
Differentiation is the basic concept in calculus. It is used to find derivatives of functions. The derivative in Math is used to measure the change of a function with respect to another. Using the concept of differentiation, students can calculate the rate of change of a function over a period.
Also, differentiation is an important topic in terms of various entrance tests such as JEE Main and JEE Advanced.
Class 12 students must get familiar with the formula of differentiation, derivatives, rules of differentiation, and types of differentiation to clear the concept. Moreover, solving differentiation questions will help us understand the topic in detail.
- What is Differentiation?
- Differentiation Formulas
- Weightage of Differentiation
- Illustrated Examples on Differentiation
- FAQs on Differentiation
What is Differentiation?
The method of finding the derivative of any function is known as differentiation.
The derivative of f is denoted by f’(x) or d/dx f(x). f’(x) can also be written as ‘differentiate with respect to x.’
The derivative of f at c is defined by:
Some Basic Results and Rules of Differentiation
5. Derivatives of trigonometric functions
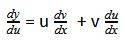
6. Derivative of the algebraic sum of two functions
If y = u+v and u and v are functions of x,
7. Product rule
If y = uv and u and v are functions of x,
8. Quotient rule
If y = u/v and u and v are functions of x,
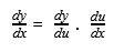
9. Chain rule
If y = f[g(x)] and u = g(x) then y = f(u) and
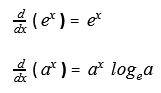
10. Differentiation of ex and ax
Differentiation Formulas
The formulas for differentiation equations are provided below. It is important to remember these formulas for quick calculation.
Weightage of Differentiation
The introduction of this topic has already been given in Class 11. In Class 12, this chapter carries 10-15 marks. This topic is a very important part of your board's syllabus. Apart from that, if you are thinking of pursuing engineering, then your differentiation should be very strong.
Illustrated Examples on Differentiation
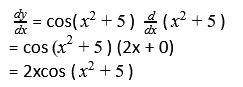
1. Differentiate the function with respect to x: sin(x2+5)
Solution.
Let y= sin(x2+5)
Differentiating both sides with respect to x
2. Find dy/dx of: 2x + 3y = sin x
Solution.
On differentiating with respect to x,
3. Find dy/dx of: xy + y2= tan x + y
Solution.
On differentiating with respect to x,
FAQs on Differentiation
Q: Is every continuous function derivable?
Q: What is the differentiation of 0?
Q: What is the differentiation of logex?
Q: Is every derivable function continuous?
Q: Is the differentiation of inverse trigonometric functions possible?
Explore exams which ask questions on Maths Differentiation
Select your preferred stream
Maths Differentiation Exam
Student Forum
Other Topics under this Chapter
Other Class 12th Maths Chapters
- Quantitative Aptitude Prep Tips for MBA
- Maths Integrals
- Maths Differential Equations
- Maths Vector Algebra
- Maths Matrices
- Maths Determinants
- Maths Inverse Trigonometric Functions
- Maths Differentiation
- NCERT Class 12 Maths
- Maths Continuity and Differentiability
- Maths Applications of Derivatives
- Maths Application of Integrals
- Maths Linear Programming
Popular Courses After 12th
Exams accepted
CA FoundationExams accepted
ICSI ExamExams accepted
BHU UET | GLAET | GD Goenka TestBachelor of Business Administration & Bachelor of Law
Exams accepted
CLAT | LSAT India | AIBEExams accepted
IPMAT | NMIMS - NPAT | SET
Exams accepted
BHU UET | KUK Entrance Exam | JMI Entrance ExamBachelor of Design in Animation (BDes)
Exams accepted
UCEED | NIFT Entrance Exam | NID Entrance ExamBA LLB (Bachelor of Arts + Bachelor of Laws)
Exams accepted
CLAT | AILET | LSAT IndiaBachelor of Journalism & Mass Communication (BJMC)
Exams accepted
LUACMAT | SRMHCAT | GD Goenka Test
