weak base is given as- pH=7+ (pKa−pKb) Ka=1.8×10-5 pKa=−log (1.8×10-5) =5−log1.8 =4.744 pKb=−log (1.8×10-5) =4.744 pH=7+ (pKa−pKb) =7 |
| 15. Which of the following options will be correct for the stage of half completion of the reaction A ⇌ B. (i) ∆Gᶱ = 0 (ii) ∆Gᶱ> 0 (iii) ∆Gᶱ< 0 (iv) ∆Gᶱ= –RT ln2 |
| Ans: option(i) When the reaction is half completed, [A] = [B]. |
| 6. On increasing the pressure, in which direction will the gas phase reaction proceed to re-establish equilibrium, is predicted by applying the Le Chatelier’s principle. Consider the reaction. N2 (g) + 3H2 (g) ⇌2NH3 (g) Which of the following is correct, if the total pressure at which the equilibrium is established, is increased without changing the temperature? (i) K will remain same (ii) K will decrease (iii) K will increase (iv) K will increase initially and decrease when pressure is very high |
| Ans: option(i) The given reaction is :- N2 (g) + 3H2 (g) ⇌2NH3 (g) A/C to vart Hoff's eqn, = K is dependent on temperature. As temperature remains constant at equilibrium, so K will remain constant in the given conditions. |
| 17. What will be the correct order of vapour pressure of water, acetone and ether at 30°C. Given that among these compounds, water has maximum boiling point and ether has minimum boiling point? (i) Water < ether < acetone (ii) Water < acetone < ether (iii) Ether < acetone < water (iv) Acetone < ether < water |
| Ans: option(ii) Greater the boiling point, lower will be the vapour pressure. |
| 18. At 500 K, equilibrium constant, Kc , for the following reaction is 5. (g) + (g) ⇌ HI (g) What would be the equilibrium constant Kc for the reaction 2HI(g) ⇌ H2 (g) + I2 (g) (i) 04 (ii) 4 (iii) 25 (iv) 5 |
| Ans: option(i) If the equation is multiplied by 2, the equilibrium constant for the new equation is the square of K it means we must do the square of 5 that is 25. Then and on reversing the reaction the value of the equilibrium constant is inversed means the value of K comes out to be 1/25= 0.04. |
| 19. In which of the following reactions, the equilibrium remains unaffected on addition of small amount of argon at constant volume? (i) H2 (g) + I2 (g) ⇌ 2HI (g) (ii) PCl5 (g) ⇌ PCl3 (g) + Cl2 (g) (iii) N2 (g) + 3H2 (g) ⇌2NH3 (g) (iv) The equilibrium will remain unaffected in all the three cases. |
| Ans: option(iv) Since in all the given reaction, the volume is to be kept constant and an inert gas argon is added which will do not take part in reaction. So, the equilibrium will remain unaffected in all the given cases. |
| In the following questions two or more options may be correct. 20. For the reaction N2O4 (g) ⇌2NO2 (g), the value of K is 50 at 400 K and 1700 at 500 K. Which of the following options is correct? (i) The reaction is endothermic (ii) The reaction is exothermic (iii) If NO2 (g) and N2O4 (g) are mixed at 400 K at partial pressures 20 bar and 2 bar respectively, more N2O4 (g) will be formed. (iv) The entropy of the system increases. |
| Ans: , option (i), (iii) and (iv) As, K increases with increase in temperature. K increases, it shows that the reaction must be endothermic. No. of molecules increases thus, there is increase in entropy. |
| 21. At a particular temperature and atmospheric pressure, the solid and liquid phases of a pure substance can exist in equilibrium. Which of the following term defines this temperature? (i) Normal melting point (ii) Equilibrium temperature (iii) Boiling point (iv) Freezing point |
| Ans: options (i) and (iv) Ice and water are in equilibrium only at particular temperature and pressure. For any pure substance at atmospheric pressure, the temperature at which the solid and liquid phases are at equilibrium is called the normal melting point or normal freezing point of the substance. For example, it is 4°C in case of water. The system here is in dynamic equilibrium. |
Matching Type Answer
| 1. Match the following equilibria with the corresponding condition.
