Identity Matrix: Definition, Examples, and Properties
Exploring the Identity Matrix: A Simple Guide – Dive into the basics of the identity matrix, a key element in linear algebra. We'll break down its definition, properties, and practical uses in a straightforward, easy-to-understand way. Perfect for students and enthusiasts looking to grasp this fundamental concept in mathematics.
A square matrix of order n x n with ones on the main diagonal and zeros elsewhere is known as an Identity Matrix. From solving a system of linear equations to representing identity transformation in 2D and 3D graphics applications, identity matrices play a significant role in linear algebra, calculus, and computer science.
Table of Content
- What is the Identity Matrix?
- Examples of Identity Matrix
- Properties of Identity Matrix
- Operations on Identity Matrix
- Real-Life Application of Identity Matrix
What is the Identity Matrix?
Let A be any n x n matrix, then A is said to be an identity matrix if and only if
Aij = 1, when i = j and
Aij = 0, when i ≠ j
In simple terms, in an Identity Matrix, the entries on the principal diagonal (from the upper left to the bottom right) are equal to 1, and the remaining entries are equal to 0.
It is represented by "I".
Best-suited Data Science courses for you
Learn Data Science with these high-rated online courses
Examples of Identity Matrix
Identity Matrix of Order 1
Identity Matrix of Order 2
Identity Matrix of Order 3
Identity Matrix of Order 4
Properties of Identity Matrix
- Square Matrix: An Identity matrix is always a square matrix with equal rows and columns.
- Multiplicative Identity: Multiplying any square matrix with the identity matrix always returns the same matrix.
- i.e., If A is any matrix and I is any square matrix, then A*I = A = I*A.
- Determinant: The Determinant of the identity matrix is 1.
- Inverse: The inverse of the identity matrix is an identity matrix.
- EigenValues: All eigenvalues of the identity matrix are 1.
- Symmetric Matrix: The identity matrix is symmetric, i.e., I = IT.
- Orthogonal Matrix: The identity matrix is orthogonal, i.e., I*IT = I.
- Trace: The trace of the identity matrix, which is equal to the sum of the diagonal elements, is equal to the order of the matrix.
- Rank: The rank of the identity matrix is equal to the order of the matrix.
- Power of Identity: Any power of the identity matrix is identity.
Operations on Identity Matrix
In this section, we will discuss two important operations on the Identity matrix, i.e., multiplication with the identity matrix and the inverse of the matrix.
Multiplication with the Identity Matrix
As we have already mentioned, the identity matrix serves as a multiplicative identity in matrix operations. So, let's take an example to understand better how this happens.
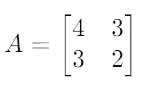
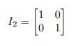
Let A and B be two matrices such that
with the corresponding identity matrix
Now, multiplying A and I2
Hence, from above, we get A * I2 = A.
Now, let's see how to multiply a 3x3 matrix with the identity matrix.
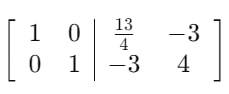
The inverse of Matrix using Identity Matrix
Here, we will see how to find the inverse of a 2x2 matrix using the identity matrix.
Let's take a 2x2 matrix.
We will augment A with the identity matrix I to find the inverse of matrix A. Now, we will perform row operations to convert A into an identity matrix.
Note: The operation will be applied to both sides of the augmented matrix.
Step-1: Make the element a11 = 1.
So, divide the first row by 4.
Step-2: Make the element a21 = 0
So, multiply the first row by 3 and subtract it from the second row.
Step-3: Make the element a22 = 1
So, multiply the second row by 4.
Step-4: Make the element a12 = 0
So, multiply the second row by 3/4 and subtract it from the first row.
Hence, the inverse of A is
Real-Life Application of Identity Matrix
| Domain | Application | Scenario-Based Example |
|---|---|---|
| Mathematics | Solving Linear Equations | Using the identity matrix to find the inverse of a matrix to solve for AX = B for . |
| Engineering | Control Systems | In state-space representation, using the identity matrix to model the state transition without external inputs. |
| Computer Science | Algorithms and Data Structures | Initializing transformation matrices in computer graphics for object manipulation in 3D space. |
| Physics | Quantum Mechanics | Representing the identity operator in finite-dimensional spaces to indicate no change in the quantum state. |
| Economics | Markov Decision Processes | Representing the initial state probabilities in consumer choice modelling before any transitions. |
| Robotics | Movement and Positioning of Robot Arms | Using the identity matrix as the base configuration for robot arm movement in kinematic equations. |
| Cryptography | Encryption Algorithms | Starting with the identity matrix for generating keys in matrix-based encryption techniques. |
Conclusion
In this article, we have briefly discussed identity matrix, examples of an identity matrix, properties of an identity matrix, and operations on an identity matrix; and later, we have also discussed the real-life application of an identity matrix.
Keep Learning!!














Comments