CAT Quantitative Aptitude cannot be mastered without practice. No matter how well you have memorised formulae, their application can be learnt only when you solve CAT Maths questions. Shiksha.com brings to you CAT Quant questions with solutions for practice along with downloadable PDFs.
CAT Quantitative Aptitude (QA) questions of high difficulty level. The 22 questions are mixed bag of tough, time consuming and calculation heavy Math problems. It is not mandatory to attempt all CAT Quant questions, but it is important to attempt the questions accurately. CAT Quantitative Aptitude covers major topics of Mathematics studied in Class 9 and 10 but of advance level. If you prepare right, you can score 100 percentile in this section. Geometry, Algebra, Trigonometry, Mensuration and Modern Math form the basis of CAT questions for Quantitative Aptitude. For your CAT 2025 preparation, you must include practice sessions for every CAT quant topic so that you have the experience and knowledge of solving all types of questions. Shortcut calculations, formulae application, etc. are supposed to be at the tip of your tongue.
MBA aspirants often prepare for multiple entrance exams simultaneously. If they prepare for CAT exam well, they will be able to handle other MBA entrance exams too. QA preparation for CAT and other MBA entrance exams such as XAT, SNAP, CMAT, NMAT and MAT exam, should be divided into two parts.
- Understanding Quantitative Aptitude topics and concepts
- Practicing CAT Quant questions and mock tests series
Quantitative Aptitude in CAT is calculation intensive and even if you have studied Maths in graduation, you need to have complete clarity of concepts and theorems. So, start with studying every topic from scratch. Once there is complete conceptual clarity, start solving sample CAT aptitude questions to improve efficiency in application of formulae for 100 per cent accuracy.
Explore colleges based on CAT
CAT Algebra questions and CAT geometry questions, CAT percentage questions and CAT time and distance questions are usually of high difficulty level and require more practice than other CAT topics. Overall, mastering the CAT Maths questions require practice. Given below are a few CAT Quantitative Aptitude questions with solutions. Attempt these questions and check your preparation level for CAT 2025 exam and other MBA entrance exams.
CAT Preparation 2025: Solved CAT Quant Questions for Practice
CAT Percentage Questions
DIRECTIONS for questions 1 to 5: Answer the question independently.
1. A dishonest shopkeeper sells sugar at cost price but makes 25% profit by using faulty weights. He decides to give a discount to attract more customers. What percent of discount should he offer to make 12% profit?
1] 15.2% 2] 12.5% 3] 10.4% 4] 13%
2. N is a natural number having the sum of it’s digits as 3. If 101314, then how many values can ‘N’ assume?
1] 93 2] 91 3] 78 4] 105
3. Two barrels A and C contain alcohol and water in the ratio 1:a and 1:c, respectively. Equal quantity of mixtures from barrels A and C are mixed to get a mixture with alcohol and water in the ratio 1:b, where b is the arithmetic mean of a and c. What can be the value of a b c, if a, b and c are integers?
1] 14 2] 10 3] 15 4] 8
4. Given 2 positive integers, ‘x’ and ‘y’ with x
1] 10 and 1990 2] 900 and 1880 3] 1 and 1890 4] 1 and 900
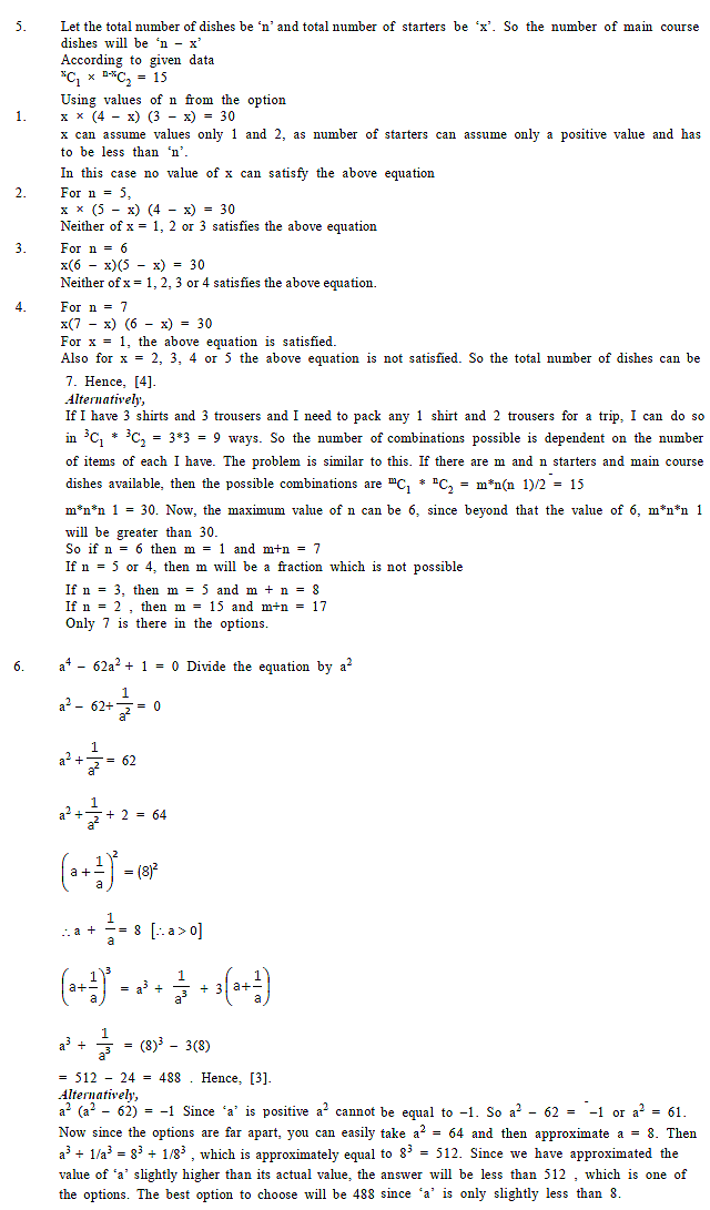
5. Ajay plans to host a lunch for his friends at a restaurant. He decides to keep 1 starter and 2 main courses for the lunch. From the menu, he realizes that there are only 15 ways to fulfill his requirement. What can be the total number of dishes available on the menu?
