
UGC NET 2025 Cut Off OUT: The NTA will release the UGC NET cutoff for the December session along with the UGC NET result for 2025. The cutoff will be announced subject- and category-wise on the official website at ugcnet.nta.ac.in. Candidates will be able to download their NTA UGC NET result and cutoff PDF for the December session via the link provided below. Candidates can check below the UGC NET 2025 Dec cutoff PDF once released. However, the candidates can also check the cut-off for the previous cycles of the examination below.
UGC NET cut-off is released as subject-wise cut-off marks. UGC NET is conducted to determine the eligibility of the candidates to become Assistant Professors and get the Fellowship award to complete a Ph.D. at the expense of the Indian government.
Latest Updates:
- UGC NET Cut Off Marks PDF 2025
- UGC NET Exam Dates 2025
- UGC NET 2025 Subject Wise Cut Off Marks: December & June
- UGC NET Minimum Qualifying Marks 2025
- Criteria to Determine UGC NET Cut off 2025
- UGC NET Subject Wise Cut Off Marks: December Cycle
- UGC NET Subject Wise Cut Off Marks: June
- Previous Years’ UGC NET Cutoff
UGC NET Cut Off Marks PDF 2025
The candidates will be able to download the UGC NET Cut off 2025 for the December session by following the steps given below:
Step 1: Visit the official website of UGC NET 2025 - https://ugcnet.nta.ac.in
Step 2: Click on the link available to check the cutoff
Step 3: The UGC NET 2025 cut-off will appear on the screen
Step 4: Download the cutoff PDFs and save them for future reference
Direct Link: UGC NET 2025 Dec session Cut off PDF: to be updated here
Commonly asked questions
Open the official website of NTA, find the "UGC NET Cut Off" link, now select History and choose the session of that particular year. The UGC NET cut-off marks will be displayed to download.
UGC NET Exam Dates 2025
Take a look at the table below for the complete schedule of UGC NET 2025 exam
| Dates | Past Exam Dates |
|---|---|
| 21 Jul ' 25 | UGC NET 2025 June Result |
| 08 Jul ' 25 | UGC NET 2025 June Provisional Answer Key Last date for fee payment |
| 06 Jul ' 25 - 08 Jul ' 25 | UGC NET 2025 June Provisional Answer Key Challenge Window |
UGC NET 2025 Subject Wise Cut Off Marks: December & June
The authority will release the UGC NET 2025 December session cut off. Till then, candidates can check below the cut off for the June session.
Candidates can check their UGC NET 2025 June cycle cutoff below.
UGC NET History Cut Off June Session 2025
Candidates can check below the UGC NET 2025 History Cut off marks.
UGC NET Commerce Cut Off June Session 2025
Candidates can check below the UGC NET 2025 History Cut off marks.
Scroll down for UGC NET 2024 Dec session cutoff.
UGC NET 2024 December Cutoff
|
Subject |
Category |
JRF |
Assistant Professor |
PhD Only |
|||
|---|---|---|---|---|---|---|---|
| Cutoff |
Total Cand |
Cutoff |
Total Cand |
Cutoff |
Total Cand |
||
| Economics / Rural Economics /Co-o |
UNRESERVED |
206 |
66 |
180 |
756 |
156 |
1656 |
| Economics / Rural Economics /Co-o |
OBC(NCL) |
192 |
45 |
162 |
536 |
142 |
1212 |
| Economics / Rural Economics /Co-o |
EWS |
194 |
24 |
166 |
192 |
142 |
384 |
| Economics / Rural Economics /Co-o |
SC |
178 |
31 |
150 |
282 |
132 |
641 |
| Economics / Rural Economics /Co-o |
ST |
172 |
18 |
148 |
176 |
132 |
373 |
| Economics / Rural Economics /Co-o |
PWD-VI-UR |
188 |
1 |
140 |
8 |
112 |
17 |
| Economics / Rural Economics /Co-o |
PWD-HI-UR |
170 |
1 |
112 |
10 |
106 |
1 |
| Economics / Rural Economics /Co-o |
PWD-LM-UR |
166 |
1 |
142 |
12 |
124 |
28 |
| Economics / Rural Economics /Co-o |
PWD-OD&AO-UR |
162 |
1 |
114 |
9 |
---- |
---- |
| Economics / Rural Economics /Co-o |
PWD-VI-OB |
154 |
1 |
124 |
7 |
106 |
6 |
| Economics / Rural Economics /Co-o |
PWD-HI-OB |
128 |
1 |
106 |
2 |
---- |
---- |
| Economics / Rural Economics /Co-o |
PWD-LM-OB |
158 |
1 |
136 |
7 |
112 |
16 |
| Economics / Rural Economics /Co-o |
PWD-OD&AO-OB |
120 |
1 |
---- |
---- |
---- |
---- |
| Economics / Rural Economics /Co-o |
PWD-VI-SC |
154 |
1 |
112 |
5 |
---- |
---- |
| Economics / Rural Economics /Co-o |
PWD-HI-SC |
120 |
1 |
106 |
2 |
---- |
---- |
| Economics / Rural Economics /Co-o |
PWD-LM-SC |
150 |
1 |
126 |
3 |
110 |
7 |
| Economics / Rural Economics /Co-o |
PWD-OD&AO-SC |
106 |
1 |
106 |
1 |
---- |
---- |
| Economics / Rural Economics /Co-o |
PWD-VI-ST |
118 |
1 |
118 |
1 |
---- |
---- |
| Economics / Rural Economics /Co-o |
PWD-HI-ST |
106 |
1 |
106 |
1 |
---- |
---- |
| Economics / Rural Economics /Co-o |
PWD-LM-ST |
138 |
1 |
132 |
3 |
108 |
6 |
| Economics / Rural Economics /Co-o |
PWD-OD&AO-ST |
---- |
---- |
---- |
---- |
---- |
---- |
| Economics / Rural Economics /Co-o |
PWD-VI-EW |
166 |
1 |
130 |
4 |
---- |
---- |
| Economics / Rural Economics /Co-o |
PWD-HI-EW |
124 |
1 |
---- |
---- |
---- |
---- |
| Economics / Rural Economics /Co-o |
PWD-LM-EW |
138 |
1 |
134 |
4 |
108 |
4 |
| Economics / Rural Economics /Co-o |
PWD-OD&AO-EW |
106 |
2 |
106 |
2 |
---- |
---- |
|
Subject |
Category |
JRF |
Assistant Professor |
PhD Only |
|||
|---|---|---|---|---|---|---|---|
| Cutoff |
Total Cand |
Cutoff |
Total Cand |
Cutoff |
Total Cand |
||
| Political Science |
UNRESERVED |
234 |
175 |
210 |
2155 |
184 |
4567 |
| Political Science |
OBC(NCL) |
