
Trigonometry Class 11 Solutions deal with ‘measuring the sides of a triangle’. The term was initially developed to solve the geometric problems related to triangles. However, now it is used in many areas such as designing electric circuits, the science of seismology, predicting the heights of tides in the ocean, describing the state of an atom, analysing a musical tone, and in many other fields.
Trigonometry class 11 includes the trigonometric functions, angles, and trigonometric functions of the sum and difference of two angles. Students should go through these concepts thoroughly. It will help them to score high in the school exam, CBSE Board, and other competitive exams like the JEE Main exam.
Here, you can find the chapter-wise important topics and free PDFs of the NCERT solutions of Maths, Physics, Chemistry of Class 11 and Class 12.
- Trigonometry Class 11 NCERT Solutions Key Concepts
- Class 11 Chapter 3 Trigonometric Functions: Key Topics, Weightage
- Important Formulas of Trigonometry Class 11
- Class 11 Chapter 3 Trigonometric Functions NCERT Solution PDF: Free PDF Download
- Class 11 Chapter 3 Trigonometric Functions Exercise-wise Solution
- Class 11 Chapter 3 Trigonometric Functions Exercise 3.1 Solution
- Class 11 Chapter 3 Trigonometric Functions Exercise 3.2 Solution
- Class 11 Chapter 3 Trigonometric Functions Exercise 3.3 Solution
- Class 11 Chapter 3 Trigonometric Functions Exercise 3.4 Solution
- Class 11 Chapter 3 Trigonometric Functions Miscellaneous Exercise Solution
Trigonometry Class 11 NCERT Solutions Key Concepts
Here is a walkthrough of the Class 11 Trigonometry:
- In a circle, the radian measure is: The degree measure is:
Class 11 Chapter 3 Trigonometric Functions: Key Topics, Weightage
In Trigonometry Class 11 Solutions, focus on the properties of triangles, trigonometric equations, and identities. See below the topics covered in this chapter:
| Exercise | Topics Covered |
|---|---|
| 3.1 | Introduction |
| 3.2 | Angles |
| 3.3 | Trigonometric Functions |
| 3.4 | Trigonometric Functions of Sum and Difference of Two Angles |
Trigonometry Class 11 Weightage in JEE Main Exam
| Exam | Number of Questions | Weightage |
|---|---|---|
| JEE Main | 2-3 questions | 7% to 10% |
Important Formulas of Trigonometry Class 11
Trigonometric Functions Important Formulae for CBSE and Competitive Exams
Reciprocal Identities:
Quotient Identities:
Pythagorean Identities:
Trigonometric Functions of Sum and Difference of Angles
- Sum and Difference Formulas:
More Useful Links
| NCERT Notes for Class 11 & 12 | NCERT Class 11 Notes |
Class 11 Chapter 3 Trigonometric Functions NCERT Solution PDF: Free PDF Download
To prepare well for the school examination, CBSE Board, and other entrance exams, students must study from these NCERT solutions created by Shiksha's experts. They must download the Trigonometry Class 11 NCERT PDF from the link given below.
Class 11 Chapter 3 Trigonometric Functions NCERT Solution PDF: Free PDF Download
To get access to the Class 11th Maths NCERT Solutions curated by our subject experts with important topics and weightage, check here.
Class 11 Chapter 3 Trigonometric Functions Exercise-wise Solution
Class 11 Chapter 3 Trigonometric Functions NCERT Solution PDF: Free PDF Download
Class 11 Chapter 3 Trigonometric Functions Exercise 3.1 Solution
