
Class 11 Relations and Functions offers the concept of a relation involving pairs of objects in a certain order. In this chapter, students will learn that from two sets, how to link the pairs of objects and find relations between the two objects in the pair.
Relations and Functions Class 11 also covers the special relations and functions. It includes the exercises on relations, functions, and Cartesian products of sets. The well-structured solutions prepared by Shiksha's experts help students to understand the concepts and improve their problem-solving skills. The step-by-step solutions help them to solve complex problems easily and boost their confidence to score high in school exams, CBSE Board and JEE Main entrance exams.
For those seeking the NCERT Class 11 Notes of Physics, Chemistry and Maths for quick revision, must check here. They will get a comprehensive note of all these subjects.
- Glance at Class 11 Maths Chapter 2 Relations and Functions
- Class 11 Math Chapter 2 Relation and Function: Key Topics, Weightage
- Important Formulas of Class 11 Relations and Functions
- Class 11 Math Chapter 2 Relation and Function Solution PDF
- Class 11 Math Chapter 2 Relation and Function Exercise -wise solutions
- Class 11 Math Chapter 2 Relation and Function Exercise 2.1 solutions
- Class 11 Math Chapter 2 Relation and Function Exercise 2.2 solutions
- Class 11 Math Chapter 2 Relation and Function Exercise 2.3 solutions
- Class 11 Math Chapter 2 Relation and Function Miscellaneous Exercise solutions
Glance at Class 11 Maths Chapter 2 Relations and Functions
Here is a quick summary of the Class 11th Maths Chapter 2:
- The chapter talks about the relations and functions concepts.
- It covers the ordered pair, that is, a pair of elements that are arranged in a particular order.
- Cartesian product: It is mathematically shown as the following:
- Mathematically, the Algebra of functions is shown as:
Class 11 Math Chapter 2 Relation and Function: Key Topics, Weightage
In the Relations and Functions Class 11 Maths, students must focus on the sets, relation types, and function types. The syllabus for JEE Mains includes the concepts of properties of sets, set operations (union, intersection, complement), functions and relations, including their composition and types. The following are the topics covered in the Class 11 Maths Chapter 2:
| Exercise | Topics Covered |
|---|---|
| 2.1 | Introduction |
| 2.2 | Cartesian Products of Sets |
| 2.3 | Relations |
| 2.4 | Functions |
Class 11th Maths Chapter 2 Relations and Functions Weightage in JEE Main
| Exam | Number of Questions | Weightage |
|---|---|---|
| JEE Main | 1-2 questions | 3.3% |
Important Formulas of Class 11 Relations and Functions
Relation and Function Important Formulae for CBSE and Competitive Exams
Number of Relations:
Number of Functions:
One-One Function Condition:
Inverse of a Function
-
Exists only if f is bijective
-
If f(x) = y, then f⁻¹(y) = x
Composite Functions
- If f: A → B and g: B → C,
- then composite function; (g ∘ f)(x) = g(f(x))
Class 11 Math Chapter 2 Relation and Function Solution PDF
Download the Class 11 Maths Chapter 2 PDF from the link given below. The chapter includes many important topics in Mathematics. Once you download it, you can access it anywhere without an internet connection. Hence, it gives the flexibility of studying offline.
Class 12 Math Chapter 1 Relation and Function Solution: Free PDF Download
Read more:
| Class 11 Maths NCERT Notes (Chapter-wise) | NCERT Notes for Class 11 & 12 |
| NCERT Solutions for Class 11 Maths | NCERT Solutions Class 11 and 12 for Maths, Physics, Chemistry |
Class 11 Math Chapter 2 Relation and Function Exercise -wise solutions
The class 11 Relation and Function chapter 1 exercises deal with many important topics, such as relations and function basics, type of relations, symmetric and asymmetric relations, functions, their domain, and ranges. Students will encounter problems related to different concepts and properties of relations and functions in the exercises. Candidates can check the exercise-wise Chapter 2 Relation and Function Exercise-wise solutions below;
Class 11 Math Chapter 2 Relation and Function Exercise 2.1 solutions
Class 11 Relation and Function Exercise 2.1 focuses on fundamental concepts such as the introduction of relations, definition, ordered pairs, and the Cartesian product of sets. This chapter develops an understanding of how elements from two sets are paired and how different types of relations are formed. Class 11 Relation and Function Exercise 2.1 will consist of 10 solved Questions in simple language. Students can check the complete solutions of exercise 2.1 below;
Class 11 Math Chapter 2 Relation and Function Exercise 2.1 solutions |
| A.1. Since the ordered pairs are equal, the corresponding elements are equal. and
y = 1. |
| Q2. If the set A has 3 elements and the set B = {3, 4, 5}, then find the number of elements in (A×B). |
| A.2. Given, n(A) = 3 n(B) = 3 or B = {3,4,5} So, number of elements in A× B = n(A× B) = n(A)× n(B) = 3 ×3 = 9. |
| Q3. If G = {7, 8} and H = {5, 4, 2}, find G × H and H × G. |
| A.3. Given, G = {7, 8} and H = {5, 4, 2} By the definition of the Cartesian product, G ×H = {(x, y): x∈G and y = ∈ H} = {((7, 5), (7, 4), (7, 2), (8, 5),(8,4), (8,2)} H× G = {(x, y): x∈ H and y ∈G} = {(5, 7), (5, 8), (4,7), (4, 8), (2, 7), (2,8)} |
| Q4. State whether each of the following statements are true or false. If the statement is false, rewrite the given statement correctly. (i) If P = {m, n} and Q = { n, m}, then P × Q = {(m, n),(n, m)}. (ii) If A and B are non-empty sets, then A × B is a non-empty set of ordered pairs (x, y) such that x A and y B. (iii) If A = {1, 2}, B = {3, 4}, then A ×
|
| A.4. (i) False. Here P = {m, n}, n(p)=2 Q = {n, m}, n(Q)=2 n(P× Q) = n(P)× n(Q) = 2× 2 = 4. So, P ×Q = {((m, n),(m, m),(n, n),(n, m)} (ii) True. (iii) True. { A ×(B
= n(A) ×0 {∵
=
|
| Q5. If A = {–1, 1}, find A × A × A. |
| A.5. Given, A = {1,1} So, A× A = {(1,1),(1,1),(1,1),(1,1)} A ×A ×A = {(1,1),(1,1),(1,1),(1,1)} ×{1,1} = {(1,1.1),(1, 1, 1),(1, 1, 1,),(1,1,1), (1,1,1), (1, 1,1), (1, 1,1), (1,1,1)} |
| Q6. If A × B = {(a, x),(a , y), (b, x), (b, y)}. Find A and B. |
| A.6. Given, A ×B = {(a, x),(a, y),(b, x),(b, y)} We know that, A ×B = {(p, q); p ∈ A and q ∈ B} So, A = {a, b} and B = {x, y}. |
| Q7. Let A = {1, 2}, B = {1, 2, 3, 4}, C = {5, 6} and D = {5, 6, 7, 8}. Verify that (i) A × (B∩ C) = (A × B)∩ (A × C). (ii) A × C is a subset of B × D. |
| A.7.Given, A={1, 2}, B = {1,2,3,4}, C={5,6} and D={5,6,7,8} (i)L.H. S = A ×(B∩ C) = {1,2} [{1,2,3,4} ∩{5,6}] ={1,2}×
=
R.H.S = (A× B)∩ (A ×C)=[{1,2}×{1,2,3,4}]∩[{1,2} {5,6}] =[{(1 , 1), (1, 2), (1, 3), (1, 4), (2, 1), (2, 2), (2, 3), (2, 4)]∩ [{1,5),(1,6),(2,5), (2,6)}] =
Hence, L.H.S= R.H.S. (ii) A× C ={1, 2}× {5,6} ={(1,5),(1,6),(2,5),(2,6)} B× D ={1,2,3,4} ×{5,6,7,8} ={(1,5),(1,6),(1,7),(1,8),(2,5),(2,6),(2,7),(2,8),(3,5),(3,6),(3,7),(3,8),(4,5),(4,6),(4,7),(4,8)} As every element of A C is also an element of B× D. A ×C B ×D |
| Q8. Let A = {1, 2} and B = {3, 4}. Write A × B. How many subsets will A × B have? List them. |
| A.8. A Given, A={1,2} B={3,4} So, A× B={(1,3),(1,4),(2,3),(2, 4)} i.e., n(A ×B)=4 A ×B will have subset =24=16.They are, Φ,{(1,3)},{(1,4)},{(2, 3)},{(2,4)},{(1,3),(1,4)},{(1,3),(2,3)}, {(1,3),(2, 4)},{(1,4),(2, 3)},{(1,4),(2, 4)}, {(2,3),(2, 4)}, {(1,3),(1,4),(2, 3)},{(1,3),(1,4),(2,4)}, {(1,3),(2,3),(2, 4)},{(1,4),(2,3),(2,4)}, and {(1,3),(1,4),(2,3),(2,4)} |
| Q9. Let A and B be two sets such that n(A) = 3 and n(B) = 2. If (x, 1), (y, 2), (z, 1) are in A × B, find A and B, where x, y and z are distinct elements. |
| A.9. Given, n(A)=3 n(B)= 2 So, n(Ax B)=n(A).n(B)=3x 2=6 as (x, 1),(y, 2),(z, 1) ∈Ax B={(x, y), x∈Aand y∈B}. A={x, y, z} and B={1,2} As n(A) = 3as n(B) = 2 |
| Q10. The Cartesian product A × A has 9 elements among which are found (–1, 0) and (0,1). Find the set A and the remaining elements of A × A. |
| A.10. Given, n(A × A)=9 n(A) ×n(A) = 9. n(A)2 = 32. n(A) = 3 . And (–1,0),(0,1) A × A i.e., A × A = {(x, y), x A, y B} ⸫A={–1,0,1} And A × A={–1,0,1} × {–1,0,1} ={(–1, –1),( –1,0),( –1,1),(0, –1),(0,0),(0,1),(1, –1),(1,0),(1,1)} |
Commonly asked questions
25. The relation f is defined by
The relation g is defined by
Show that f is a function and g is not a function.
25. Given, f(x)=
f(x)={(0,0),(1,1),(2,4),(3,9),(4,12),(5,15),(6,18),(7,21),(8,24),(9,27),(10,30)}
So, the elements in domain of f has one and only one image.
? f(x) is a function.
Given, g(x)= .
g(x)={(0,0),(1,1),(2,4),(2,6),(3,9),(4,12),(5,15),(6,18),(7,21),(8,24),(9,27),(10,30)}
So, the element 2 of the domain has more than one image i.e., 4 and 6.
? g(x) is not a function.
27. Find the domain of the function f (x) .
27. Given, f (x)=
The given function is valid if denominator is not zero.
So, if x2 – 8x+12=0.
⇒ x2 – 2x – 6x+12=0
⇒ x (x – 2) –6 (x – 2)=0
⇒ (x – 2) (x – 6)=0
⇒ x=2 and x=6.
So, f (x) will be valid for all real number x except x=2,6.
∴ Domain of f (x)=R – {2,6}
16. Determine the domain and range of the relation R defined by R = {(x, x + 5) : x {0, 1, 2, 3, 4, 5}}.
16. Given, R = { (x, x+5): x {0,1,2,3,4,5}
= { (0,0+5), (1,1+5), (2,2+5), (3,3+5), (4,4+5), (5,5+5)}
= { (0,5), (1,6), (2,7), (3,8), (4,9), (5,10)}
So, domain of R= {0,1,2,3,4,5}
range of R= {5,6,7,8,9,10}
9. Let A and B be two sets such that n(A) = 3 and n(B) = 2. If (x, 1), (y, 2), (z, 1) are in A × B, find A and B, where x, y and z are distinct elements.
9. Given, n (A)=3
n (B)= 2
So, n (Ax B)=n (A).n (B)=3x 2=6
as (x, 1), (y, 2), (z, 1) ∈Ax B= { (x, y), x∈Aand y∈B}.
A= {x, y, z} and B= {1,2}
As n (A) = 3as n (B) = 2
30. Let be a function from R into R. Determine the range of f.
30. Given, f (x)=
We know that, for x R.
So, x2≥ 0 ⇒
and x2+1>x2
⇒
⇒1 > f (x).
So, 0 ≤ f (x) < 1
∴ Range of f (x) = [0,1).
26. If f (x) = x2, find
26. Given, f(x)=x2.
18. Let A = {x, y, z} and B = {1, 2}. Find the number of relations from A to B.
18. Given, A={x, y, z}so, n(A)=3
B={1,2} so n(B)=2
? n(A × B)=n(A) ×n(B)=3 × 2=6
Hence, no. of relation from A to B=Number of subsets of A × B
=26
=64.
Class 11 Math Chapter 2 Relation and Function Exercise 2.2
11. Let A = {1, 2, 3,...,14}. Define a relation R from A to A by R = {(x, y) : 3x – y = 0, where x, y A}. Write down its domain, co-domain and range.
11. Given, A = {1,2,3, …, 14}
R = { (x, y): 3x – y = 0; x, y A}
= { (x, y): 3x = y; x, y A}.
= { (1,3), (2,6), (3,9), (4,12)}
Domain of R is the set of all the first elements of the ordered pairs in R
So, domain of R= {1,2,3,4}
Codomain of R is the whole set A.
So, codomain of R= {1,2,3, …, 14}
Range of R is the set of all the second elements of the ordered pains in R.
So, range of R= {3,6,9,12}
24. Find the range of each of the following functions.
(i) f (x) = 2 – 3x, x R, x > 0.
(ii) f (x) = x2+ 2, x is a real number.
(iii) f (x) = x, x is a real number.
24. (i) f(x)=2 – 3x, x R, x>0.
Given, x>0
3x>3 × 0
3x>0
(–1) × 3x<(–1) × 0.
–3x<0
2 – 3x<0+2
2 – 3x<2
i.e., f(x) < 2
Hene, range of f(x) = (– ?, 2)
(ii) Given, f(x) = x2+2, x is a real number.
Since, x is a real number,
x2 ≥ 0 (x2=0 for x=0)
x2+2 ≥ 0+2
x2+2 ≥ 2
f(x) ≥ 2
?Range of f(x) = [2, ?)
(iii) Given, f(x) = x, x is a real number.
As, f(x) = x, the range of f(x) is also real.
i.e., Range of f(x) = R.
22. A function f is defined by f(x) = 2x –5. Write down the values of (i) f (0), (ii) f (7), (iii) f (–3)
22. Give, f (x) = 2x – 5.
(i) f (0)= (2 * 0) –5=0 – 5= –5
(ii) f (7)= (2 * 7) –5=14 – 5=9
(iii) f (–3)=2 * (–3) –5= –6 – 5= –11.
15. Let A = {1, 2, 3, 4, 6}. Let R be the relation on A defined by {(a, b): a , b A, b is exactly divisible by a}.
(i) Write R in roster form
(ii) Find the domain of R
(iii) Find the range of R.
15. Given, A= {1,2,3,4,6}
R= { (a, b): a, b A, b is exactly divisible by a}
(i) R= { (1,1), (1,2), (1,3), (1,4), (1,6), (2,2), (2,4), (2,6), (3,3), (3,6), (4,4), (6,6)}
(ii) Domain of R= {1,2,3,4,6}
(iii) Range of R= {1,2,3,4,6}
7. Let A = {1, 2}, B = {1, 2, 3, 4}, C = {5, 6} and D = {5, 6, 7, 8}. Verify that (i) A × (B∩ C) = (A × B)∩ (A × C). (ii) A × C is a subset of B × D.
7. Given,
A= {1, 2}, B = {1,2,3,4}, C= {5,6} and D= {5,6,7,8}
(i) L.H. S = A × (B∩ C) = {1,2} [ {1,2,3,4} ∩ {5,6}]
= {1,2}×
= .
R.H.S = (A× B)∩ (A ×C)= [ {1,2}× {1,2,3,4}]∩ [ {1,2} {5,6}]
= [ { (1, 1), (1, 2), (1, 3), (1, 4), (2, 1), (2, 2), (2, 3), (2, 4)]∩ [ {1,5), (1,6), (2,5), (2,6)}]
= .
Hence, L.H.S= R.H.S.
(ii) A× C = {1, 2}× {5,6}
= { (1,5), (1,6), (2,5), (2,6)}
B× D = {1,2,3,4} × {5,6,7,8}
= { (1,5), (1,6), (1,7), (1,8), (2,5), (2,6), (2,7), (2,8), (3,5), (3,6), (3,7), (3,8), (4,5), (4,6), (4,7), (4,8)}
As every element of A C is also an element of B× D.
A ×C B ×D
36. Let A = {9,10,11,12,13} and let f : A→N be defined by f (n) = the highest prime factor of n. Find the range of f.
36. Given, A={9,10,11,12,13}.
f(x)=the highest prime factor of n.
and f: A → N.
Then, f(9)=3 [? prime factor of 9=3]
f (10)=5 [? prime factor of 10=2,5]
f(11)=11 [? prime factor of 11 = 11]
f(12)=3 [? prime factor of 12 = 2, 3]
f(13)=13 [? prime factor of 13 = 13]
?Range of f=set of all image of f(x) = {3,5,11,13}.
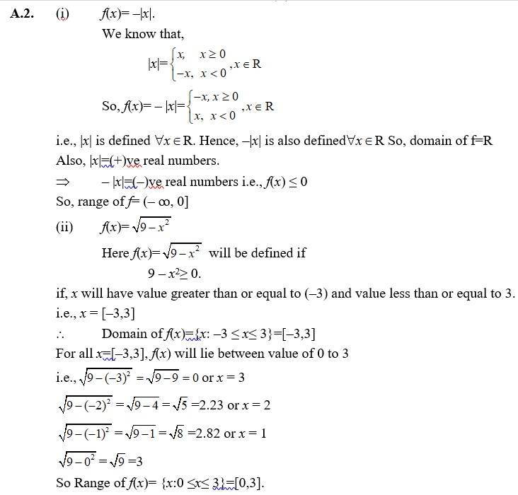
28. Find the domain and the range of the real function f defined by ![]()
28. Given, f (x)= ![]()
The given fxn is valid for all x such that x – 1 ≥ 0 ⇒x≥ 1
∴ Domain of f (x)= [1,∞)
As x ≥ 1
⇒ x – 1 ≥ 1 – 1
⇒ x – 1 ≥ 0
⇒ ≥ 0
⇒ f (x) ≥ 0
So, range of f (x)= [0,∞ )
1. If , find the values of x and y.
1. Since the ordered pairs are equal, the corresponding elements are equal.
and
y = 1.
19. Let R be the relation on Z defined by R = {(a,b): a, b Z, a – b is an integer}. Find the domain and range of R.
19. Given, R= { (a, b): a, b z and a – b is an integer}
We know that, the difference of two integers is also an integer.
R= { (a, b): a – b z & a, b z}
Domain of R=Z.
Range of R= Z.
20. Which of the following relations are functions? Give reasons. If it is a function, determine its domain and range.
(i) {(2,1), (5,1), (8,1), (11,1), (14,1), (17,1)}
(ii) {(2,1), (4,2), (6,3), (8,4), (10,5), (12,6), (14,7)}
(iii) {(1,3), (1,5), (2,5)}.
20. (i) Domain of the given relation = {2,5,8,11,14,17}
Since every element of the domain has one and only one image, the given relation is a fxn.
So, domain = {2,5,8,11,14,17}
range = {1}
(ii) Domain of the given relation = {2,4,6,8,10,12,14}
Since every element of the domain has one and only one image, the given relation is a fxn.
So, domain = {2, 4, 6, 8, 10, 12, 14}
range = {1,2,3,4,5,6,7}
(iii) Domain of the given relation = {1,2}
As element 1 has more than one image i.e., 3 and 5, the given relation is not a fxn.
33. Let R be a relation from N to N defined by R = {(a, b) : a, b N and a = b2}. Are the following true?
(i) (a,a) R, for all a _ N
(ii) (a,b) R, implies (b,a) R
(iii) (a,b) R, (b,c) R implies (a,c) R.
Justify your answer in each case.
33. Given, R= { (a, b): a, b N and a = b2}
(i) Let a = 2 N
Then b = 22 = 4 N
but a ≠ b.
Hence the given statement is not true.
(ii) For a=b2 the inverse b=a2 may not hold true
Example (4,2) R, a=4, b=2 and a=b2
but (2,4) R.
Hence, the given statement is not true.
(iii) If (a, b) R
a=b2…… (1)
and (b, c) R
b=c2……. (2)
so for (1) and (2),
a= (c2)2=c4.
is, a ≠c2,
Hence, (a, c) R.
? The given statement is false.
4. State whether each of the following statements are true or false. If the statement is false, rewrite the given statement correctly.
(i) If P = {m, n} and Q = { n, m}, then P × Q = {(m, n),(n, m)}.
(ii) If A and B are non-empty sets, then A × B is a non-empty set of ordered pairs (x, y) such that x A and y B.
(iii) If A = {1, 2}, B = {3, 4}, then A × .
4. (i) False. Here P = {m, n}, n (p)=2
Q = {n, m}, n (Q)=2
n (P× Q) = n (P)× n (Q) = 2× 2 = 4.
So, P ×Q = { (m, n), (m, m), (n, n), (n, m)}
(ii) True.
(iii) True. { A × (B ∩ ?) = A× ? . {∴ B ∩ ? = ? }
= n (A) ×0 {? is empty set}
= ?
29. Find the domain and the range of the real function f defined by .
29. Given, f(x)=|x – 1|.
The given function is defined for all real number x.
Hence, domain of f(x)=R.
As f(x)=|x – 1|, x R is a non-negative no.
Range of f(x)=[0, ?), if positive real numbers.
32. Let f = {(1,1), (2,3), (0,–1), (–1, –3)} be a function from Z to Z defined by f(x) = ax + b, for some integers a, b. Determine a, b.
32. Given, f(x) = (ax + b)
= {(1,1),(2,3),(0, – 1),(–1, –3)} .
As (1,1) f.
Then, f(1)=1 [? f(x) = y for (x, y)]
a × 1+b=1
a+b=1…… (1)
and (0, – 1) f .
Then, f(0)= –1
a× 0+b= –1
b= –1……..(2)
Putting value of (2) in (1) we gets
a – 1=1
a=1+1
a=2
So, (a, b)=(2, –1)
10. The Cartesian product A × A has 9 elements among which are found (–1, 0) and (0,1). Find the set A and the remaining elements of A × A.
10. Given, n (A × A)=9
n (A) ×n (A) = 9.
n (A)2 = 32.
n (A) = 3 .
And (–1,0), (0,1) A × A i.e., A × A = { (x, y), x A, y B}
? A= {–1,0,1}
And A × A= {–1,0,1} × {–1,0,1}
= { (–1, –1), ( –1,0), ( –1,1), (0, –1), (0,0), (0,1), (1, –1), (1,0), (1,1)}
12. Define a relation R on the set N of natural numbers by R = {(x, y) : y = x + 5, x is a natural number less than 4; x, y N}. Depict this relationship using roster form. Write down the domain and the range.
12. Given, R = { (x, y): y = x + 5, x is a natural number less than 4; x, y N}
= { (x, y): y = x + 5; x, y N and x < 4}.
= { (1,1+5), (2,2+5), (3,3+5)}
= { (1,6), (2,7), (3,8)}
So, domain of R = {1,2,3}
range of R = {6,7,8}
13. A = {1, 2, 3, 5} and B = {4, 6, 9}. Define a relation R from A to B by R = {(x, y): the difference between x and y is odd; x A, y B}. Write R in roster form.
13. Given, A= {1,2,3,5}
B= {4,6,9}
R= { (x, y) : the difference of x & y is odd; x A, y B}.
= { (x, y):|x – y| is odd and x A, y B}
= { (1,4), (1,6), (2,9), (3,4), (3,6), (5,4), (5,6)}.

14. The Fig 2.7 shows a relationship between the sets P and Q. Write this relation (i) in set-builder form (ii) roster form. What is its domain and range?
14. As R is a relation from set P to Q.
(i) R = { (x, y): x – 2 = y ; 5 ≤ x ≤ 7}
(ii) R = { (5,3), (6,4), (7,5)}
Domain of R= {5,6,7}
range of R= {3,4,5}
31. Let f, g : R→R be defined, respectively by f(x) = x + 1, g(x) = 2x – 3. Find f + g, f – g and .
31. Given, f(x) = x+1. and g(x) = 2x – 3.
So, (f +g)(x) = f(x)+g(x) = (x+1)+(2x – 3) = x+1+2x – 3 = 3x – 2
(f – g)(x) = f(x) –g(x) = (x+1)–(2x–3) = x+1 – 2x+3 = 4 – x
34. Let A ={1,2,3,4}, B = {1,5,9,11,15,16} and f = {(1,5), (2,9), (3,1), (4,5), (2,11)} Are the following true?
(i) f is a relation from A to B
(ii) f is a function from A to B.
Justify your answer in each case.
34. Given,
A={1,2,3,4}
B={1,5,9,11,15,16}
f={(1,5),(2,9),(3,1),(4,5),(2,11)}.
(i) As every element of f is an element of A × B
We can clearly say that f A × B.
?f is a relation from A to B.
(ii) As the element 2 of the domain has two image i.e., 9 and 11. f is not a function.
35. Let f be the subset of Z × Z defined by f = {(ab, a + b) : a, b _ Z}. Is f a function from Z to Z? Justify your answer.
35. Given, f={(ab, a+b): a, b z}
Let a=1 and b=1; a, b z.
So, ab=1 × 1=1
a+b=1+1=2.
So, we have the order pair (1,2).
Now, let a= –1 and b= –1; a, b z
So, ab=(–1) × (–1)=1
a+b=(–1)+(–1)= –2
So, the ordered pair is (1, –2).
?The element 1 has two image i.e., 2 and –2.
Hence, f is not a function.
8. Let A = {1, 2} and B = {3, 4}. Write A × B. How many subsets will A × B have? List them.
8. A Given, A= {1,2}
B= {3,4}
So, A× B= { (1,3), (1,4), (2,3), (2, 4)}
i.e., n (A ×B)=4
A ×B will have subset =24=16.They are,
Φ, { (1,3)}, { (1,4)}, { (2, 3)}, { (2,4)}, { (1,3), (1,4)}, { (1,3), (2,3)},
{ (1,3), (2, 4)}, { (1,4), (2, 3)}, { (1,4), (2, 4)}, { (2,3), (2, 4)},
{ (1,3), (1,4), (2, 3)}, { (1,3), (1,4), (2,4)}, { (1,3), (2,3), (2, 4)}, { (1,4), (2,3), (2,4)},
and { (1,3), (1,4), (2,3), (2,4)}
17. Write the relation R = {(x,x3) : x is a prime number less than 10} in roster form.
17. GivenR= { (x, x3) : x is a prime number less than 10}
R = { (x, x3) : x = 2,3,5,7}
= { (2,23), (3,33), (5,53), (7,73)}
= { (2,8), (3,27), (5,125), (7,343)}
3. If G = {7, 8} and H = {5, 4, 2}, find G × H and H × G.
3. Given, G = {7, 8} and H = {5, 4, 2}
By the definition of the Cartesian product,
G ×H = { (x, y): x∈G and y = ∈ H}
= { (7, 5), (7, 4), (7, 2), (8, 5), (8,4), (8,2)}
H× G = { (x, y): x∈ H and y ∈G}
= { (5, 7), (5, 8), (4,7), (4, 8), (2, 7), (2,8)}
2. If the set A has 3 elements and the set B = {3, 4, 5}, then find the number of elements in (A×B).
2. Given, n (A) = 3
n (B) = 3 or B = {3,4,5}
So, number of elements in A* B = n (A* B) = n (A)* n (B) = 3 *3 = 9.
5. If A = {–1, 1}, find A × A × A.
5. Given, A = {1,1}
So, A* A = { (1,1), (1,1), (1,1), (1,1)}
A *A *A = { (1,1), (1,1), (1,1), (1,1)} * {1,1}
= { (1,1.1), (1, 1), (1, ), (1,1,1), (1,1,1), (1,1), (1,1), (1,1,1)}
6. If A × B = {(a, x),(a , y), (b, x), (b, y)}. Find A and B.
6. Given,
A ×B = { (a, x), (a, y), (b, x), (b, y)}
We know that,
A ×B = { (p, q); p ∈ A and q ∈ B}
So, A = {a, b} and B = {x, y}.
Class 11 Math Chapter 2 Relation and Function Exercise 2.2 solutions
Class 11 Math Relation and Function Exercise 2.2 focuses on different types of relations, including reflexive, symmetric, transitive, and equivalence relations. The Relation and Function Exercise 2.2 deals with application of the concepts of relations in real-world-based problem-solving. Class 11 Math Chapter 2 Relation and Function Exercise 2.2 consists of 9 Questions. Students can check the solutions below;
| Q1. Let A = {1, 2, 3,...,14}. Define a relation R from A to A by R = {(x, y) : 3x – y = 0, where x, y A}. Write down its domain, co-domain and range. |
| A.1. Given,A ={1,2,3, …, 14} R ={(x, y): 3x – y = 0; x, y A} ={(x, y): 3x = y; x, y A}. = {(1,3),(2,6),(3,9),(4,12)} Domain of R is the set of all the first elements of the ordered pairs in R So, domain of R={1,2,3,4} Codomain of R is the whole set A. So, codomain of R={1,2,3, …, 14} Range of R is the set of all the second elements of the ordered pains in R. So, range of R={3,6,9,12} |
| Q2. Define a relation R on the set N of natural numbers by R = {(x, y) : y = x + 5, x is a natural number less than 4; x, y N}. Depict this relationship using roster form. Write down the domain and the range. |
| A.2. Given,R ={(x, y): y = x + 5, x is a natural number less than 4; x, y N} ={(x, y): y = x + 5; x, y N and x < 4}. ={(1,1+5), (2,2+5), (3,3+5)} ={(1,6), (2,7), (3,8)} So, domain of R = {1,2,3} range of R = {6,7,8} |
| Q3. A = {1, 2, 3, 5} and B = {4, 6, 9}. Define a relation R from A to B by R = {(x, y): the difference between x and y is odd; x A, y B}. Write R in roster form. |
| A.3. Given,A={1,2,3,5} B={4,6,9} R={(x, y) : the difference of x & y is odd; x A, y B}. ={(x, y):|x – y| is odd and x A, y B} ={(1,4),(1,6),(2,9),(3,4),(3,6),(5,4),(5,6)}. |
| Q4. The Fig 2.7 shows a relationship between the sets P and Q. Write this relation |
| (i) in set-builder form (ii) roster form. What is its domain and range? A.4. As R is a relation from set P to Q. (i)R = {(x, y): x – 2 = y ; 5 ≤ x ≤ 7} (ii)R = {(5,3),(6,4),(7,5)} Domain of R={5,6,7} range of R={3,4,5} |
| Q5. Let A = {1, 2, 3, 4, 6}. Let R be the relation on A defined by {(a, b): a , b A, b is exactly divisible by a}. (i) Write R in roster form (ii) Find the domain of R (iii) Find the range of R. |
| A.5. Given, A={1,2,3,4,6} R={(a, b): a, b A, b is exactly divisible by a} (i)R={(1,1),(1,2),(1,3),(1,4),(1,6),(2,2),(2,4),(2,6), (3,3),(3,6),(4,4),(6,6)} (ii)Domain of R={1,2,3,4,6} (iii)Range of R={1,2,3,4,6} |
| Q6. Determine the domain and range of the relation R defined by R = {(x, x + 5) : x {0, 1, 2, 3, 4, 5}}. |
| A.6. Given,R ={(x, x+5): x {0,1,2,3,4,5}} ={(0,0+5), (1,1+5), (2,2+5), (3,3+5), (4,4+5), (5,5+5)} ={(0,5),(1,6),(2,7),(3,8),(4,9),(5,10)} So, domain of R={0,1,2,3,4,5} range of R={5,6,7,8,9,10} |
| Q7. Write the relation R = {(x,x3) : x is a prime number less than 10} in roster form. |
| A.7. GivenR={(x, x3) : x is a prime number less than 10} R ={(x, x3) : x = 2,3,5,7} ={(2,23),(3,33),(5,53),(7,73)} ={(2,8),(3,27),(5,125),(7,343)} |
| Q8. Let A = {x, y, z} and B = {1, 2}. Find the number of relations from A to B. |
| A.8. Given, A={x, y, z}so, n(A)=3 B={1,2} so n(B)=2 ⸫ n(A × B)=n(A) ×n(B)=3 × 2=6 Hence, no. of relation from A to B=Number of subsets of A × B =26 =64. |
| Q9. Let R be the relation on Z defined by R = {(a,b): a, b Z, a – b is an integer}. Find the domain and range of R. |
| A.9. Given,R={(a, b): a, b z and a – b is an integer} We know that, the difference of two integers is also an integer. R={(a, b): a – b z & a, b z} Domain of R=Z. Range of R= Z. |
Class 11 Math Chapter 2 Relation and Function Exercise 2.3 solutions
Class 11 Math Chapter 2 Relation and Function Miscellaneous Exercise solutions
Explore exams which ask questions on Maths Ncert Solutions class 11th
Select your preferred stream
Maths Ncert Solutions class 11th Exam
Student Forum
Other Similar chapters for you
- Statistics
- Mathematical Reasoning
- Limits and Derivatives
- Introduction to Three Dimensional Geometry
- Conic Sections
- Straight Lines
- Sequences and Series
- NCERT Maths 11th
- Permutations and Combinations
- Linear Inequalities
- Complex Numbers and Quadratic Equations
- Principle of Mathematical Induction
- Trigonometric Functions
- Relations and Functions
- Sets
Popular Courses After 12th
Exams accepted
CA FoundationExams accepted
ICSI ExamExams accepted
BHU UET | GLAET | GD Goenka TestBachelor of Business Administration & Bachelor of Law
Exams accepted
CLAT | LSAT India | AIBEExams accepted
IPMAT | NMIMS - NPAT | SET
Exams accepted
BHU UET | KUK Entrance Exam | JMI Entrance ExamBachelor of Design in Animation (BDes)
Exams accepted
UCEED | NIFT Entrance Exam | NID Entrance ExamBA LLB (Bachelor of Arts + Bachelor of Laws)
Exams accepted
CLAT | AILET | LSAT IndiaBachelor of Journalism & Mass Communication (BJMC)
Exams accepted
LUACMAT | SRMHCAT | GD Goenka Test