226 |
117 |
196 |
1356 |
168 |
2960 |
| Political Science |
EWS |
226 |
65 |
196 |
587 |
164 |
1286 |
| Political Science |
SC |
212 |
79 |
184 |
904 |
160 |
2006 |
| Political Science |
ST |
208 |
37 |
180 |
444 |
158 |
909 |
| Political Science |
PWD-VI-UR |
220 |
3 |
172 |
30 |
120 |
63 |
| Political Science |
PWD-HI-UR |
180 |
2 |
134 |
26 |
110 |
4 |
| Political Science |
PWD-LM-UR |
222 |
2 |
182 |
29 |
150 |
70 |
| Political Science |
PWD-OD&AO-UR |
178 |
3 |
122 |
32 |
116 |
3 |
| Political Science |
PWD-VI-OB |
212 |
3 |
146 |
20 |
106 |
11 |
| Political Science |
PWD-HI-OB |
156 |
3 |
108 |
13 |
---- |
---- |
| Political Science |
PWD-LM-OB |
212 |
1 |
168 |
18 |
134 |
36 |
| Political Science |
PWD-OD&AO-OB |
158 |
2 |
108 |
4 |
---- |
---- |
| Political Science |
PWD-VI-SC |
192 |
1 |
122 |
17 |
106 |
7 |
| Political Science |
PWD-HI-SC |
138 |
1 |
114 |
5 |
---- |
---- |
| Political Science |
PWD-LM-SC |
198 |
2 |
160 |
11 |
132 |
22 |
| Political Science |
PWD-OD&AO-SC |
144 |
2 |
106 |
2 |
---- |
---- |
| Political Science |
PWD-VI-ST |
192 |
1 |
106 |
7 |
---- |
---- |
| Political Science |
PWD-HI-ST |
144 |
1 |
120 |
4 |
---- |
---- |
| Political Science |
PWD-LM-ST |
180 |
1 |
134 |
9 |
114 |
19 |
| Political Science |
PWD-OD&AO-ST |
152 |
2 |
120 |
1 |
---- |
---- |
| Political Science |
PWD-VI-EW |
200 |
1 |
146 |
9 |
106 |
3 |
| Political Science |
PWD-HI-EW |
158 |
1 |
106 |
4 |
---- |
---- |
| Political Science |
PWD-LM-EW |
196 |
1 |
166 |
5 |
138 |
10 |
| Political Science |
PWD-OD&AO-EW |
126 |
1 |
---- |
---- |
---- |
---- |
| Political Science |
ThirdGender |
186 |
1 |
186 |
2 |
---- |
---- |
|
Subject |
Category |
JRF |
Assistant Professor |
PhD Only |
|||
|---|---|---|---|---|---|---|---|
| Cutoff |
Total Cand |
Cutoff |
Total Cand |
Cutoff |
Total Cand |
||
| Philosophy |
UNRESERVED |
210 |
10 |
184 |
114 |
160 |
252 |
| Philosophy |
OBC(NCL) |
196 |
5 |
168 |
75 |
144 |
173 |
| Philosophy |
EWS |
194 |
5 |
170 |
44 |
144 |
98 |
| Philosophy |
SC |
190 |
5 |
156 |
43 |
140 |
88 |
| Philosophy |
ST |
172 |
3 |
144 |
25 |
132 |
53 |
| Philosophy |
PWD-VI-UR |
132 |
1 |
132 |
1 |
112 |
1 |
| Philosophy |
PWD-HI-UR |
172 |
1 |
148 |
1 |
---- |
---- |
| Philosophy |
PWD-LM-UR |
154 |
2 |
154 |
2 |
122 |
4 |
| Philosophy |
PWD-OD&AO-UR |
152 |
1 |
116 |
4 |
---- |
---- |
| Philosophy |
PWD-VI-OB |
124 |
1 |
124 |
1 |
---- |
---- |
| Philosophy |
PWD-HI-OB |
148 |
1 |
---- |
---- |
---- |
---- |
| Philosophy |
PWD-LM-OB |
---- |
---- |
132 |
1 |
116 |
2 |
| Philosophy |
PWD-OD&AO-OB |
---- |
---- |
---- |
---- |
---- |
---- |
| Philosophy |
PWD-VI-SC |
---- |
---- |
---- |
---- |
---- |
---- |
| Philosophy |
PWD-HI-SC |
122 |
1 |
122 |
1 |
---- |
---- |
| Philosophy |
PWD-LM-SC |
110 |
1 |
110 |
1 |
---- |
---- |
| Philosophy |
PWD-OD&AO-SC |
---- |
---- |
---- |
---- |
---- |
---- |
| Philosophy |
PWD-VI-ST |
110 |
1 |
110 |
1 |
---- |
---- |
| Philosophy |
PWD-HI-ST |
---- |
---- |
---- |
---- |
---- |
---- |
| Philosophy |
PWD-LM-ST |
114 |
1 |
114 |
1 |
106 |
1 |
| Philosophy |
PWD-OD&AO-ST |
134 |
1 |
---- |
---- |
---- |
---- |
| Philosophy |
PWD-VI-EW |
---- |
---- |
---- |
---- |
---- |
---- |
| Philosophy |
PWD-HI-EW |
---- |
---- |
---- |
---- |
---- |
---- |
| Philosophy |
PWD-LM-EW |
140 |
1 |
140 |
1 |
110 |
1 |
| Philosophy |
PWD-OD&AO-EW |
116 |
1 |
---- |
---- |
---- |
---- |
| PHILOSOPHY |
ThirdGender |
120 |
1 |
120 |
1 |
---- |
---- |
|
Subject |
Category |
JRF |
Assistant Professor |
PhD Only |
|||
|---|---|---|---|---|---|---|---|
| Cutoff |
Total Cand |
Cutoff |
Total Cand |
Cutoff |
Total Cand |
||
| Sociology |
UNRESERVED |
228 |
81 |
204 |
792 |
176 |
1692 |
| Sociology |
OBC(NCL) |
216 |
48 |
188 |
452 |
160 |
965 |
| Sociology |
EWS |
220 |
15 |
190 |
192 |
156 |
400 |
| Sociology |
SC |
206 |
24 |
174 |
315 |
150 |
682 |
| Sociology |
ST |
204 |
16 |
170 |
210 |
150 |
420 |
| Sociology |
PWD-VI-UR |
210 |
2 |
156 |
12 |
112 |
25 |
| Sociology |
PWD-HI-UR |
184 |
1 |
126 |
15 |
110 |
4 |
| Sociology |
PWD-LM-UR |
202 |
1 |
170 |
14 |
140 |
28 |
| Sociology |
PWD-OD&AO-UR |
192 |
1 |
126 |
9 |
110 |
1 |
| Sociology |
PWD-VI-OB |
174 |
1 |
130 |
10 |
106 |
3 |
| Sociology |
PWD-HI-OB |
170 |
1 |
110 |
4 |
---- |
---- |
| Sociology |
PWD-LM-OB |
190 |
1 |
150 |
9 |
126 |
21 |
| Sociology |
PWD-OD&AO-OB |
154 |
1 |
122 |
1 |
---- |
---- |
| Sociology |
PWD-VI-SC |
150 |
1 |
112 |
4 |
106 |
3 |
| Sociology |
PWD-HI-SC |
118 |
1 |
108 |
2 |
---- |
---- |
| Sociology |
PWD-LM-SC |
180 |
1 |
140 |
6 |
126 |
12 |
| Sociology |
PWD-OD&AO-SC |
---- |
---- |
---- |
---- |
---- |
---- |
| Sociology |
PWD-VI-ST |
134 |
1 |
120 |
2 |
---- |
---- |
| Sociology |
PWD-HI-ST |
146 |
1 |
---- |
---- |
---- |
---- |
| Sociology |
PWD-LM-ST |
198 |
1 |
142 |
4 |
110 |
9 |
| Sociology |
PWD-OD&AO-ST |
114 |
1 |
114 |
1 |
---- |
---- |
| Sociology |
PWD-VI-EW |
184 |
1 |
136 |
3 |
110 |
2 |
| Sociology |
PWD-HI-EW |
142 |
1 |
118 |
2 |
---- |
---- |
| Sociology |
PWD-LM-EW |
170 |
1 |
142 |
4 |
118 |
8 |
| Sociology |
PWD-OD&AO-EW |
---- |
---- |
---- |
---- |
---- |
---- |
|
Subject |
Category |
JRF |
Assistant Professor |
PhD Only |
|||
|---|---|---|---|---|---|---|---|
| Cutoff |
Total Cand |
Cutoff |
Total Cand |
Cutoff |
Total Cand |
||
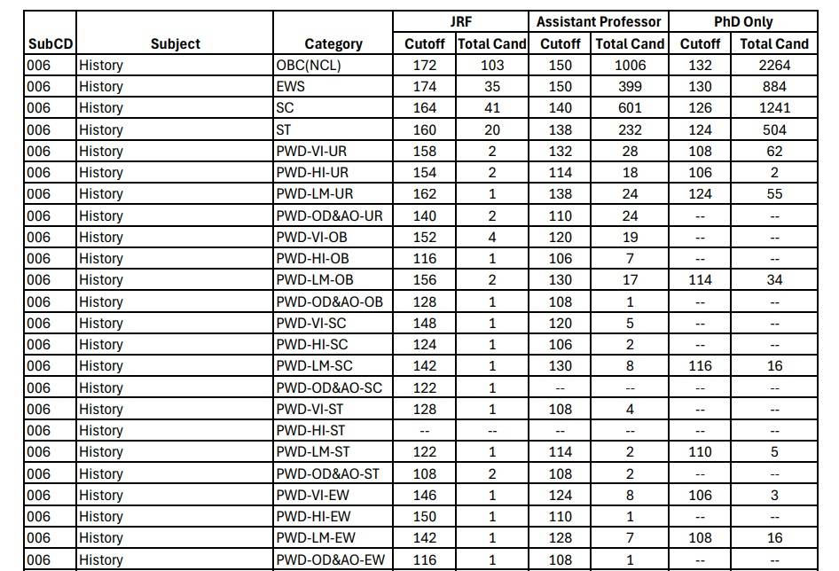