1] 4 2] 5 3] 6 4] 7
6. If ‘a’ is positive and a4 – 62a2 1 = 0, find the value of a3 1/a3
1] 648 2] 392 3] 488 4] 512
7. A six-faced unbiased die is thrown ten times. The results of these ten throws are written side by side, from left to right so as to form a ten-digit number, such that the first four digits form a four digit number which is the greatest four-digit square possible. Similarly, the next three digits, next two digits and the last digit form the greatest possible three-digit, two-digit and one-digit perfect squares respectively. Find the sum of digits of that ten-digit number.
1] 45 2] 46 3] 42 4] Cannot be determined
CAT Time and Distance Questions
8. On a 120 kms racing track, if P and Q start driving in the same direction from the same point and at the same time, then P wins the race by 25 minutes. If they drive towards each other from the opposite ends on the same track starting at the same time, the distances that P and Q cover when they meet are in the ratio 3:2. Find the speed of P’s car.
1] 96 kmph 2] 48 kmph 3] 144 kmph 4] 72 kmph
9. PQR is an isosceles right angled triangle with ?QPR = 90°. Semicircles are drawn with PQ and PR as diameters. Find the ratio of the area of the shaded region to the area of the triangle PQR.
CHECK OUT:
- CAT Preparation: Verbal Ability (VA) solved questions
- CAT Preparation: Data Interpretation (DI) solved questions
- CAT Preparation: Data Interpretation (DI) solved questions - Part 2
- CAT Preparation: Logical Reasoning (LR) solved questions
- CAT Preparation: Logical Reasoning (LR) solved questions-Part 2
11. A task was given to a manager who had 14 members in his team. At any moment of time exactly 10 members worked simultaneously on the task. Since, the manager had to be fair in his work allocation, he allocated the task among the workers in such a way that each member worked on the task for exactly ‘t’ minutes. If the task was completed in 210 minutes, then find the value of ‘t’. (Assume the efficiency of each of the members of the team is the same)
1] 15 2] 150 3] 21 4] 60
Content courtesy:
The CAT VARC section is dominated by RC questions. Out of 24 questions about 14-16 are based on Reading Comprehension passages and the rest of them are based on parajumbles, para completion, etc.
CAT has about 12-16 RC question. Since, it is not mandatory to solve all the questions, candidates can maximize their scores by leaving out the questions related to the passage they find the toughest. There is negative marking in CAT so candidates must ensure that they mark only the correct options or do not mark any option at all.
CAT question papers are released within a week of the exam in the form of a PDF as a response sheet and answer key. Candidates who have appeared for the test are able to access the CAT question paper and answer key. The question paper of every slot is released on the same day along with candidate response sheet and official answer to all question. If any candidate needs previous year CAT question papers for preparation purpose, then they can download them from Shiksha website. We have hosted last five years' CAT question papers for aspirants to download and practice. These official CAT question papers are available for download free. You can download the CAT question paper PDFs at this link: https://www.shiksha.com/mba/cat-exam-question-papers Candidates must check and practice the latest CAT question paper to know the latest exam pattern and difficulty level.
No, it is not mandatory to attempt all the questions in CAT. Candidates can choose to attempt questions as per their preparation. It is not possible also to attempt all the questions due to time limitation and difficulty level. Reading dense RC passages often take up a lot of time. In DILR and QA too, some questions are time taking and calculation intensive due to which not much time is left in hand to attempt all questions. The aim of every test taker should be to attempt about 2/3rd of the total questions in all the sections of CAT.
The key change in CAT question paper 2024 was increase in number of questions in DLIR section. Till 2023, the DILR section used to have 20 questions. In 2024, it had 22 questions. The time limit for it was the same and no other section had less questions. Which means, in CAT 2024, candidates had to attempt 68 questions instead of 66 to solve in the same time (120 minutes). DILR sectional time limit was 40 minutes as in previous years. There was no other change in CAT 2024, the difficulty level was same as previous years.
There are no straight forward vocabulary questions in CAT. Out of the total of 24 questions in VARC section, 12-14 questions are Reading Comprehension based and rest of them comprise parajumbles, para completion and odd sentence. CAT is the only MBA entrance exam, which does not have direct vocabulary and grammar questions. However, one needs to have strong vocabulary and grammar to be able to solve RC, parajumble, para completion and odd sentence questions.

Vipra Shrivastava is MA in English Literature from Delhi University with extensive experience in content writing of over 14 years. She has been handling content for Management, Accounting and Commerce streams for 8
Read Full BioNews & Updates
Explore Other Exams
Jan '26 | XAT 2026 Cut Offs Release |
Jan '26 | XAT 2026 result |
9 Jan '26 | SNAP 2025 result announcement |
20 Dec '25 | SNAP 2025 session 3 |
13 Jan '26 - 17 Jan '26 | NMAT 2025 Exam Date (Additiona... |
5 Jan '26 - 10 Jan '26 | NMAT 2025 Scheduling (Addition... |
17 Oct '24 - 5 Dec '24 | IIFT 2025 registration and app... |
23 Feb '26 | MAT Feb 2026 PBT Registration ... |
26 Feb '26 | MAT Feb 2026 PBT admit card |
14 Feb '26 - 22 Feb '26 | IBSAT 2025 Selection Process |
30 Dec '25 | IBSAT 2025 Result |
25 Jan '26 | CMAT 2026 exam |
26 Nov '25 - 28 Nov '25 | CMAT 2026 form correction |
10 Jan '26 - 12 Feb '26 | MAH MBA CET 2026 registration |
7 Apr '26 - 8 Apr '26 | MAH MBA CET 2026 exam |
Jan '26 | TANCET registration window |
Mar '26 | TANCET admit card download |
Mar '25 | IRMASAT 2025 Final Result Anno... |
Feb '25 | IRMASAT Personal Interviews |
Student Forum
Answered Yesterday
GIBS (GIBS Business School) encourages people who have completed either the National Level Entrance Exam (or all of these exams) and taken other state-level exams - such as the CAT, XAT, MAT, CMAT, GMAT, ATMA, and the State CET exam - to apply for PGDM (Post Graduate Diploma in Management) and MBA (
M
Contributor-Level 6
Answered 2 days ago
No, CAT is not mandatory for School of Business and Management, Christ University MBA admissions. Students can alternatively submit scores of other national-level management exams. These include MAT/ XAT/ CMAT/ ATMA and GMAT/ GRE are also accepted.
S
Contributor-Level 10
Answered 5 days ago
You can download your CDAC C-CAT 2026 response sheet by logging in to the official C-DAC Candidate Portal using your form number and password.
R
Contributor-Level 9
Answered a week ago
Yes, JAGSoM accepts CAT scores as part of its multi-stage admission process. Candidates are shortlisted for selection rounds based on their entrance exam scores.
B
Contributor-Level 6
Answered a week ago
No, CAT scores are not important for admission to the MBA course at the School of Business, Sushant University. As per the info. taken from the website of the university, it conducts its own entrance exam for enrollment into the MBA course.
C
Contributor-Level 10
Answered a week ago
RGIPT allows admission without CAT/XAT/GMAT/CMAT/MAT/CUET-PG score under two circumstances. First, you should be a company-sponsored candidate. Second, if you belong to part time registration category. You will still have to fulfil the remaining eligibility criteria.
J
Contributor-Level 10
Answered a week ago
Candidates with a valid score of CAT/ GMAT/ GRE score are exempted from the written test. These candidates still need to complete the form by paying the application fees. However, these aspirants may get called for the IIM Trichy - Chennai campus PGPBM interview round.
A
Contributor-Level 10
Answered a week ago
CAT is one of the accepting exams for admission to PGDM at IPE Hyderabad. Candidates with a good score in CAT can also get a scholarship. However, CAT is not mandatory. Aspirants with a score in MAT, XAT, ATMA, GMAT or CMAT exams can also get admission in the PGDM course.
N
Guide-Level 15
Answered a week ago
No, candidates who wish to apply for the Global MBA course at Lexicon MILE are required to clear the LAT conducted by Lexicon MILE. The CAT exam score at Lexicon MILE is only used for deciding the PGDM admissions along with several other entrance exams.
S
Contributor-Level 10
Answered a week ago
CAT is one of the accepting exams for MBA admission at Karunya School of Management. However, it is not compulsory. Aspirants can also apply through XAT, MAT or KMAT scores. Candidates must also complete graduation to apply for MBA at KSM Coimbatore.
N
Guide-Level 15
