
Carboxylic acid (R-COOH) is a natural acid compound. It includes a carboxyl group connected to an R-Group (R refers to an alkyl, aryl, or other groups in the same line). Carboxylic acids are acidic due to the hydrogen component, which is present in them. Carboxylic acids’ acidity is much higher than that of alcohol or other simple phenols. They respond with the weak link bases like carbonated and bicarbonates to let go of the carbon dioxide gas.
- Carboxylic Acid’s Acidity and its Derivations
- Properties of Carboxylic Acids
- Names and Structures of some Carboxylic Acids
- Uses of Carboxylic Acids for Production and Manufacture
- Uses of Carboxylic Acids in Pharmaceutical Preparations
- Uses of Carboxylic Acids in the Food Industry
- Carboxylic Acids for Class 12
- Illustrated Examples
- FAQs on Carboxylic Acids Acidity
Carboxylic Acid’s Acidity and its Derivations
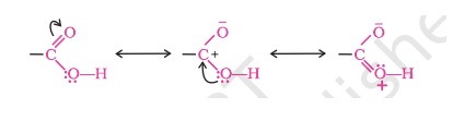
Carboxylic acids get separated when put in water, thus forming carboxylate ions and hydronium ions. Carboxylate ions stay stable because they contain negative charges, which help in effective delocalization in water and maintain the acetate ion’s resonance structure.
The carboxylic acid acidity can be derived from the nature of the alkyl, aryl, or alkenyl groups (commonly called R- Group) as they are attached to the carboxyl group. As mentioned above, the electron extraction and insertion can cause the acidity level to go up and down. It also ensures the effective and proper delocalization of the negative and positive charge through resonance.
Properties of Carboxylic Acids
- Solubility: The hydroxyl and carbonyl groups form the carboxyl group. Small carboxylic acids are dissolvable or soluble in water as the concentration of the alkyl group present in them is small. On the other hand, large carboxylic acids are insoluble or have limited solubility when it’s compared with the first. This is due to the large concentration of the alkyl group present in it.
- Boiling point: Compared to water, a carboxylic acid has a higher boiling point because it has a large surface area.
- Acidity: Acidity present in carboxylic acids is greater than the phenols. Carboxylic acids are the organic acids, often referred to as weak acids, because they can partially separate in the water and form two solutions, i.e., H3O+ cations and RCOO− anions.
Names and Structures of some Carboxylic Acids
Uses of Carboxylic Acids for Production and Manufacture
- It serves as a disinfectant.
- Formic acid is used as a reducing agent and for textile treatment.
- Acetic acid is used for the production of cellulose plastics and esters.
- Methanoic acid has its applications in rubber, textile, dyeing, leather and electroplating industries.
- Hexanedioic acid’s usage is in the manufacture of nylon-6, 6.
- Oleic acid is applied in the manufacturing of soaps and detergents.
- Esters of benzoic acid are noted for their use in perfumery.
- Acrylic acid is deployed for the production of acrylic esters and resins, which are primarily used in coatings and adhesives.
- Methacrylic acid acts as a raw material for the manufacture of ion-exchange resins.
Uses of Carboxylic Acids in Pharmaceutical Preparations
- Homovanillic acid and vanillylmandelic acids, present in body fluids, are helpful for diagnosing neurological disorders.
- The drugs containing carboxylic acid groups like aspirin and phenacetin are used to treat pain and diseases.
- They have a variety of applications in the preparation of cosmetics. Palmitic acid and stearic acid are examples of acids used in cosmetics, soaps, candles and pharmaceutical products.
- They act as solubilizers for modifying the solubility and lipophilicity of antibiotic drugs.
- Alpha-hydroxy acids play a vital role in skin whitening and the treatment of acne.
Uses of Carboxylic Acids in the Food Industry
- They are naturally available in fruits and vegetables, like malic acids in grapes and apples, oxalic acids in parsley and broccoli and citric acids in citric fruits.
- Some of the acids are added as preservatives (lactic acid, sodium benzoate), emulsifiers (tartaric acid), antioxidants (ascorbic acid) and as flavours (propionic acid).
- Ethanoic acid is used as a solvent and as vinegar.
- Some of the carboxylic acids, like folic and nicotinic acid, act like vitamins for microbial nutrition.
Carboxylic Acids for Class 12
The topic is under the chapter ‘Aldehydes, ketones and carboxylic acids’. By the end of the unit, one can distinguish the functional groups and IUPAC names of aldehydes, ketones and carboxylic acids. Also, learn their structure, preparation, properties and uses. Multiple-choice questions from this topic are more common in the NEET exams. As per the current year 2021, the chapter - Aldehydes, Ketones & Carboxylic acid holds a weightage of 3-4 marks for Class 12.
Illustrated Examples
FAQs on Carboxylic Acids Acidity
Chemistry Aldehydes, Ketones and Carboxylic Acids Exam
Student Forum
Popular Courses After 12th
Exams accepted
CA FoundationExams accepted
ICSI ExamExams accepted
BHU UET | GLAET | GD Goenka TestBachelor of Business Administration & Bachelor of Law
Exams accepted
CLAT | LSAT India | AIBEExams accepted
IPMAT | NMIMS - NPAT | SET
Exams accepted
BHU UET | KUK Entrance Exam | JMI Entrance ExamBachelor of Design in Animation (BDes)
Exams accepted
UCEED | NIFT Entrance Exam | NID Entrance ExamBA LLB (Bachelor of Arts + Bachelor of Laws)
Exams accepted
CLAT | AILET | LSAT IndiaBachelor of Journalism & Mass Communication (BJMC)
Exams accepted
LUACMAT | SRMHCAT | GD Goenka Test