The State Board of Technical Education and Training provides the AP POLYCET previous year question paper at the official website. Applicants appearing in the exam can check AP POLYCET previous papers with answers PDF for their preparations. For the ease of candidates, AP POLYCET question paper PDF is provided here.
AP POLYCET Previous Papers with Answers PDF - The State Board of Technical Education and Training releases the AP POLYCET question paper PDF at the official website. Applicants looking for admissions can refer to the AP POLYCET previous year question papers for their preparations. Solving AP POLYCET question paper PDF helps candidates to understand the scheme of the exam. Applicants can use AP Polytechnic previous question papers with answers PDF download as mock test to evaluate their performance before the exam. Along with the question papers, candidates can also refer to the AP POLYCET syllabus to check important topics and chapters. Candidates can check their weak and strong areas by solving AP POLYCET previous year papers. AP POLYCET exam will be conducted in offline pen & paper mode across various exam centres. For more details about AP POLYCET previous papers with answers PDF, candidates can refer to the article provided below.
| AP POLYCET Physics Study Material 2025 | AP POLYCET Chemistry Study Material 2025 |
| AP POLYCET Maths Study Material 2025 | |
- AP POLYCET Model Question Papers
- AP POLYCET Question Paper 2025 Download PDF
- AP POLYCET Previous Year Question Paper with Solutions
- AP POLYCET 2023 Question Paper
AP POLYCET Model Question Papers
The candidates can download the AP POLYCET sample question paper from here.
| AP POLYCET Study Material | Download PDF |
|---|---|
| POLYCET Sample Paper (English) | Download Here |
| POlYCET Sample Paper (Telugu) | Download Here |
Commonly asked questions
In case students want to raise objections to the provisional answer key, they will have to send an email to the authorities with supporting documents before the specified deadline. The authorities will not accept any objections against the answer key of Andhra Pradesh POLYCET after the final date. The last date for objection was April 28.
Check Andhra Pradesh POLYCET answer key online at polycetap.nic.in. Log in using User ID, password and centre code to access Andhra Pradesh POLYCET answer key. If you forget login credentials, regenerate it. Click on 'Forgot User ID/Password' link. Contact authorities if you face any problems by checking Andhra Pradesh POLYCET answer key.
Use Andhra Pradesh POLYCET answer key to calculate probable secured scores before official result is declared. Compare individual responses with correct answers to calculate scores. Official marking scheme of Andhra Pradesh POLYCET will be followed. The final calculated total is probable score secured in examination. Calculated score is indicative and may be different from scores obtained in Andhra Pradesh POLYCET result.
The AP POLYCET answer key was released on the official website. The correct responses to the question paper has been released through the Andhra Pradesh POLYCET answer key. Candidates can use the answer key to calculate their probable secured scores in the exam before the result is declared.
AP POLYCET Question Paper 2025 Download PDF
Students can download the AP POLYCET 2025 Question Paper (once available) and the AP POLYCET past year question paper from this page. Practising AP POLYCET model papers is fundamental to scoring better marks in AP POLYCET 2025.
| Question Paper | |
|---|---|
| AP POLYCET 2025 Question Paper Set A | Download Here |
| AP POLYCET 2025 Question Paper Set B | Download Here |
| AP POLYCET 2025 Question Paper Set C | Download Here |
| AP POLYCET 2025 Question Paper Set D | Download Here |
AP POLYCET Previous Year Question Paper with Solutions
AP POLYCET Past Year Question Papers PDF are given below.
AP POLYCET 2024 Question Papers
| Question Paper | |
|---|---|
| AP POLYCET 2024 Question Paper Set A | Download Here |
| AP POLYCET 2024 Question Paper Set B | Download Here |
| AP POLYCET 2024 Question Paper Set C | Download Here |
| AP POLYCET 2024 Question Paper Set D | Download Here |
AP POLYCET 2023 Question Papers
| AP POLYCET Question Papers |
Download PDF |
|---|---|
| AP POLYCET 2023 Question Paper |
|
| AP POLYCET 2022 Question Paper |
|
| AP POLYCET 2021 Question Paper |
|
| AP POLYCET 2020 Question Paper |
|
| AP POLYCET 2019 Question Paper |
|
| AP POLYCET 2018 Question Paper |
|
| AP POLYCET 2017 Question Paper |
|
| AP POLYCET 2016 Question Paper |
Commonly asked questions
The authorities have not made any official announcement regarding payment of fee to raise objections against the Andhra Pradesh POLYCET answer key. The candidates will simply have to email their objections and the supporting proof to the authorities. In case of any additional guidelines regarding fee payment for objections, the authorities will make the announcement on the official website. The required fee may have to be paid online i.e., through net banking/credit card/debit card.
The authorities will accept objections raised against the Andhra Pradesh POLYCET answer key. In case of any objections, the candidates will have to write an email outlining the objection and send it through email. Any other mode of objections or submissions without any proof will not be accepted by the authorities. The authorities will check all of the objections and accordingly release the final Andhra Pradesh POLYCET answer key.
