
Suppose, you bring a small compass close to a wire carrying current. The needle moves a little, but enough to make you wonder what is going on. That little nudge? It is caused by a magnetic field around the wire, something we now understand thanks to Ampere’s Circuital Law. This idea gives us a way to figure out how currents produce magnetic fields. Without it, we would struggle to design things like transformers, motors, or even simple coils. In the overview part, we will be briefly discussing the topics that are going to be covered in detail later on.
1 or 2 questions from Moving Charges and Magnetism chapter are asked in JEE main exam which makes Ampere’s Circuital law an important topic to be covered. The chapter approximately holds 7-12% weightage in this exam.
- What is Ampere's Circuital Law?
- Equations Related to Ampere's Circuital Law
- Types of Ampere's Circuital Law
- Working Principle of Ampere’s Circuital Law
- Examples of Ampere’s Circuital Law
- Practical Applications of Ampere’s Circuital Law
- Importance of Ampere’s Circuital Law
What is Ampere's Circuital Law?
The line integral on a closed curve of any shape is equal to m0 (permeability of free space) times the net current I through the area bounded by the curve.
Uses : To find out magnetic field due to infinite current carrying wire
Θ = 0º so B d = B 2πR ( B = const.)
Now by Ampere's law : B 2πR = B =
Historical Development of Ampere's Circuital Law
In the early 1800s, Hans Ørsted ran a current through a wire and noticed a compass needle shift. That observation opened the door. It told scientists, wait—electricity can affect magnetism?
Then Ampère took it further. He didn’t just observe the effect—he measured it. He showed that electric current and magnetic fields were directly related. His work gave us the law named after him.
Later, Maxwell realized Ampère’s version had a blind spot. In situations where the electric field changed, the math didn’t hold up. So he added what we now call displacement current to fix it. That update turned Ampère’s Law into one of the four Maxwell equations—cornerstones of electromagnetism.
Equations Related to Ampere's Circuital Law
Hollow Current Carrying Infinitely long cylinder
I is uniformly distributed on the whole circumference
(i) for r > R
By symmetry the amperian loop is a circle.
1. Θ = 0
b. B = B=const => B=
(ii) r < R =
= B(2πr) = 0 => Bin = 0
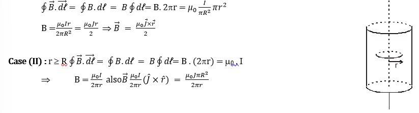
Solid Infinite Current Carrying Cylinder
Assume current is uniformly distributed on the whole cross section area
Case (I) : r ≤ R
take an amperian loop inside the cylinder. By symmetry it should be a circle whose centre is on the axis of cylinder and its axis also coincides with the cylinder axis on the loop.
Types of Ampere's Circuital Law
There are basically two ways to write this law:
Integral Form: This is the loop version, the one we’ve seen already. Great for symmetrical cases where you can walk a loop around a current.
Which one you use depends on the situation. For simple loops and wires, stick with the integral. For more complex systems, the differential form is your friend.
Do remember that this chapter is also important for CBSE Board exam and NEET exam.
Working Principle of Ampere’s Circuital Law
When an electric current flows, it generates a magnetic field around it. If you curl your right hand’s fingers around a wire with your thumb pointing in the direction of the current, your fingers show the direction of the magnetic field. The law lets us calculate how strong that magnetic field is, depending on the current and the distance from the wire, or any shape that the current takes. It’s like mapping out invisible lines that loop around the wire.
Examples of Ampere’s Circuital Law
Practical Applications of Ampere’s Circuital Law
- Take electromagnets, for example. You have got a coil of wire, you run current through it, and you get a magnetic field. This happens because Ampere’s Law is doing the work. The stronger the current, the stronger the field. Engineers use it to decide how many turns the coil needs, how much current to use, and what kind of core to stick in the middle (like iron).
- Now, take inductors. These are coils of wire used in all kinds of electronic circuits, and their main job is to store energy, but not in the way a battery does. They store it in the magnetic field that forms when current flows through the coil. What’s interesting is how that field depends entirely on the current and the way the wire is arranged. If the current suddenly changes, the inductor pushes back a bit, trying to keep the magnetic field steady. That’s where Ampere’s Law comes in — it helps you figure out how strong that magnetic field will be and how it wraps around the coil.
- Transformers shift voltages up or down in power lines and electronics. If you want them to work right, you’ve got to know how the magnetic field flows through that iron core. And how much field you get depends on the current in the wire coils. That’s exactly the kind of thing Ampere’s Law helps you figure out.
Importance of Ampere’s Circuital Law
This law isn’t just a piece of theory—it’s used all over the place. Engineers lean on it when designing inductors, electromagnets, or even complex circuits. It helps predict how magnetic fields behave when currents flow through different shapes.
And for students or physicists? It offers a shortcut. When the current distribution has some symmetry—like in wires or solenoids, you do not need to have the knowledge of complex equations since Ampere’s Law simplifies it.
Plus, it forms part of the bigger picture. It is one of Maxwell’s equations, meaning it plays a role in explaining light, radio waves, and more
Physics Moving Charges and Magnetism Exam
Student Forum
Other Class 12th Physics Chapters
- Physics Alternating Current
- Physics Ray Optics and Optical Instruments
- Physics Electromagnetic Induction
- Physics Dual Nature of Radiation and Matter
- Physics Semiconductor Devices
- Physics Wave Optics
- Physics Current Electricity
- Physics Nuclei
- Physics Electrostatic Potential and Capacitance
- Physics Atoms
- Physics Moving Charges and Magnetism
- NCERT Class 12 Notes
- NCERT Class 12 Physics
- Physics Electric Charge and Field
- Physics Electromagnetic Waves
- Physics Magnetism and Matter