|
||||||||||
| Ans: (i) → (b); (ii) → (d); (iii) → (c); (iv) → (a). |
| 2. For the reaction : N2(g) + 3H2(g) ⇌ 2NH3(g) Equilibrium constant Kc = Some reactions are written below in Column I and their equilibrium constants in terms of Kc are written in Column II. Match the following reactions with the corresponding equilibrium constant.
|
||||||||||
| Ans: (i) → (d); (ii) → (c); (iii) → (b) |
| 3. Match standard free energy of the reaction with the corresponding equilibrium constant.
|
||||||||
| Ans: (i) → (d); (ii) → (a); (iii) → (b). |
| 4. Match the following species with the corresponding conjugate acid.
|
||||||||||||
| Ans: (i) → (b); (ii) → (e); (iii) → (c); (iv) → (d) |
| 5. Match the following graphical variation with their description- A B
|
||||||
| Ans: (i) → (c); (ii) → (a); (iii) → (b). |
| 6. Match Column (I) with Column (II). Column I Column II-
|
||||||||
| Ans: (i) →c; (ii) → (d); (iii) → (a). |
Assertive Type Answer
| In the following questions a statement of Assertion (A) followed by a statement of Reason (R) is given. Choose the correct option out of the choices given below each question. 1. Assertion (A) : Increasing order of acidity of hydrogen halides is HF < HCl < HBr < HI Reason (R) : While comparing acids formed by the elements belonging to the same group of periodic table, H–A bond strength is a more important factor in determining acidity of an acid than the polar nature of the bond. (i) Both A and R are true and R is the correct explanation of A. (ii) Both A and R are true but R is not the correct explanation of A. (iii) A is true but R is false. (iv) Both A and R are false. |
| Ans: option(i) As, H-A bond strength is a more important factor in determining acidity than its polar nature. As the size of A increases down the group, H-A bond strength decreases. |
| 2. Assertion (A) : A solution containing a mixture of acetic acid and sodium acetate maintains a constant value of pH on addition of small amounts of acid or alkali. Reason (R) : A solution containing a mixture of acetic acid and sodium acetate acts as a buffer solution around pH 4.75. (i) Both A and R are true and R is correct explanation of A. (ii) Both A and R are true but R is not the correct explanation of A. (iii) A is true but R is false. (iv) Both A and R are false. |
| Ans: option(ii) The solutions which resist change in pH on dilution or with the addition of small amounts of acid or alkali are called buffer solutions. |
| 3. Assertion (A): The ionisation of hydrogen sulphide in water is low in the presence of hydrochloric acid. Reason (R) : Hydrogen sulphide is a weak acid. (i) Both A and R are true and R is correct explanation of A. (ii) Both A and R are true but R is not correct explanation of A. (iii) A is true but R is false (iv) Both A and R are false |
| Ans: option(ii) In presence of H+ ion, equilibrium shifts in backward direction. |
| 4. Assertion (A): For any chemical reaction at a particular temperature, the equilibrium constant is fixed and is a characteristic property. Reason (R) : Equilibrium constant is independent of temperature. (i) Both A and R are true and R is correct explanation of A. (ii) Both A and R are true but R is not correct explanation of A. (iii) A is true but R is false. (iv) Both A and R are false |
| Ans: option(iii) The equilibrium constant for an exothermic reaction (negative H) decreases as the temperature increases. The equilibrium constant for an endothermic reaction (positive H) increases as the temperature increases. |
| 5. Assertion (A) : Aqueous solution of ammonium carbonate is basic. Reason (R) : Acidic/basic nature of a salt solution of a salt of weak acid and weak base depends on Ka and Kb value of the acid and the base forming it. (i) Both A and R are true and R is correct explanation of A. (ii) Both A and R are true but R is not correct explanation of A. (iii) A is true but R is false. (iv) Both A and R are false. |
| Ans: Ka and Kb values are responsible for acidic and basic characters of substances. Hence option (i) is the correct answer. |
| 6. Assertion (A): An aqueous solution of ammonium acetate can act as a buffer. Reason (R) : Acetic acid is a weak acid and NH4OH is a weak base. (i) Both A and R are true and R is correct explanation of A. (ii) Both A and R are true but R is not correct explanation of A. (iii) A is false but R is true. (iv) Both A and R are false. |
| Ans: option (iii) Salt of weak acid and weak base can form buffer solution. |
| 7. Assertion (A): In the dissociation of PCl5 at constant pressure and temperature addition of helium at equilibrium increases the dissociation of PCl5 . Reason (R) : Helium removes Cl2 from the field of action. (i) Both A and R are true and R is correct explanation of A. (ii) Both A and R are true but R is not correct explanation of A. (iii) A is true but R is false. (iv) Both A and R are false. |
| Ans: option(iv) If the volume is kept constant and an inert gas such as argon is added which does not take part in the reaction, the equilibrium remains undisturbed. |
Commonly asked questions
A sparingly soluble salt having general formula Ap+x Bq- y and molar solubility S is in equilibrium with its saturated solution. Derive a relationship between the solubility and solubility product for such salt.