| History
|
UNRESERVED |
206 |
158 |
184 |
1717 |
162 |
3589 |
| History |
OBC(NCL) |
196 |
130 |
172 |
1134 |
150 |
2474 |
| History |
EWS |
198 |
45 |
172 |
432 |
148 |
979 |
| History |
SC |
188 |
64 |
162 |
661 |
144 |
1531 |
| History |
ST |
182 |
32 |
154 |
365 |
136 |
791 |
| History |
PWD-VI-UR |
192 |
3 |
150 |
34 |
116 |
70 |
| History |
PWD-HI-UR |
174 |
2 |
128 |
27 |
106 |
9 |
| History |
PWD-LM-UR |
188 |
2 |
160 |
29 |
138 |
68 |
| History |
PWD-OD&AO-UR |
158 |
3 |
116 |
26 |
110 |
1 |
| History |
PWD-VI-OB |
180 |
2 |
132 |
23 |
106 |
12 |
| History |
PWD-HI-OB |
166 |
1 |
108 |
5 |
---- |
---- |
| History |
PWD-LM-OB |
184 |
2 |
146 |
23 |
126 |
48 |
| History |
PWD-OD&AO-OB |
142 |
1 |
106 |
2 |
---- |
---- |
| History |
PWD-VI-SC |
174 |
1 |
118 |
9 |
108 |
2 |
| History |
PWD-HI-SC |
132 |
1 |
106 |
4 |
---- |
---- |
| History |
PWD-LM-SC |
176 |
2 |
146 |
12 |
122 |
26 |
| History |
PWD-OD&AO-SC |
120 |
1 |
114 |
1 |
---- |
---- |
| History |
PWD-VI-ST |
148 |
1 |
116 |
7 |
108 |
3 |
| History |
PWD-HI-ST |
122 |
1 |
116 |
2 |
---- |
---- |
| History |
PWD-LM-ST |
164 |
1 |
122 |
3 |
108 |
6 |
| History |
PWD-OD&AO-ST |
128 |
1 |
---- |
---- |
---- |
---- |
| History |
PWD-VI-EW |
180 |
1 |
122 |
8 |
106 |
5 |
| History |
PWD-HI-EW |
170 |
1 |
106 |
6 |
---- |
---- |
| History |
PWD-LM-EW |
178 |
1 |
146 |
6 |
124 |
13 |
| History |
PWD-OD&AO-EW |
108 |
1 |
108 |
1 |
---- |
---- |
|
Subject |
Category |
JRF |
Assistant Professor |
PhD Only |
|||
| Cutoff |
Total Cand |
Cutoff |
Total Cand |
Cutoff |
Total Cand |
||
| Anthropology |
UNRESERVED |
224 |
4 |
188 |
54 |
168 |
110 |
| Anthropology |
OBC(NCL) |
198 |
2 |
174 |
27 |
152 |
61 |
| Anthropology |
EWS |
210 |
1 |
176 |
9 |
152 |
19 |
| Anthropology |
SC |
180 |
1 |
162 |
14 |
148 |
36 |
| Anthropology |
ST |
192 |
2 |
160 |
24 |
140 |
50 |
| Anthropology |
PWD-VI-UR |
144 |
1 |
144 |
1 |
132 |
1 |
| Anthropology |
PWD-HI-UR |
---- |
---- |
---- |
---- |
---- |
---- |
| Anthropology |
PWD-LM-UR |
136 |
1 |
136 |
1 |
122 |
1 |
| Anthropology |
PWD-OD&AO-UR |
---- |
---- |
---- |
---- |
---- |
---- |
| Anthropology |
PWD-VI-OB |
---- |
---- |
---- |
---- |
---- |
---- |
| Anthropology |
PWD-HI-OB |
---- |
---- |
---- |
---- |
---- |
---- |
| Anthropology |
PWD-LM-OB |
---- |
---- |
---- |
---- |
---- |
---- |
| Anthropology |
PWD-OD&AO-OB |
---- |
---- |
---- |
---- |
---- |
---- |
| Anthropology |
PWD-VI-SC |
---- |
---- |
---- |
---- |
---- |
---- |
| Anthropology |
PWD-HI-SC |
---- |
---- |
---- |
---- |
---- |
---- |
| Anthropology |
PWD-LM-SC |
---- |
---- |
---- |
---- |
---- |
---- |
| Anthropology |
PWD-OD&AO-SC |
---- |
---- |
---- |
---- |
---- |
---- |
| Anthropology |
PWD-VI-ST |
---- |
---- |
---- |
---- |
---- |
---- |
| Anthropology |
PWD-HI-ST |
---- |
---- |
---- |
---- |
---- |
---- |
| Anthropology |
PWD-LM-ST |
---- |
---- |
---- |
---- |
---- |
---- |
| Anthropology |
PWD-OD&AO-ST |
---- |
---- |
---- |
---- |
---- |
---- |
| Anthropology |
PWD-VI-EW |
---- |
---- |
---- |
---- |
---- |
---- |
| Anthropology |
PWD-HI-EW |
---- |
---- |
---- |
---- |
---- |
---- |
| Anthropology |
PWD-LM-EW |
---- |
---- |
---- |
---- |
---- |
---- |
| Anthropology |
PWD-OD&AO-EW |
---- |
---- |
---- |
---- |
---- |
---- |
|
Subject |
Category |
JRF |
Assistant Professor |
PhD Only |
|||
|---|---|---|---|---|---|---|---|
| Cutoff |
Total Cand |
Cutoff |
Total Cand |
Cutoff |
Total Cand |
||
| Commerce |
UNRESERVED |
210 |
139 |
186 |
1540 |
162 |
3279 |
| Commerce |
OBC(NCL) |
198 |
90 |
168 |
1088 |
148 |
2363 |
| Commerce |
EWS |
202 |
43 |
172 |
409 |
144 |
936 |
| Commerce |
SC |
190 |
33 |
158 |
432 |
140 |
943 |
| Commerce |
ST |
178 |
13 |
152 |
176 |
136 |
382 |
| Commerce |
PWD-VI-UR |
192 |
1 |
152 |
17 |
116 |
37 |
| Commerce |
PWD-HI-UR |
156 |
2 |
130 |
9 |
108 |
5 |
| Commerce |
PWD-LM-UR |
190 |
1 |
158 |
19 |
136 |
45 |
| Commerce |
PWD-OD&AO-UR |
170 |
2 |
114 |
19 |
---- |
---- |
| Commerce |
PWD-VI-OB |
180 |
1 |
126 |
12 |
106 |
13 |
| Commerce |
PWD-HI-OB |
124 |
1 |
108 |
6 |
---- |
---- |
| Commerce |
PWD-LM-OB |
178 |
1 |
142 |
12 |
124 |
24 |
| Commerce |
PWD-OD&AO-OB |
158 |
1 |
---- |
---- |
---- |
---- |
| Commerce |
PWD-VI-SC |
138 |
1 |
120 |
5 |
112 |
2 |
| Commerce |
PWD-HI-SC |
128 |
1 |
128 |
1 |
---- |
---- |
| Commerce |
PWD-LM-SC |
164 |
2 |
138 |
4 |
124 |
8 |
| Commerce |
PWD-OD&AO-SC |
118 |
1 |
110 |
1 |
---- |
---- |
| Commerce |
PWD-VI-ST |
118 |
1 |
114 |
2 |
108 |
1 |
| Commerce |
PWD-HI-ST |
---- |
---- |
---- |
---- |
---- |
---- |
| Commerce |
PWD-LM-ST |
134 |
1 |
130 |
2 |
114 |
5 |
| Commerce |
PWD-OD&AO-ST |
---- |
---- |
---- |
---- |
---- |
---- |
| Commerce |
PWD-VI-EW |
150 |
2 |
146 |
3 |
110 |
1 |
| Commerce |
PWD-HI-EW |
130 |
1 |
---- |
---- |
---- |
---- |
| Commerce |
PWD-LM-EW |
174 |
1 |
146 |
6 |
110 |
13 |
| Commerce |
PWD-OD&AO-EW |
156 |
1 |
---- |
---- |
---- |
---- |
|
Subject |
Category |
JRF |
Assistant Professor |
PhD Only |
|||
|---|---|---|---|---|---|---|---|
| Cutoff |
Total Cand |
Cutoff |
Total Cand |
Cutoff |
Total Cand |
||
| Public Administration |
UNRESERVED |
222 |
12 |
200 |
134 |
174 |
318 |
| Public Administration |
OBC(NCL) |
216 |
6 |
186 |
78 |
158 |
183 |
| Public Administration |
EWS |
216 |
2 |
184 |
32 |
156 |
67 |