NCERT Solutions of ex 3.1 class 11 focuses on the measurement of angles in degrees and radians, using relationship between and angles in different forms and solve problems related to arc length and sector angles. The Class 11 Math exercise 3.1 also includes application-based problems involving real-life scenarios such as the motion of a wheel, and the properties of a circle’s chord. Students can check complete solution of the Trigonometric function Exercise 3.1 below;
Class 11 Chapter 3 Trigonometric Functions Ex 3.1 NCERT SolutionQ1. Find the radian measures corresponding to the following degree measures: (i) 25° (ii) – 47°30′ (iii) 240° (iv) 520° |
| A.1. (i)25° Solution:We know that 180° = π radian. Hence, 25° = 25 radian= radians. (ii).47°30′ Solution: We know that 180° = π radian, Hence, -47°30′= -47 × degree= × radians. = radians (iii) 240° Solution:We know that, 180°= radian. Hence, 240°= 240× radian. = radian. (iv) 520° Solution: We know that, 180= radian. Hence, 520°= 520°× radian. = radian. |
| Q2. Find the degree measures corresponding to the following radian measures (i) (ii)-4 (iii) (iv) |
| A.2. (i) We know that radian= 180°, Hence, radian= × = × = × ×180 = =39 0 = 39 + minute (as 1 =60′) =39°+22′+ =39°+22′+ (as 1′=60”) =39°+22′+30”. =39° 22′ 30”. (ii) -4 We know that radian = 180°. Hence: -4 radian = -4× = 4× = 4×180°× . = - =229 0 =229+ =229+5′+ . =229°+5′+27″ =229° 5′27″ (iii) . Solution: We know that, π radian= 180°. Here radian = × =300° (iv) Solution: We know that radian =180° . Here, radian = × =210° |
| Q3. A wheel makes 360 revolutions in one minute. Through how many radians does it turn in one second? |
| A.3. Given that a wheel makes 360 revolutions in one minute Then, number of revolutions in one second = =6. In 1 complete revolution the wheel turns 360°= 2π radian. So, In 6 revolution, the wheel will turns 6×2π radian = 12π radian. Hence, in one second the wheel will turn an angle of 12π radian. |
| Q4. Find the degree measure of the angle subtended at the centre of a circle of radius 100 cm by an arc of length 22 cm |
| A.4. Here l = 22cm. r =100cm. Ø = ? Hence by r = = Ø = = radian = × = × 180° × = =12 = 12° |
| Q5. In a circle of diameter 40 cm, the length of a chord is 20 cm. Find the length of minor arc of the chord.
|
|
So, radius, r = cm = 20 cm Length of chord (AB) = 20cm In OAB OA = OB=AB=20 cm Hence, AOAB is equilateral triangle and end of the angle is 60° :. Ø =60° = 60 × radian = radian Hence, length of minor are of the chord, l=rØ. l = 20 × cm l = cm. |
| Q6. If in two circles, arcs of the same length subtend angles 60° and 75° at the centre, find the ratio of their radii. |
| Q7. Find the angle in radian through which a pendulum swings if its length is 75 cm and the tip describes an arc of length (i) 10 cm (ii) 15 cm (iii) 21 cm |
| A.7. Here, r= length of pendulum. r= 75 cm. (i)Are of length, l = 10 cm
Ø= = radian. (ii) are of length, l = 15 cm. So, Ø= = radian. (iii) are for length, l= 21 cm. So, Ø= radian. |
Commonly asked questions
Find the values of the trigonometric functions in Exercises 13 to 17.
13. sin 765°
13. sin 765°
We know that value of sun x repeats after an interval of 2π or 360°.
Sin (765°) = sin (2×360°+45°)
= sin 45°
= 1/√2.
22. Find the value of:
(i) sin 75° (ii) tan 15°
22. (i) sin 75°= sin (45°+30°)
Using sin (x + y)= sin x cos y + cos x sin y we can write
sin 75°
= sin 45°cos 30°+ 45° sin 30°

29. sin26x – sin24x = sin 2x sin 10x
29. L.H.S

So, L.H.S
As we can write.
R.H.S
51. sin x + sin 3x + sin 5x = 0
51. We have,
sinx + sin 3x + sin 5x = 0.
(sinx + sin 5x) + sin 3x = 0.
Using sin A + sin B = 2 sin cos .
2 sin cos + sin 3x = 0.
2 sin cos + sin 3x = 0.
2 sin 3xcos (-2x) + sin 3x = 0.
sin 3x [2 cos 2x + 1] = 0 [ cos (-x) = cosx].
sin 3x = 0 or 2 cos 2x + 1 = 0.
3x = nπ, n∈z. or cos 2x = = -cos = cos π -= cos
x= , n∈z or 2x = 2nπ± .
x = nπ± , n∈z.
41. cos 4x = 1 – 8sin2x cos2x
41. L.H.S. = cos 4x.
= cos 2 (2x)
= 1 – 2 Sin2 (2x) [ cos 2x = 1 – 2 Sin2x]
= 1 – 2 [2 sin xcosx]2 [ sin 2x = 2 sin xcos x]
= 1 – 2 [4 sin2xcos2x]
= 1 – 8 sin2xcos2x
= R.H.S.
42. cos 6x = 32 cos6x – 48cos4x + 18 cos2x – 1
42. L.H.S. = cos 6x
= cos 3 (2x)
= 4 cos32x – 3 cos 2x [Q cos 3A = 4 cos3A – 3cos A]
= 4 [ (2 cos2x – 1)3] – 3 [ (2 cos2x – 1)] [Q cos 2x = 2 cos2x – 1]
= 4 [ (2 cos2x)3 + 3 [ (2 cos2x)2 (–1) + 3 (2 cos2x) (–1)2 + (–1)3] – 3 (2 cos2x) + 3
{Q (a + b)3= a3 + b3 + 3a2b + 3ab2}
= 4 [8 cos6x – 12 cos4x + 6cos2x – 1] – 6 cos2x + 3.
= 32 cos6x – 48 cos4x + 24 cos2x – 4 – 6cos2x + 3
= 32 cos6x – 48 cos4x + 18 cos2x – 1
= R.H.S.
57.
57. L.H.S. =
Using sin A + sin B = 2 sin cos
cos A + cos B = 2 cos cos

48. cos 3x + cos x – cos 2x = 0
48. We have,
cos 3x + cosx-cos 2x = 0.
(cos 3x + cosx) cos 2x = 0
Using cos A + cos B = 2 cos cos
2 cos cos - cos 2x = 0.
2 cos cos - cos 2x = 0
2 cos 2xcosx - cos 2x = 0
cos 2x. (2 cosx - 1) = 0.
cos 2x = 0 or 2 cosx -1 = 0.
2x = (2n + 1) , n∈z or cosx = = cos
x = (2n + 1) , n∈z or x = 2nx± , n∈z.
46. cosec x = – 2
46. We have cosec x = 2 .i e, cosec x = (-)ve,
So, the principal solution lies in IIInd and IVth quadrent.
Now, cosec x = -2 = -cosec = cosec = cosec
So the principal solution are x = and
= and
= and
As cosec x = cosec ⇒sin x = sin
The general solution has the form,
x = nπ + (-1)n , n∈z.
49. sin 2x + cos x = 0
49. We have,
sin 2x + cosx = 0.
2 sin cosx + cosx = 0 ( sin 2x = 2 sin xcosx)
cosx (2 sin x + 1) = 0.
cosx = 0 or 2 sinx + 1 = 0.
x = (2n + 1) , n∈z or sin x = = -sin = sin π + = sin
x = (2n + 1) , x∈z or x= nπ + (-1)n n∈z.
Find the general solution for each of the following equations:
47. cos 4 x = cos 2 x
47. We have,
cos 4x = cos 2x.
⇒ cos 4x-cos 2x = 0.

⇒ -2 sin sin = 0.
⇒sin sin = 0
⇒sin 3x sin x = 0.
∴sin 3x = 0 or sin x = 0
3x = nπ or x = nπ, n∈z,
⇒x = or x = nπ, n∈z
50. sec22x = 1– tan 2x
50. We have,
sec2 2x = 1 tan 2x
1 + tan2 2x = 1 tan 2x [ sec2x = 1 + tan2x]
tan2 2x + tan 2x = 0.
tan 2x (tan 2x + 1) = 0.
tan 2x = 0 or tan 2x + 1 = 0.
2x = nπ, x∈z or tan 2x = -1 = -tan = tan π- = tan
x= , n∈z or 2x = nπ + , n∈z.
x = n∈z
38.
38. L.H.S
34.
34.
R.H.S
25. Kindly Consider the following

L.H.S =
Using cos (A + B) = cos A cos B – sin A sin B
and cos (A – B) = cos A cos B + sin A sin B

35.
35. L.H.S: =
= R.H.S.
58. sin 3x + sin 2x – sin x = 4sin x
58. L.H.S = sin 3x + sin 2x - sin x
= sin 3x - sin x + sin 2x.
= 2 cos .. sin + sin 2x
= 2 cos sin + sin 2x.
= 2 cos 2x sin x + 2 sin xcosx [ sin 2x = 2sin xcosx]
= 2 sin x [cos 2x + cosx]
= 2 sin x
= 2 sin x
= 4 sin xcos . cos = R.H.S.
12. tan x = –5/12, x lies in second quadrant.
12. Kindly go through the solution
37.
37.
= 2 sin x
= R.H.S.
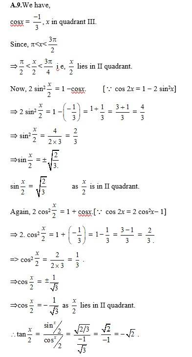
60. cos x = −1/3, x in quadrant III
60. Kindly go through the solution
61. sin x = 1/4 in quadrant II
61. Kindly go through the solution
19.

= R.H.S.
36.
36.
R.H.S
44. Kindly consider the following Secx = 2
44. Secx = 2. .
We have, Secx = 2, | Secx is (+)ve the principal solution lies in Ist and IVthquadrent.

= and
= and .
As secx = sec . cosx = cos
The general solution is
x = 2nπ ±, n ∈ z.
Class 11 Trigonometric Functions Exercise 3.2 Solution
Find the values of other five trigonometric functions in Exercises 8 to 12.
8. cos x = –1/2 , x lies in third quadrant.
8. Kindly go through the solution
20.
5. In a circle of diameter 40 cm, the length of a chord is 20 cm. Find the length of minor arc of the chord.

So, radius, r = cm = 20 cm
Length of chord (AB) = 20cm
In OAB
OA = OB=AB=20 cm
Hence, AOAB is equilateral triangle and end of the angle is 60°
:. Ø =60° = 60 ×
radian = radian
Hence, length of minor are of the chord, l=rØ.
l = 20 × cm
l = cm.
26.
26. L.H.S
Here,
So.L.H.S
= 1
= R.H.S.
31. sin2 x + 2 sin 4x + sin 6x = 4 cos2x sin 4x
31. L.H.S. = sin 2x + 2 sin 4x + sin 6x
Using sin A + sin B = 2 sin A + B/2 cos A - B/2 we have,
L.H.S. = (sin 2x + sin 6x) + 2 sin 4x
We know that,
Hence,
L.H.S
= R.H.S
33.
33.
= R.H.S
40.
40. L.H.S. = tan 4x
We know that,
, we can write
= R.H.S.
30. cos22x – cos26x = sin 4x sin 8x
30. L.H.S

As sin 2θ = 2 sinθ cosθ.
L.H.S. = sin (2*4x) sin(2*2x)
= sin 8x sin 4x
= R.H.S.
Find sin , cos and tan in each of the following :
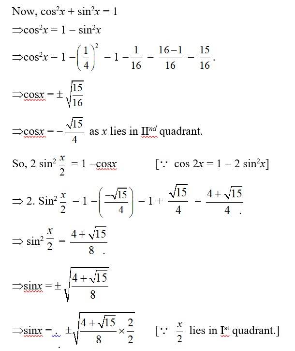
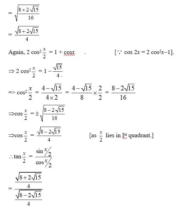
59. tan x = − , x in quadrant II
59. We have, tan x= , x in IInd quadrant.
Since,
sin , cos , tan are all positive.
Now, sec2x = 1 + tan2x = 1 + = 1 + = =
secx = ±
cosx = ± .
cosx = as x is in IInd quadrant.
Now, 2 sin2.. = 1 cosx. [cos 2x = 1 2 sin2x.]
2 sin2 = 1
2 sin2 = 1 += = .
sin2 = =

45. cot x = -√3
45. We have, cot x = -√3 i.e., cot x is negative
So, the principal solution lies in IInd and IVth quadrant.

So the principal solution are a = and
= and
= and
As cot x = cot tan x = tan
The general solution has the form.
x = n+ , nz
Class 11 Chapter 3 Trigonometric Functions Ex 3.1 NCERT Solution
1. Find the radian measures corresponding to the following degree measures:
(i) 25° (ii) – 47°30′ (iii) 240° (iv) 520°
1. (i) 25°
Solution:We know that 180° = π radian.
Hence, 25° = 25 radian= radians.
(ii) 47°30′
Solution: We know that 180° = π radian,
Hence, -47°30′= -47 × degree= × radians.
= radians
(iii) 240°
Solution:We know that, 180°= radian.
Hence, 240°= 240× radian.
= radian.
(iv) 520°
Solution: We know that, 180= radian.
Hence, 520°= 520°× radian.
= radian.
4. Find the degree measure of the angle subtended at the centre of a circle of radius 100 cm by an arc of length 22 cm
4. Here l = 22cm.
r =100cm.
Ø =?
Hence by r =
= Ø = = radian
= × /π
= × 180° ×
=
=12 = 12°
7. Find the angle in radian through which a pendulum swings if its length is 75 cm and the tip describes an arc of length
(i) 10 cm (ii) 15 cm (iii) 21 cm
7. Here,
r= length of pendulum.
r= 75 cm.
(i) Arc of length, l = 10 cm

Ø= = radian.
(ii) Arc of length, l = 15 cm.
So, Ø= = radian.
(iii) Arc for length, l= 21 cm.
So, Ø= radian.
53. (sin 3x + sin x) sin x + (cos 3x – cos x) cos x = 0
53. L.H.S = (sin 3x + sin x) + sin x + (cos 3x - cosx) cosx.
Using
Sin A + sin B = 2 sin cos
cos A - cos B = -2 sin sin .
L.H.S. = sin x + cosx
= 2 sin cos sin x -2 sin sin cosx.
= 2 sin 2xcosx sin x -2 sin 2x sin xcosx
= 0 = R.H.S.
21.
24.
6. If in two circles, arcs of the same length subtend angles 60° and 75° at the centre, find the ratio of their radii.
6. Let r1 and r2 be the radii of two circles.
Then using relation
2. Find the degree measures corresponding to the following radian measures
(i) (ii)-4 (iii) (iv)
2. (i)
We know that radian= 180°,
Hence, radian= ×
= × = × ×180
=
=39 0
= 39+ minute (as 1=60′)
=39°+22′+
=39°+22′+ (as 1′=60”)
=39°+22′+30”.
=39° 22′ 30”.
(ii) -4
We know that radian = 180°.
Hence: -4 radian = -4× = 4× = 4×180°× .
= -
=229 0
=229+
=229+5′+ .
=229°+5′+27″
=229° 5′27″
(iii) .
Solution: We know that, π radian= 180°.
Here radian = ×
=300°
(iv)
Solution: We know that radian =180° .
Here, radian = × =210°
16.
16. Kindly go through the solution
14. cosec (-1410°)
14. cosec (- 1410°)
As value of cosec x repeats after interval of 2π or 360°
∴ cosec (-1410°) = cosec (4×360°-1410°)
=cosec (1440°-1410°)
= cosec 30°
= 2.
17.
Class 11 Chapter 3 Trigonometric Functions Miscellaneous Exercise Solution
52.
52. L.H.S. = 2 cos cos + cos + cos =∂ .
= 2 cos cos + 2 cos cos
= 2 cos cos + 2. cos cos
= 2 cos cos + 2 cos cos [ cos (x) = cosx].
= 2 cos
= 2 cos
= 2 cos
= 2 cos × 2 ×cos × cos .
= 2 cos 2× 0×cos
= 0
= R.H.S.
39. cot x cot 2x – cot 2x cot 3x – cot 3x cot x = 1
39. L.H.S. = cot x cot 2x – cot 2x cot 3x – cot 3x cot x.
= cot x cot 2x – cot 3x (cot 2x + cot x)
= cot x cot 2x – (cot 2x + cot x) [cot (2x + x)]
We know that,
we can write
= cot x cot 2x – cot 2x cot x + 1
= R.H.S.
32. cot 4x (sin 5x + sin 3x) = cot x (sin 5x – sin 3x)
32. L.H.S

R.H.S

Hence, L.H.S. = R.H.S.
Prove the following:
23.
23. (i) sin 75°= sin (45°+30°)
Using sin (x + y)= sin x cos y + cos x sin y we can write
9. sin x = 3/5, x lies in second quadrant.
9. Kindly go through the solution
27. sin (n + 1)xsin (n + 2)x + cos (n + 1)x cos (n + 2)x = cos x
27. L.H.S
Let A = (n+1)x and B = (n+2)x
So, L.H.S = cosAcosB + sin Asin B
Putting values of A and B we get,
L.H.S =
R.H.S
54. (cos x + cos y)2 + (sin x – sin y)= 4 cos2
54. L.H.S. = (cos x + cos y)2 + (sin x- sin y)2
Using,
cos A + cos B = 2 cos cos
sin A - sin B = 2 cos sin
L.H.S. = .
= 4. cos2 cos2 .. + 4 cos2 sin2 .
= 4 cos2
= 4 cos2 [ cos2θ+ sin2qθ = 1].
= R.H.S.
56. sin x + sin 3x + sin 5x + sin 7x = 4 cos x cos 2x sin 4x
56. L.H.S = sin x + sin 3x + sin 5x + sin 7x.
= (sin x + sin 7x) + (sin 3x + sin 5x)
Using,
sin A + sin B = 2 sin cos
L.H.S. = 2. Sin cos + 2 sin cos
= 2 sin cos + 2 sin cos
= 2 sin 4x cos 3x + 2 sin 4x cosx.[ cos (-x) = cosx]
= 2 sin 4x[cos 3x + cosx]
Using cos A + cos B = 2 cos cos
So, L.H.S. = 2 sin 4x
= 2 sin 4x
= 4 sin 4x. cos 2x cosx = R.H.S.
Class 11 Chapter 3 Trigonometric Functions Exercise 3.4 Solution
Find the principal and general solutions of the following equations:
43. tan x = √3
43. tanx = √3
We have, tan x = √3
Since tan x is (+) ve the principal solution lies in Ist and IIInd quadrant
Now, tan x = √3 = tan . = tan
Principal solution are x = and
= and
= and .
As tan x = tan
The general solution is.
x = np + , n∈z
55. (cos x – cos y)2+ (sin x – sin y)2 = 4 sin2
55. L.H.S = (cos x-cos y)2 + (sin x- sin y)2
=
= 4 sin2 sin2 + 4 cos2 sin2
= 4 sin2
= 4 . [ sin2∅ + cos2∅= 1]
= R.H.S.
Class 11 Math Trigonometric Functions Exercise 3.3 Solution
18.

=R.H.S
10. cot x = 3/4, x lies in third quadrant.
10. Kindly go through the solution
11. sec x = 13/5, x lies in fourth quadrant.
11. Kindly go through the solution
3. A wheel makes 360 revolutions in one minute. Through how many radians does it turn in one second?
3. Given that a wheel makes 360 revolutions in one minute
Then, number of revolutions in one second = =6.
In 1 complete revolution the wheel turns 360°= 2π radian.
So, In 6 revolution, the wheel will turns 6×2π radian = 12π radian.
Hence, in one second the wheel will turn an angle of 12π radian.
Class 11 Chapter 3 Trigonometric Functions Exercise 3.2 Solution
Class 11 Math Exercise 3.2 focuses on the definition of trigonometric functions, understanding their domains and ranges, and solving problems based on their properties. The ex 3.2 class 11 Math covers key topics such as the definition of sine, cosine, tangent, and other trigonometric functions, and the fundamental concept of signs of trigonometric functions in different quadrants, helping students understand the variation of these functions across the coordinate plane. Class 11 Math Exercise 3.2 comprises 9 questions. Students can check the complete solution of the following exercise;
Class 11 Trigonometric Functions Exercise 3.2 SolutionFind the values of other five trigonometric functions in Exercises 1 to 5. Q1. cos x = –1/2 , x lies in third quadrant. |
| Q.2. sin x = 3/5, x lies in second quadrant. |
| Q.3. cot x = 3/4, x lies in third quadrant. |
| Q4. sec x = 13/5, x lies in fourth quadrant. |
| Q5. tan x = –5/12, x lies in second quadrant. |
| Find the values of the trigonometric functions in Exercises 6 to 10. Q6. sin 765° |
| A.6. sin 765° We know that value of sun x repeats after an interval of 2π or 360°. Sin (765°) = sin (2×360°+45°) = sin 45° = 1/√2. |
| Q7. cosec (-1410°) |
| A.7. cosec (- 1410°) As value of cosec x repeats after interval of 2π or 360° ∴ cosec (-1410°) = cosec (4×360°-1410°) =cosec (1440°-1410°) = cosec 30° = 2. |
| Q8. tan19π/3 |
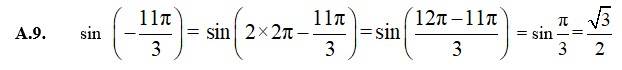
| Q9. |
| Q10. |
Class 11 Chapter 3 Trigonometric Functions Exercise 3.3 Solution
Class 11 Chapter 3 Trigonometric Functions Exercise 3.4 Solution
Class 11 Chapter 3 Trigonometric Functions Miscellaneous Exercise Solution
Explore exams which ask questions on Maths Ncert Solutions class 11th
Select your preferred stream
Maths Ncert Solutions class 11th Exam
Student Forum
Other Similar chapters for you
- Statistics
- Mathematical Reasoning
- Limits and Derivatives
- Introduction to Three Dimensional Geometry
- Conic Sections
- Straight Lines
- Sequences and Series
- NCERT Maths 11th
- Permutations and Combinations
- Linear Inequalities
- Complex Numbers and Quadratic Equations
- Principle of Mathematical Induction
- Trigonometric Functions
- Relations and Functions
- Sets
Popular Courses After 12th
Exams accepted
CA FoundationExams accepted
ICSI ExamExams accepted
BHU UET | GLAET | GD Goenka TestBachelor of Business Administration & Bachelor of Law
Exams accepted
CLAT | LSAT India | AIBEExams accepted
IPMAT | NMIMS - NPAT | SET
Exams accepted
BHU UET | KUK Entrance Exam | JMI Entrance ExamBachelor of Design in Animation (BDes)
Exams accepted
UCEED | NIFT Entrance Exam | NID Entrance ExamBA LLB (Bachelor of Arts + Bachelor of Laws)
Exams accepted
CLAT | AILET | LSAT IndiaBachelor of Journalism & Mass Communication (BJMC)
Exams accepted
LUACMAT | SRMHCAT | GD Goenka Test

