The equation can be written as-
Ap+x + Bq- y ? xAp+ (aq) + yBq-
S moles of A and B dissolves to give x S moles of Ap+ and y S moles of Bq-.
Ksp = [Ap+]x [Bq-]y = [x5]x [y5]y
= xx y y 5 x+y
JEE Mains 2022
JEE Mains 2022
Commonly asked questions
Among the following species
The number of species showing diamagnesim is __________.
In N2 &
In other species ® no. of unpaired electron
The enthalpy of combustion of propane, graphite and dihydrogen at 298 K are -2220.0 kJ mol-1, -393.5kJ mol-1 and -285.8kJ mol-1 respectively. The magnitude of the enthalpy of formation of propane C3H8 is _________ kJ mol-1 (Nearest integer)
3C (Graphite) + 4H2 (g) -> C3H8 (g)
= -10.3.7 kJ/mole
The pressure of a moist gas at is 0.04 atm. The volume of the container is doubled at the same temperature. The new pressure of the moist gas is _______ × 10-1atm. (Nearest integer)
(Given: The vapour pressure of water at is 0.4 atm)
Pressure of gas = pressure of moist gas – Vapour pressure of water
= 4 atm – 0.4 atm
= 3.6 atm
On doubling the volume, pressure of gas is halved :
Total pressure =
The cell potential for is 0.801 V at 298 K. The reaction quotient of the above reaction is 10-2. The number of electrons involved in the given electrochemical cell reaction is _________.
(Given:
Net call reaction :
Using Nernst equation
No. of electron involved = 4
The half life for the decomposition of gaseous compound A is 240s when the gaseous pressure was 500 Torr initially, When the pressure was 250 Torr, the half life was found to be 4.0 min. The order of the reaction is _________. (Nearest integer)
Consider the following metal complexes:
[Co(NH3)6]3+
[CoCl(NH3)5]2+
[Co(CN)6]3-
[Co(NH3)5(H2O)]3+
The spin-only magnetic moment value of the complex that absorbes light with shortest wavelength is _____________. B.M (Nearest integer)
Complex absorbing minimum wavelength of light means the value of for it is maximum.
That complex will be
No. of unpaired electron = 0
Among Co3+, Ti2+, V2+ and Cr2+ ions, one if used as a reagent cannot liberate H2 from dilute mineral acid solution, its spin-only magnetic moment in gaseous state is _________ B.M. (Nearest integer)
will not get oxidized, so will not liberate H2 gas upon reaction with acidic solution.
No. of unpaired electron = 4
Spin only magnetic moment =
While estimating the nitrogen present in an organic compound by Kjeldahl’s method, the ammonia evolved from 0.25 g of the compound neutralized 2.5 mL of M H2SO4. The percentage of nitrogen present in organic compound is _________.
Organic compound -> NH3
No. of millimoles of NH3 = 2 × no. of milimoles of H2SO4
= 2 × 2 × 2.5
= 10 milimoles
= No. of milimoles of N
Mass of nitrogen =
% of Nitrogen in compound =
= 56%
The number of sp3hybridised carbons in an acyclic neutral compound with molecular formula C4H5N is __________.
Degree of unsaturation = 4 + 1 -
sp3 hybridized only one carbon
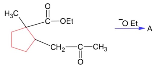
In the given reaction
(Where Et is -C2H5)
The number of chiral carbon/s in product A is __________.
2 (only 2 carbon will chiral in product form)
Chemistry NCERT Exemplar Solutions Class 11th Chapter Seven Exam