| Public Administration |
SC |
202 |
4 |
174 |
48 |
154 |
103 |
| Public Administration |
ST |
208 |
2 |
172 |
34 |
148 |
70 |
| Public Administration |
PWD-VI-UR |
164 |
1 |
158 |
2 |
106 |
5 |
| Public Administration |
PWD-HI-UR |
168 |
1 |
132 |
5 |
118 |
1 |
| Public Administration |
PWD-LM-UR |
192 |
1 |
170 |
2 |
146 |
4 |
| Public Administration |
PWD-OD&AO-UR |
146 |
1 |
116 |
2 |
---- |
---- |
| Public Administration |
PWD-VI-OB |
156 |
1 |
156 |
1 |
---- |
---- |
| Public Administration |
PWD-HI-OB |
138 |
1 |
---- |
---- |
---- |
---- |
| Public Administration |
PWD-LM-OB |
160 |
1 |
160 |
1 |
130 |
2 |
| Public Administration |
PWD-OD&AO-OB |
---- |
---- |
---- |
---- |
---- |
---- |
| Public Administration |
PWD-VI-SC |
142 |
1 |
138 |
2 |
---- |
---- |
| Public Administration |
PWD-HI-SC |
112 |
1 |
112 |
1 |
---- |
---- |
| Public Administration |
PWD-LM-SC |
156 |
1 |
156 |
1 |
128 |
3 |
| Public Administration |
PWD-OD&AO-SC |
---- |
---- |
---- |
---- |
---- |
---- |
| Public Administration |
PWD-VI-ST |
---- |
---- |
---- |
---- |
---- |
---- |
| Public Administration |
PWD-HI-ST |
132 |
1 |
---- |
---- |
---- |
---- |
| Public Administration |
PWD-LM-ST |
136 |
1 |
136 |
1 |
---- |
---- |
| Public Administration |
PWD-OD&AO-ST |
---- |
---- |
---- |
---- |
---- |
---- |
| Public Administration |
PWD-VI-EW |
140 |
1 |
140 |
1 |
---- |
---- |
| Public Administration |
PWD-HI-EW |
---- |
---- |
---- |
---- |
---- |
---- |
| Public Administration |
PWD-LM-EW |
170 |
1 |
146 |
1 |
---- |
---- |
| Public Administration |
PWD-OD&AO-EW |
---- |
---- |
---- |
---- |
---- |
---- |
UGC NET 2024 June Cutoff
Candidates can check the UGC NET 2024 cut off for the June cycle below in the table:
|
Subject |
Category |
JRF |
Assistant Professor |
PhD Only |
|||
|---|---|---|---|---|---|---|---|
| Cutoff |
Total Cand |
Cutoff |
Total Cand |
Cutoff |
Total Cand |
||
| Economics / Rural E |
UNRESERVED |
210 |
66 |
182 |
741 |
154 |
1614 |
| Economics / Rural E |
OBC(NCL) |
198 |
41 |
160 |
578 |
140 |
1186 |
| Economics / Rural E |
EWS |
200 |
15 |
164 |
183 |
140 |
392 |
| Economics / Rural E |
SC |
184 |
22 |
148 |
299 |
130 |
611 |
| Economics / Rural E |
ST |
176 |
17 |
144 |
194 |
128 |
437 |
| Economics / Rural E |
PWD-VI-UR |
176 |
1 |
138 |
7 |
112 |
14 |
| Economics / Rural E |
PWD-HI-UR |
158 |
2 |
120 |
6 |
108 |
2 |
| Economics / Rural E |
PWD-LM-UR |
180 |
1 |
150 |
11 |
124 |
24 |
| Economics / Rural E |
PWD-OD&AO-UR |
136 |
1 |
112 |
8 |
---- |
---- |
| Economics / Rural E |
PWD-VI-OB |
160 |
1 |
114 |
6 |
106 |
5 |
| Economics / Rural E |
PWD-HI-OB |
136 |
1 |
106 |
3 |
---- |
---- |
| Economics / Rural E |
PWD-LM-OB |
158 |
2 |
132 |
10 |
114 |
24 |
| Economics / Rural E |
PWD-OD&AO-OB |
124 |
1 |
106 |
2 |
---- |
---- |
| Economics / Rural E |
PWD-VI-SC |
|
|
110 |
1 |
---- |
---- |
| Economics / Rural E |
PWD-HI-SC |
---- |
---- |
---- |
---- |
---- |
---- |
| Economics / Rural E |
PWD-LM-SC |
160 |
1 |
126 |
4 |
112 |
9 |
| Economics / Rural E |
PWD-OD&AO-SC |
112 |
1 |
---- |
---- |
---- |
---- |
| Economics / Rural E |
PWD-VI-ST |
130 |
1 |
112 |
2 |
---- |
---- |
| Economics / Rural E |
PWD-HI-ST |
---- |
---- |
---- |
---- |
---- |
---- |
| Economics / Rural E |
PWD-LM-ST |
128 |
1 |
112 |
3 |
106 |
5 |
| Economics / Rural E |
PWD-OD&AO-ST |
---- |
---- |
---- |
---- |
---- |
---- |
| Economics / Rural E |
PWD-VI-EW |
148 |
1 |
136 |
1 |
---- |
---- |
| Economics / Rural E |
PWD-HI-EW |
---- |
---- |
---- |
---- |
---- |
---- |
| Economics / Rural E |
PWD-LM-EW |
172 |
1 |
140 |
1 |
116 |
3 |
| Economics / Rural E |
PWD-OD&AO-EW |
130 |
1 |
---- |
---- |
---- |
---- |
|
Subject |
Category |
JRF |
Assistant Professor |
PhD Only |
|||
|---|---|---|---|---|---|---|---|
| Cutoff |
Total Cand |
Cutoff |
Total Cand |
Cutoff |
Total Cand |
||
| Political Science |
UNRESERVED |
99.7303386 |
193 |
96.3442108 |
2285 |
83.2434462 |
4716 |
| Political Science |
OBC(NCL) |
99.2325753 |
110 |
91.3165364 |
1333 |
71.5947717 |
2818 |
| Political Science |
EWS |
99.2422174 |
56 |
90.3911797 |
621 |
67.0228017 |
1248 |
| Political Science |
SC |
97.3204533 |
76 |
83.2434462 |
950 |
64.3024845 |
2024 |
| Political Science |
ST |
96.7656026 |
43 |
78.1581806 |
531 |
58.6466692 |
1100 |
| Political Science |
PWD-VI-UR |
99.10568 |
4 |
67.0228017 |
37 |
15.0430093 |
75 |
| Political Science |
PWD-HI-UR |
91.3844894 |
3 |
34.8354767 |
35 |
17.1217914 |
4 |
| Political Science |
PWD-LM-UR |
97.7266521 |
3 |
79.5843992 |
33 |
56.4684599 |
70 |
| Political Science |
PWD-OD&AO-UR |
93.1389951 |
3 |
18.498791 |
35 |
15.0430093 |
1 |
| Political Science |
PWD-VI-OB |
97.1791008 |
2 |
42.534817 |
22 |
13.1690333 |
2 |
| Political Science |
PWD-HI-OB |
71.5947717 |
2 |
11.4998635 |
11 |
---- |
---- |
| Political Science |
PWD-LM-OB |
95.71784 |
2 |
65.0361824 |
22 |
39.2087465 |
48 |
| Political Science |
PWD-OD&AO-OB |
80.5707264 |
2 |
11.4998635 |
2 |
---- |
---- |
| Political Science |
PWD-VI-SC |
90.3911797 |
2 |
26.3482496 |
21 |
13.1690333 |
2 |
| Political Science |
PWD-HI-SC |
24.2737499 |
3 |
13.1690333 |
8 |
---- |
---- |
| Political Science |
PWD-LM-SC |
87.1780495 |
1 |
64.3024845 |
17 |
30.3522665 |
36 |
| Political Science |
PWD-OD&AO-SC |
43.6135543 |
1 |
16.7151417 |
1 |
---- |
---- |
| Political Science |
PWD-VI-ST |
78.1581806 |
1 |
14.98756 |
10 |
---- |
---- |
|
Subject |
Category |
JRF |
Assistant Professor |
PhD Only |
|||
|---|---|---|---|---|---|---|---|
| Cutoff |
Total Cand |
Cutoff |
Total Cand |
Cutoff |
Total Cand |
||
| Political Science |
PWD-HI-ST |
76.0752321 |
1 |
14.98756 |
4 |
---- |
---- |
| Political Science |
PWD-LM-ST |
81.0631811 |
1 |
44.910568 |
10 |
18.498791 |
21 |
| Political Science |
PWD-OD&AO-ST |
20.3840628 |
1 |
---- |
---- |
---- |
---- |
| Political Science |
PWD-VI-EW |
94.5521573 |
1 |
32.6803799 |
9 |
---- |
---- |
| Political Science |
PWD-HI-EW |
73.3503872 |
1 |
13.1690333 |
4 |
---- |
---- |
| Political Science |
PWD-LM-EW |
95.71784 |
1 |
64.3024845 |
7 |
19.1015838 |
14 |
| Political Science |
PWD-OD&AO-EW |
---- |
---- |
---- |
---- |
---- |
---- |
| Political Science |
Third Gender |
21.2247406 |
2 |
21.2247406 |
2 |
---- |
---- |
|
Subject |
Category |
JRF |
Assistant Professor |
PhD Only |
|||
|---|---|---|---|---|---|---|---|
| Cutoff |
Total Cand |
Cutoff |
Total Cand |
Cutoff |
Total Cand |
||
| Philosophy |
UNRESERVED |
202 |
13 |
180 |
143 |
154 |
327 |
| Philosophy |
OBC(NCL) |
190 |
8 |
162 |
92 |
140 |
202 |
| Philosophy |
EWS |
198 |
4 |
166 |
43 |
140 |
88 |
| Philosophy |
SC |
188 |
5 |
154 |
55 |
134 |
117 |
| Philosophy |
ST |
168 |
5 |
140 |
50 |
124 |
111 |
| Philosophy |
PWD-VI-UR |
158 |
2 |
158 |
2 |
106 |
4 |
| Philosophy |
PWD-HI-UR |
110 |
1 |
110 |
1 |
---- |
---- |
| Philosophy |
PWD-LM-UR |
168 |
1 |
168 |
1 |
138 |
2 |
| Philosophy |
PWD-OD&AO-UR |
---- |
---- |
---- |
---- |
---- |
---- |
| Philosophy |
PWD-VI-OB |
134 |
1 |
120 |
2 |
---- |
---- |
| Philosophy |
PWD-HI-OB |
---- |
---- |
---- |
---- |
---- |
---- |
| Philosophy |
PWD-LM-OB |
148 |
1 |
148 |
1 |
126 |
2 |
| Philosophy |
PWD-OD&AO-OB |
---- |
---- |
---- |
---- |
---- |
---- |
| Philosophy |
PWD-VI-SC |
120 |
1 |
120 |
1 |
---- |
---- |
| Philosophy |
PWD-HI-SC |
---- |
---- |
---- |
---- |
---- |
---- |
| Philosophy |
PWD-LM-SC |
112 |
1 |
112 |
1 |
110 |
1 |
| Philosophy |
PWD-OD&AO-SC |
---- |
---- |
---- |
---- |
---- |
---- |
| Philosophy |
PWD-VI-ST |
---- |
---- |
---- |
---- |
---- |
---- |
| Philosophy |
PWD-HI-ST |
---- |
---- |
---- |
---- |
---- |
---- |
| Philosophy |
PWD-LM-ST |
---- |
---- |
---- |
---- |
---- |
---- |
| Philosophy |
PWD-OD&AO-ST |
---- |
---- |
---- |
---- |
---- |
---- |
| Philosophy |
PWD-VI-EW |
136 |
1 |
136 |
1 |
---- |
---- |
| Philosophy |
PWD-HI-EW |
---- |
---- |
---- |
---- |
---- |
---- |
| Philosophy |
PWD-LM-EW |
---- |
---- |
---- |
---- |
---- |
---- |
| Philosophy |
PWD-OD&AO-EW |
---- |
---- |
---- |
---- |
---- |
---- |
| Psychology |
UNRESERVED |
222 |
39 |
198 |
535 |
174 |
1091 |
| Psychology |
OBC(NCL) |
210 |
23 |
178 |
289 |
156 |
588 |
| Psychology |
EWS |
212 |
7 |
180 |
85 |
152 |
184 |
| Psychology |
SC |
194 |
9 |
164 |
116 |
142 |
243 |
| Psychology |
ST |
198 |
4 |
158 |
53 |
136 |
106 |
| Psychology |
PWD-VI-UR |
180 |
1 |
160 |
5 |
116 |
12 |
| Psychology |
PWD-HI-UR |
160 |
1 |
132 |
2 |
---- |
---- |
| Psychology |
PWD-LM-UR |
168 |
1 |
152 |
3 |
132 |
6 |
| Psychology |
PWD-OD&AO-UR |
174 |
1 |
128 |
9 |
106 |
2 |
| Psychology |
PWD-VI-OB |
162 |
1 |
128 |
2 |
108 |
1 |
|
Subject |
Category |
JRF |
Assistant Professor |
PhD Only |
|||
|---|---|---|---|---|---|---|---|
| Cutoff |
Total Cand |
Cutoff |
Total Cand |
Cutoff |
Total Cand |
||
| Sociology |
UNRESERVED |
204 |
75 |
180 |
717 |
156 |
1488 |
| Sociology |
OBC(NCL) |
192 |
36 |
164 |
479 |
142 |
1088 |
| Sociology |
EWS |
192 |
16 |
164 |
213 |
140 |
454 |
| Sociology |
SC |
180 |
30 |
152 |
364 |
134 |
783 |
| Sociology |
ST |
176 |
19 |
150 |
229 |
134 |
472 |
| Sociology |
PWD-VI-UR |
174 |
1 |
136 |
14 |
106 |
25 |
| Sociology |
PWD-HI-UR |
150 |
2 |
118 |
13 |
108 |
5 |
| Sociology |
PWD-LM-UR |
186 |
1 |
150 |
16 |
130 |
32 |
| Sociology |
PWD-OD&AO-UR |
142 |
1 |
108 |
18 |
---- |
---- |
| Sociology |
PWD-VI-OB |
164 |
3 |
118 |
8 |
---- |
---- |
| Sociology |
PWD-HI-OB |
144 |
1 |
110 |
3 |
---- |
---- |
| Sociology |
PWD-LM-OB |
182 |
1 |
140 |
11 |
120 |
24 |
| Sociology |
PWD-OD&AO-OB |
138 |
1 |
---- |
---- |
---- |
---- |
| Sociology |
PWD-VI-SC |
140 |
1 |
106 |
8 |
---- |
---- |
| Sociology |
PWD-HI-SC |
114 |
1 |
112 |
2 |
---- |
---- |
| Sociology |
PWD-LM-SC |
160 |
1 |
132 |
9 |
112 |
20 |
| Sociology |
PWD-OD&AO-SC |
---- |
---- |
---- |
---- |
---- |
---- |
| Sociology |
PWD-VI-ST |
116 |
2 |
112 |
3 |
---- |
---- |
| Sociology |
PWD-HI-ST |
116 |
1 |
116 |
1 |
---- |
---- |
| Sociology |
PWD-LM-ST |
128 |
1 |
120 |
4 |
108 |
5 |
| Sociology |
PWD-OD&AO-ST |
108 |
1 |
---- |
---- |
---- |
---- |
| Sociology |
PWD-VI-EW |
140 |
1 |
130 |
2 |
---- |
---- |
| Sociology |
PWD-HI-EW |
136 |
1 |
106 |
2 |
---- |
---- |
| Sociology |
PWD-LM-EW |
162 |
2 |
136 |
6 |
106 |
7 |
| Sociology |
PWD-OD&AO-EW |
---- |
---- |
---- |
---- |
---- |
---- |
| History |
UNRESERVED |
99.7928431 |
135 |
97.6608584 |
1595 |
87.9748739 |
3386 |
| History |
OBC(NCL) |
99.3417755 |
108 |
93.4378028 |
1254 |
79.3409723 |
2560 |
| History |
EWS |
99.5152214 |
36 |
92.8707031 |
475 |
77.1103126 |
951 |
|
Subject |
Category |
JRF |
Assistant Professor |
PhD Only |
|||
|---|---|---|---|---|---|---|---|
| Cutoff |
Total Cand |
Cutoff |
Total Cand |
Cutoff |
Total Cand |
||
| History |
SC |
98.2993084 |
60 |
87.7652722 |
739 |
70.8844265 |
1605 |
| History |
ST |
97.1252288 |
30 |
83.1547902 |
354 |
65.7422567 |
764 |
| History |
PWD-VI-UR |
98.6609262 |
4 |
79.3409723 |
37 |
24.0626483 |
77 |
| History |
PWD-HI-UR |
94.3299141 |
1 |
50.519563 |
22 |
26.5950234 |
8 |
| History |
PWD-LM-UR |
97.1252288 |
2 |
86.402468 |
32 |
65.4010441 |
71 |
| History |
PWD-OD&AO-UR |
89.1653671 |
2 |
29.2833412 |
26 |
26.5950234 |
2 |
| History |
PWD-VI-OB |
95.8810767 |
2 |
57.4411825 |
26 |
---- |
---- |
| History |
PWD-HI-OB |
67.8283273 |
1 |
26.5950234 |
8 |
---- |
---- |
| History |
PWD-LM-OB |
95.8810767 |
2 |
74.9745745 |
20 |
51.8272425 |
44 |
| History |
PWD-OD&AO-OB |
86.6049651 |
1 |
24.0626483 |
1 |
---- |
---- |
| History |
PWD-VI-SC |
97.4940693 |
1 |
40.4162994 |
12 |
---- |
---- |
| History |
PWD-HI-SC |
62.8086471 |
1 |
37.4838972 |
2 |
---- |
---- |
| History |
PWD-LM-SC |
90.4671503 |
1 |
72.6218727 |
13 |
49.0101024 |
27 |
| History |
PWD-OD&AO-SC |
54.7121839 |
2 |
24.0626483 |
2 |
---- |
---- |
| History |
PWD-VI-ST |
51.8272425 |
1 |
26.5950234 |
5 |
---- |
---- |
| History |
PWD-HI-ST |
---- |
---- |
---- |
---- |
---- |
---- |
| History |
PWD-LM-ST |
83.1547902 |
1 |
46.009899 |
4 |
24.0626483 |
9 |
| History |
PWD-OD&AO-ST |
50.519563 |
1 |
---- |
---- |
---- |
---- |
| History |
PWD-VI-EW |
97.4940693 |
1 |
34.7311682 |
7 |
---- |
---- |
| History |
PWD-HI-EW |
90.4671503 |
1 |
---- |
---- |
---- |
---- |
| History |
PWD-LM-EW |
92.8707031 |
1 |
72.6218727 |
7 |
40.6896321 |
15 |
| History |
PWD-OD&AO-EW |
44.2714424 |
1 |
---- |
---- |
---- |
---- |
UGC NET Minimum Qualifying Marks 2025
The candidates securing more than 40 per cent marks in Paper 1 and Paper 2 UGC NET exam become eligible to qualify for the exam. However, to qualify for the UGC NET 2025 the candidates have to secure the UGC NET cut-off marks. The candidates can check the category-wise minimum qualifying marks in the table below:
| UGC NET Cut Off Category | UGC NET Minimum Qualifying Marks (Paper 1 & 2) |
|---|---|
| General | 40 per cent |
| OBS/SC/ST/PwD | 35 per cent |
Criteria to Determine UGC NET Cut off 2025
The criteria for determining UGC NET cutoffs for each subject are as mentioned in the steps below:
Step 1: The number of candidates qualified in UGC NET is equal to six per cent of the candidates who appeared in both papers of the exam
Step 2: Total slots are allocated to candidates belonging to different categories as per the reservation policy of the Government of India
Step 3: In order to be considered for the award of JRF and/or eligibility for Assistant Professor, candidates need to score the minimum marks as mentioned below:
| Category |
Minimum Marks to be obtained |
|---|---|
| General |
40 per cent aggregate marks in both the papers taken together |
| Other Backward Class-Non-Creamy Layer (OBC-NCL)/Persons with Disability (PwD)/Scheduled Caste (SC)/Scheduled Tribe (ST) |
30 per cent aggregate marks in both the papers taken together |
Also Read: UGC NET Environmental Science Syllabus
Step 4: The number of candidates declared UGC NET qualified in any subject for a particular category is derived as per the methodology given below:
| Example: Number of candidates to be declared qualified for Eligibility for Assistant Professor in the subject ‘Economics’ for the Scheduled Caste (SC) category |
Number of candidates belonging to SC category who secure atleast 35 per cent aggregate marks in both the papers taken together for SC category for ‘Economics’ (x) Total slots derived for SC category as per Step II (÷) Total number of candidates belonging to SC category over all subjects who secure at least 35% aggregate marks in both the papers taken together |
The aggregate percentage secured by candidates in the two papers corresponding to the number of slots shall determine the qualifying cut-off for eligibility for Assistant Professor in Economics for the SC category. Similarly, cutoffs shall be decided for all subjects and categories.
Step 5: All candidates (who had applied for both Assistant Professor and JRF) out of the total number of qualified candidates derived in Step IV, shall be considered for JRF.
Step 6: Total number of slots available for awarding JRF is allocated among different categories as per the reservation policy of the Government of India. The procedure for subject-wise cum category-wise allocation of JRF slots is mentioned below:
| Example: Number of candidates to be declared qualified for JRF & Eligibility for Assistant Professor Both in the subject ‘Economics’ for the Scheduled Tribe (ST) category |
Number of candidates belonging to ST category who have opted for JRF and have qualified for Eligibility for Assistant Professor Both in the subject ‘Economics’ (x) Total JRF slots available for ST category (÷) Total number of candidates belonging to ST category over all subjects who have opted for JRF and have qualified for Eligibility for Assistant Professor |
The aggregate percentage secured by candidates in both the papers corresponding to the number of JRF slots shall determine the qualifying cut-off for JRF in Economics for the ST category. Similarly, cutoffs shall be decided for all subjects and categories.
Also Read: UGC NET Certificate
UGC NET Subject Wise Cut Off Marks: December Cycle
The candidates can check the UGC NET cut off for the December cycle below in the table:
|
Subject |
Category |
Assistant Professor |
JRF G Assistant Professor |
||
|---|---|---|---|---|---|
| Cutoff Marks |
Total Cand |
Cutoff Marks |
Total Cand |
||
| Economics / Rural Economics |
UNRESERVED |
154 |
499 |
180 |
45 |
| Economics / Rural Economics |
OBC(NCL) |
138 |
435 |
162 |
34 |
| Economics / Rural Economics |
EWS |
142 |
131 |
170 |
10 |
| Economics / Rural Economics |
SC |
130 |
209 |
154 |
15 |
| Economics / Rural Economics |
ST |
126 |
163 |
148 |
12 |
| Economics / Rural Economics |
PWD-VI-UR |
128 |
7 |
140 |
1 |
| Economics / Rural Economics |
PWD-HI-UR |
110 |
3 |
120 |
1 |
| Economics / Rural Economics |
PWD-LM-UR |
130 |
7 |
152 |
1 |
| Economics / Rural Economics |
PWD-OD&AO-UR |
106 |
5 |
162 |
1 |
| Economics / Rural Economics |
PWD-VI-OB |
116 |
4 |
136 |
2 |
| Economics / Rural Economics |
PWD-HI-OB |
106 |
2 |
---- |
---- |
| Economics / Rural Economics |
PWD-LM-OB |
124 |
5 |
140 |
1 |
| Economics / Rural Economics |
PWD-OD&AO-OB |
---- |
---- |
110 |
1 |
| Economics / Rural Economics |
PWD-VI-SC |
108 |
3 |
118 |
1 |
| Economics / Rural Economics |
PWD-HI-SC |
---- |
---- |
---- |
---- |
| Economics / Rural Economics |
PWD-LM-SC |
118 |
3 |
130 |
1 |
| Economics / Rural Economics |
PWD-OD&AO-SC |
---- |
---- |
---- |
---- |
| Economics / Rural Economics |
PWD-VI-ST |
---- |
---- |
---- |
---- |
| Economics / Rural Economics |
PWD-HI-ST |
---- |
---- |
---- |
---- |
| Economics / Rural Economics |
PWD-LM-ST |
110 |
3 |
136 |
1 |
| Economics / Rural Economics |
PWD-OD&AO-ST |
---- |
---- |
---- |
---- |
| Economics / Rural Economics |
PWD-VI-EW |
---- |
---- |
136 |
1 |
| Economics / Rural Economics |
PWD-HI-EW |
---- |
---- |
---- |
---- |
| Economics / Rural Economics |
PWD-LM-EW |
116 |
3 |
132 |
1 |
| Economics / Rural Economics |
PWD-OD&AO-EW |
---- |
---- |
106 |
1 |
| Economics / Rural Economics |
Third Gender |
128 |
1 |
128 |
1 |
| Political Science |
UNRESERVED |
190 |
2253 |
216 |
190 |
| Political Science |
OBC(NCL) |
174 |
1402 |
206 |
114 |
| Political Science |
EWS |
174 |
586 |
208 |
53 |
| Political Science |
SC |
162 |
937 |
190 |
90 |
| Political Science |
ST |
156 |
519 |
186 |
44 |
| Political Science |
PWD-VI-UR |
156 |
29 |
192 |
2 |
| Political Science |
PWD-HI-UR |
124 |
32 |
170 |
3 |
| Political Science |
PWD-LM-UR |
160 |
31 |
198 |
2 |
| Political Science |
PWD-OD&AO-UR |
106 |
31 |
192 |
3 |
| Political Science |
PWD-VI-OB |
132 |
13 |
188 |
1 |
| Political Science |
PWD-HI-OB |
106 |
5 |
150 |
2 |
| Political Science |
PWD-LM-OB |
146 |
19 |
184 |
2 |
| Political Science |
PWD-OD&AO-OB |
---- |
---- |
148 |
3 |
| Political Science |
PWD-VI-SC |
110 |
16 |
176 |
2 |
| Political Science |
PWD-HI-SC |
106 |
5 |
140 |
1 |
|
Subject |
Category |
Assistant Professor |
JRF G Assistant Professor |
||
|---|---|---|---|---|---|
| Cutoff Marks |
Total Cand |
Cutoff Marks |
Total Cand |
||
| Political Science |
PWD-LM-SC |
142 |
11 |
168 |
1 |
| Political Science |
PWD-OD&AO-SC |
---- |
---- |
116 |
2 |
| Political Science |
PWD-VI-ST |
108 |
5 |
162 |
1 |
| Political Science |
PWD-HI-ST |
106 |
1 |
134 |
1 |
| Political Science |
PWD-LM-ST |
124 |
11 |
166 |
1 |
| Political Science |
PWD-OD&AO-ST |
---- |
---- |
110 |
1 |
| Political Science |
PWD-VI-EW |
120 |
6 |
172 |
1 |
| Political Science |
PWD-HI-EW |
116 |
3 |
152 |
1 |
| Political Science |
PWD-LM-EW |
142 |
7 |
170 |
1 |
| Political Science |
PWD-OD&AO-EW |
---- |
---- |
138 |
1 |
| Philosophy |
UNRESERVED |
196 |
221 |
224 |
18 |
| Philosophy |
OBC(NCL) |
180 |
113 |
210 |
10 |
| Philosophy |
EWS |
182 |
58 |
210 |
6 |
| Philosophy |
SC |
172 |
78 |
202 |
8 |
| Philosophy |
ST |
152 |
56 |
180 |
5 |
| Philosophy |
PWD-VI-UR |
152 |
2 |
156 |
1 |
| Philosophy |
PWD-HI-UR |
124 |
3 |
144 |
1 |
| Philosophy |
PWD-LM-UR |
150 |
2 |
152 |
1 |
| Philosophy |
PWD-OD&AO-UR |
124 |
1 |
186 |
1 |
| Philosophy |
PWD-VI-OB |
138 |
3 |
152 |
1 |
| Philosophy |
PWD-HI-OB |
110 |
2 |
---- |
---- |
| Philosophy |
PWD-LM-OB |
144 |
1 |
---- |
---- |
| Philosophy |
PWD-OD&AO-OB |
---- |
---- |
---- |
---- |
| Philosophy |
PWD-VI-SC |
126 |
1 |
126 |
1 |
| Philosophy |
PWD-HI-SC |
---- |
---- |
---- |
---- |
| Philosophy |
PWD-LM-SC |
132 |
1 |
---- |
---- |
| Philosophy |
PWD-OD&AO-SC |
---- |
---- |
---- |
---- |
| Philosophy |
PWD-VI-ST |
---- |
---- |
---- |
---- |
| Philosophy |
PWD-HI-ST |
---- |
---- |
---- |
---- |
| Philosophy |
PWD-LM-ST |
120 |
1 |
120 |
1 |
| Philosophy |
PWD-OD&AO-ST |
---- |
---- |
---- |
---- |
| Philosophy |
PWD-VI-EW |
120 |
1 |
120 |
1 |
| Philosophy |
PWD-HI-EW |
---- |
---- |
---- |
---- |
| Philosophy |
PWD-LM-EW |
116 |
1 |
116 |
1 |
| Philosophy |
PWD-OD&AO-EW |
---- |
---- |
---- |
---- |
| Philosophy |
Third Gender |
118 |
1 |
118 |
1 |
| Psychology |
UNRESERVED |
190 |
646 |
216 |
43 |
| Psychology |
OBC(NCL) |
170 |
327 |
200 |
27 |
| Psychology |
EWS |
172 |
86 |
204 |
8 |
| Psychology |
SC |
156 |
125 |
188 |
9 |
| Psychology |
ST |
156 |
54 |
188 |
6 |
|
Subject |
Category |
Assistant Professor |
JRF G Assistant Professor |
||
|---|---|---|---|---|---|
| Cutoff Marks |
Total Cand |
Cutoff Marks |
Total Cand |
||
| Psychology |
PWD-VI-UR |
156 |
3 |
168 |
1 |
| Psychology |
PWD-HI-UR |
132 |
3 |
142 |
1 |
| Psychology |
PWD-LM-UR |
158 |
3 |
172 |
1 |
| Psychology |
PWD-OD&AO-UR |
108 |
10 |
184 |
1 |
| Psychology |
PWD-VI-OB |
126 |
2 |
126 |
1 |
| Psychology |
PWD-HI-OB |
106 |
2 |
---- |
---- |
| Psychology |
PWD-LM-OB |
132 |
1 |
132 |
1 |
| Psychology |
PWD-OD&AO-OB |
---- |
---- |
154 |
1 |
| Psychology |
PWD-VI-SC |
---- |
---- |
---- |
---- |
| Psychology |
PWD-HI-SC |
---- |
---- |
---- |
---- |
| Psychology |
PWD-LM-SC |
124 |
1 |
---- |
---- |
| Psychology |
PWD-OD&AO-SC |
---- |
---- |
---- |
---- |
| Psychology |
PWD-VI-ST |
---- |
---- |
---- |
---- |
| Psychology |
PWD-HI-ST |
---- |
---- |
---- |
---- |
| Psychology |
PWD-LM-ST |
---- |
---- |
---- |
---- |
| Psychology |
PWD-OD&AO-ST |
---- |
---- |
---- |
---- |
| Psychology |
PWD-VI-EW |
---- |
---- |
---- |
---- |
| Psychology |
PWD-HI-EW |
112 |
1 |
136 |
1 |
| Psychology |
PWD-LM-EW |
---- |
---- |
---- |
---- |
| Psychology |
PWD-OD&AO-EW |
---- |
---- |
---- |
---- |
| Psychology |
Third Gender |
128 |
1 |
128 |
1 |
| Sociology |
UNRESERVED |
184 |
841 |
210 |
81 |
| Sociology |
OBC(NCL) |
168 |
528 |
198 |
43 |
| Sociology |
EWS |
168 |
224 |
200 |
19 |
| Sociology |
SC |
154 |
369 |
186 |
29 |
| Sociology |
ST |
150 |
224 |
178 |
15 |
| Sociology |
PWD-VI-UR |
148 |
12 |
202 |
1 |
| Sociology |
PWD-HI-UR |
114 |
15 |
144 |
1 |
| Sociology |
PWD-LM-UR |
154 |
12 |
182 |
1 |
| Sociology |
PWD-OD&AO-UR |
106 |
10 |
162 |
1 |
| Sociology |
PWD-VI-OB |
122 |
11 |
164 |
2 |
| Sociology |
PWD-HI-OB |
108 |
3 |
134 |
1 |
| Sociology |
PWD-LM-OB |
136 |
8 |
170 |
1 |
| Sociology |
PWD-OD&AO-OB |
---- |
---- |
146 |
1 |
| Sociology |
PWD-VI-SC |
108 |
4 |
166 |
1 |
| Sociology |
PWD-HI-SC |
110 |
2 |
---- |
---- |
| Sociology |
PWD-LM-SC |
130 |
5 |
160 |
1 |
| Sociology |
PWD-OD&AO-SC |
---- |
---- |
136 |
1 |
| Sociology |
PWD-VI-ST |
---- |
---- |
---- |
---- |
| Sociology |
PWD-HI-ST |
108 |
1 |
---- |
---- |
| Sociology |
PWD-LM-ST |
122 |
2 |
136 |
1 |
|
Subject |
Category |
Assistant Professor |
JRF G Assistant Professor |
||
|---|---|---|---|---|---|
| Cutoff Marks |
Total Cand |
Cutoff Marks |
Total Cand |
||
| Sociology |
PWD-OD&AO-ST |
---- |
---- |
---- |
---- |
| Sociology |
PWD-VI-EW |
120 |
4 |
150 |
1 |
| Sociology |
PWD-HI-EW |
106 |
3 |
134 |
1 |
| Sociology |
PWD-LM-EW |
138 |
5 |
160 |
1 |
| Sociology |
PWD-OD&AO-EW |
---- |
---- |
---- |
---- |
| Sociology |
Third Gender |
124 |
1 |
---- |
---- |
| History |
UNRESERVED |
182 |
2089 |
204 |
167 |
| History |
OBC(NCL) |
170 |
1301 |
194 |
148 |
| History |
EWS |
168 |
594 |
198 |
47 |
| History |
SC |
158 |
982 |
184 |
92 |
| History |
ST |
152 |
488 |
178 |
43 |
| History |
PWD-VI-UR |
152 |
38 |
180 |
4 |
| History |
PWD-HI-UR |
128 |
32 |
162 |
3 |
| History |
PWD-LM-UR |
160 |
35 |
180 |
5 |
| History |
PWD-OD&AO-UR |
110 |
33 |
150 |
3 |
| History |
PWD-VI-OB |
128 |
34 |
176 |
3 |
| History |
PWD-HI-OB |
106 |
11 |
146 |
3 |
| History |
PWD-LM-OB |
146 |
29 |
176 |
2 |
| History |
PWD-OD&AO-OB |
---- |
---- |
130 |
4 |
| History |
PWD-VI-SC |
118 |
16 |
152 |
1 |
| History |
PWD-HI-SC |
114 |
6 |
138 |
2 |
| History |
PWD-LM-SC |
140 |
22 |
168 |
2 |
| History |
PWD-OD&AO-SC |
---- |
---- |
118 |
4 |
| History |
PWD-VI-ST |
118 |
2 |
156 |
1 |
| History |
PWD-HI-ST |
106 |
1 |
144 |
1 |
| History |
PWD-LM-ST |
122 |
8 |
152 |
1 |
| History |
PWD-OD&AO-ST |
---- |
---- |
114 |
1 |
| History |
PWD-VI-EW |
114 |
5 |
160 |
2 |
| History |
PWD-HI-EW |
106 |
3 |
150 |
1 |
| History |
PWD-LM-EW |
144 |
8 |
164 |
1 |
| History |
PWD-OD&AO-EW |
---- |
---- |
142 |
1 |
| Anthropology |
UNRESERVED |
172 |
66 |
200 |
6 |
| Anthropology |
OBC(NCL) |
158 |
39 |
180 |
3 |
| Anthropology |
EWS |
158 |
10 |
182 |
1 |
| Anthropology |
SC |
150 |
19 |
170 |
2 |
| Anthropology |
ST |
140 |
37 |
156 |
4 |
| Anthropology |
PWD-VI-UR |
---- |
---- |
---- |
---- |
| Anthropology |
PWD-HI-UR |
---- |
---- |
---- |
---- |
| Anthropology |
PWD-LM-UR |
158 |
1 |
158 |
1 |
| Anthropology |
PWD-OD&AO-UR |
110 |
1 |
110 |
1 |
| Anthropology |
PWD-VI-OB |
---- |
---- |
---- |
---- |
|
Subject |
Category |
Assistant Professor |
JRF G Assistant Professor |
||
|---|---|---|---|---|---|
| Cutoff Marks |
Total Cand |
Cutoff Marks |
Total Cand |
||
| Anthropology |
PWD-HI-OB |
---- |
---- |
---- |
---- |
| Anthropology |
PWD-LM-OB |
---- |
---- |
---- |
---- |
| Anthropology |
PWD-OD&AO-OB |
---- |
---- |
---- |
---- |
| Anthropology |
PWD-VI-SC |
---- |
---- |
---- |
---- |
| Anthropology |
PWD-HI-SC |
---- |
---- |
---- |
---- |
| Anthropology |
PWD-LM-SC |
116 |
1 |
156 |
1 |
| Anthropology |
PWD-OD&AO-SC |
---- |
---- |
---- |
---- |
| Anthropology |
PWD-VI-ST |
---- |
---- |
---- |
---- |
| Anthropology |
PWD-HI-ST |
---- |
---- |
---- |
---- |
| Anthropology |
PWD-LM-ST |
---- |
---- |
---- |
---- |
| Anthropology |
PWD-OD&AO-ST |
---- |
---- |
---- |
---- |
| Anthropology |
PWD-VI-EW |
---- |
---- |
---- |
---- |
| Anthropology |
PWD-HI-EW |
---- |
---- |
---- |
---- |
| Anthropology |
PWD-LM-EW |
---- |
---- |
---- |
---- |
| Anthropology |
PWD-OD&AO-EW |
---- |
---- |
---- |
---- |
| Commerce |
UNRESERVED |
160 |
1053 |
184 |
84 |
| Commerce |
OBC(NCL) |
142 |
909 |
170 |
61 |
| Commerce |
EWS |
148 |
262 |
174 |
21 |
| Commerce |
SC |
136 |
268 |
162 |
23 |
| Commerce |
ST |
134 |
118 |
152 |
10 |
| Commerce |
PWD-VI-UR |
132 |
13 |
158 |
1 |
| Commerce |
PWD-HI-UR |
112 |
10 |
140 |
1 |
| Commerce |
PWD-LM-UR |
138 |
13 |
164 |
1 |
| Commerce |
PWD-OD&AO-UR |
110 |
12 |
142 |
1 |
| Commerce |
PWD-VI-OB |
118 |
8 |
140 |
1 |
| Commerce |
PWD-HI-OB |
---- |
---- |
122 |
1 |
| Commerce |
PWD-LM-OB |
126 |
12 |
162 |
1 |
| Commerce |
PWD-OD&AO-OB |
---- |
---- |
110 |
1 |
| Commerce |
PWD-VI-SC |
---- |
---- |
132 |
1 |
| Commerce |
PWD-HI-SC |
108 |
1 |
108 |
1 |
| Commerce |
PWD-LM-SC |
120 |
3 |
142 |
1 |
| Commerce |
PWD-OD&AO-SC |
---- |
---- |
124 |
1 |
| Commerce |
PWD-VI-ST |
114 |
1 |
114 |
1 |
| Commerce |
PWD-HI-ST |
---- |
---- |
---- |
---- |
| Commerce |
PWD-LM-ST |
112 |
1 |
112 |
1 |
| Commerce |
PWD-OD&AO-ST |
---- |
---- |
---- |
---- |
| Commerce |
PWD-VI-EW |
112 |
4 |
144 |
1 |
| Commerce |
PWD-HI-EW |
108 |
1 |
124 |
1 |
| