
Gravitation or gravity is the force of attraction between two bodies. Newton was inspired to derive the universal law of gravitation about the dependence of gravity upon distance.
- Universal Law of Gravitation
- What is the Gravitational Constant?
- Illustrated Examples
- FAQs on Gravitational Constant
Universal Law of Gravitation
Every body in the universe attracts every other body with force directly proportional to their masses' product and inversely proportional to the square of the distance between them.
F = Gravitational force
m1, m2 = masses of the bodies
r = distance between two masses
G = Universal Gravitational Constant
What is the Gravitational Constant?
The value of the gravitational constant in SI units is 6.674×10−11 m3⋅kg−1⋅s−2 . The gravitational constant G value was experimentally determined in 1798 by Henry Cavendish.
Cavendish Experiment
- The small lead spheres attached to the rods' end are suspended on a fine wire with support.
- When the rod gets twisted, the wire's torsion exerts a torsional force proportional to the angle of rotation of the rod.
- When 2 bigger lead spheres are kept near the small spheres attached to the rod, the bigger spheres exert a gravitational force upon smaller spheres.
- The suspending wire gets contorted till the restoring torque gets equal to the gravitational torque.
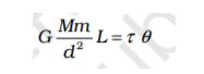
- If θ is the angle of contortion of the suspending wire, the restoring torque is proportional to θ, equal to τθ. τ is the restoring couple per unit angle of twist.
- By this experiment, Cavendish was able to determine the gravitational pull of attraction between two masses.
- If the length of the bar AB is L, then the torque arising from F is Fx At equilibrium, it equals the restoring torque and hence:
- From the above equation, the observation of θ enables us to calculate the G. From the Cavendish experiment, G has the value of 6.674×10−11 Nm²/kg².
Gravitational constant for Class 11
The gravitational constant is used to show the force exerted between Newton's two objects through his gravitation law. Through this topic, one knows about the G and its value derived by the Cavendish through his experiments. The weightage of the topic is around 5%.
Illustrated Examples
Example 1: If the body of mass is 40 kg is attracted by another mass of 15 kg by a force of 9.8x10⁻⁷ N and the distance between the masses is 0.2m, find G.
G = Fd²/Mm
G = 9.8x10⁻⁷x 0.2²/ 40x15
G = 6.533 x 10⁻¹¹ Nm²/kg²
Example 2: Calculate the gravitational constant if the mass of the planet and earth is equal to 5.98 x 10²⁴ kg, where the distance of the planet from the earth is 2.5 x 10⁷km and the gravitational force exerted by them is 3.82 x 10¹⁸ N.
G = 3.82 x 10¹⁸(2.5 x 10⁷)²/5.98 x 10²⁴ (5.98 x 10²⁴ )
G = 6.67×10−11 Nm²/kg²
Example 3: What is the gravitational force between two atoms separated by a distance of 1 angstrom. Mass of the atom is 1.6×10⁻²⁷ kg.
Distance r = 1A = 10⁻¹⁰m
F = 6.67× 10⁻¹¹( 1.6×10⁻²⁷) 1.6×10⁻²⁷/(10⁻¹⁰)²
F = 17× 10⁻⁴⁵ N
Images courtesy: NCERT
FAQs on Gravitational Constant
Q: I_o, one of the satellites of Jupiter, has an orbital period of 1.769 days and the radius of the orbit is 4.22 × 10^8 m. Show that the mass of Jupiter is about one-thousandth that of the sun.
A:
Q: What is the Gaussian gravitational constant?
A: It is the parameter used in the orbital mechanics of the solar system. The symbol is K which expresses the mean angular velocity, with a value of 0.017 radians per day.
Q: What is the relation between the acceleration due to gravity and Gravitational constant?
A:
g= F/M=GME/R2E
g= acceleration due to gravity and G is Gravitational constant
Q: Why is G universal?
A: The value of G remains constant throughout the universe, and it is independent of the masses of the objects.
Q: What is the dimensional formula of gravitational constant?
A: Dimensional formula of force = M¹L¹ T⁻²
(G) = F × r² × [Mm]⁻¹
G = [M¹L¹ T⁻²] × [L]² × [M]⁻² = [M⁻¹ L³ T⁻²].
Q: What are the other names of G?
A: It is also known as Universal gravitational constant or Newtonian constant of gravitation or the cavendish gravitational constant.
Physics Gravitation Exam
Student Forum
Other Class 11th Physics Chapters
- Physics Mechanical Properties of Solids
- NCERT Class 11 Physics
- NCERT Class 11 Notes
- NCERT Notes
- Physics Motion in Plane
- Physics Mechanical Properties of Fluids
- Physics Motion in Straight Line
- Physics System of Particles and Rotational Motion
- Physics Oscillations
- Physics Waves
- Physics Thermal Properties of Matter
- Physics Motion
- Physics Gravitation
- Physics Thermodynamics
- Physics Work, Energy and Power
- Physics Units and Measurement
- Physics Laws of Motion
Popular Courses After 12th
Exams accepted
CA FoundationExams accepted
ICSI ExamExams accepted
BHU UET | GLAET | GD Goenka TestBachelor of Business Administration & Bachelor of Law
Exams accepted
CLAT | LSAT India | AIBEExams accepted
IPMAT | NMIMS - NPAT | SET
Exams accepted
BHU UET | KUK Entrance Exam | JMI Entrance ExamBachelor of Design in Animation (BDes)
Exams accepted
UCEED | NIFT Entrance Exam | NID Entrance ExamBA LLB (Bachelor of Arts + Bachelor of Laws)
Exams accepted
CLAT | AILET | LSAT IndiaBachelor of Journalism & Mass Communication (BJMC)
Exams accepted
LUACMAT | SRMHCAT | GD Goenka Test