Explore colleges based on AP POLYCET
Based on ,UG Diploma,AP POLYCET
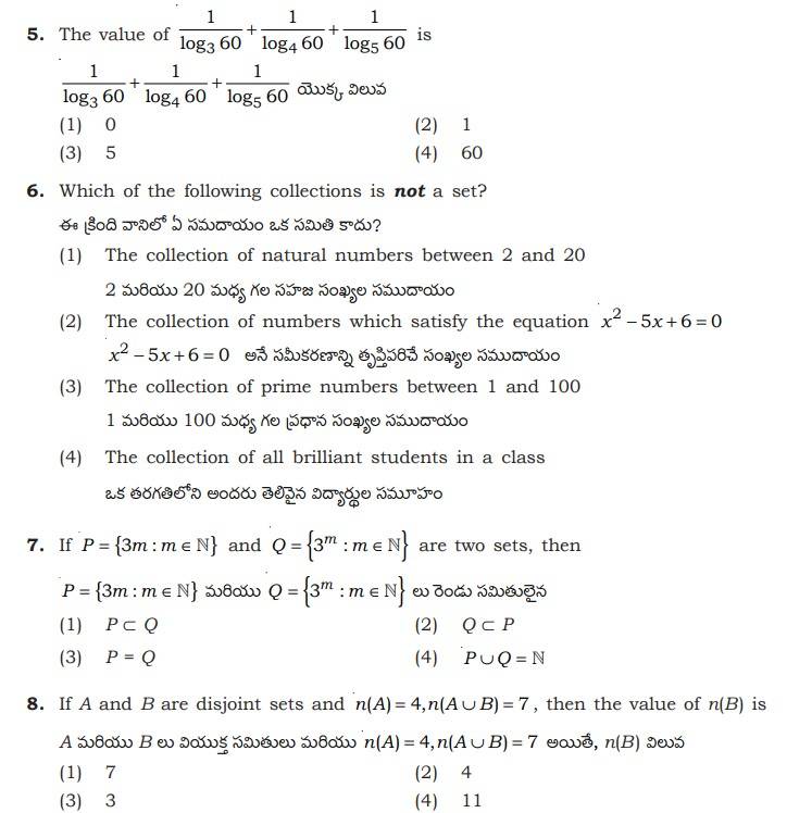
AP POLYCET 2023 Question Paper
We have provided the screenshots of the AP POLYCET 2024 Question Paper below.

News & Updates
Explore Other Exams
5 May '26 | JEE Main 2026 paper 2 result s... |
4 May '26 | JEE Main 2026 paper 2 final an... |
17 May '26 | TS EAMCET 2026 result |
12 May '26 | TS EAMCET 2026 Engineering ans... |
18 May '26 | AP EAMCET 2026 Exam date (Engi... |
19 May '26 - 20 May '26 | AP EAMCET 2026 Exam date (Agri... |
May '26 | KCET Result 2026 |
27 Apr '26 - 30 Apr '26 | KCET Answer Key 2026 |
Jun '26 | OJEE result 2026 |
Jun '26 | Special OJEE registrations 202... |
May '26 | AISECT Joint Entrance Exam 202... |
May '26 | AISECT Joint Entrance Exam 202... |
Student Forum
Answered 2 weeks ago
As per the official Andhra Pradesh POLYCET marking scheme, you will get one mark for every correct answer. There is no negative marking for incorrect answers and no marks will be deducted for unattempted questions. Attempt as many questions as you can to improve chances of scoring more marks needed
S
Contributor-Level 10
Answered 2 weeks ago
Candidates can check the previous year papers of Andhra Pradesh POLYCET to understand the examination pattern such as the nature of questions, weightage, marking scheme and more. Candidates are advised to regularly solve the previous year papers of Andhra Pradesh POLYCET to know the commonly occurri
S
Contributor-Level 10
Answered 2 weeks ago
The Andhra Pradesh POLYCET exam will have 120 MCQs. 50 questions from Mathematics, 40 from Physics and 30 questions from Chemistry.
S
Contributor-Level 10
Answered 2 weeks ago
Yes, mock tests are important for the Andhra Pradesh POLYCET exam. Through the mock tests, the candidates will be able to know the details of how the examination will be held. Mock tests will also allow the candidates to identify their preparation progress and commonly made mistakes. By identifying
S
Contributor-Level 10
Answered 2 weeks ago
For the last-minute preparation tips for Andhra Pradesh POLYCET candidates must focus on revision and spend more time on the previous year's paper and mock tests. In case of any mistakes on these, review it and ensure it is not repeated in the exam.
S
Contributor-Level 10
Answered 2 weeks ago
The State Board of Technical Education and Training will announce the Andhra Pradesh POLYCET exam date 2027 on the official website. The Andhra Pradesh POLYCET exam is conducted in April-May, tentatively.
S
Contributor-Level 10
Answered 2 weeks ago
Candidates are advised to create a study timetable to be well prepared for Andhra Pradesh POLYCET. Through the timetable, the candidates will be able to cover their syllabus before the examination. During the creation of the timetable, the candidates will have to divide the syllabus equally so that
S
Contributor-Level 10
Answered 2 weeks ago
For a good performance in Andhra Pradesh POLYCET, regular revision is very important. By revising what has been previously studied, the candidates will be able to retain it better and answer the questions in the examination. Revision will also help the candidates understand the difficult topics and
S
Contributor-Level 10
Answered 2 months ago
The Andhra Pradesh POLYCET 2026 exam date is April 25, 2026. The exam will be held from 11 am to 1 PM.
S
Contributor-Level 10
Answered 2 months ago
The Andhra Pradesh POLYCET application form is released on the website: polycetap.ap.gov.in/Default.aspx. The Andhra Pradesh POLYCET 2026 registration has now concluded. Candidates were able to apply through both online and offline modes.
S
Contributor-Level 10
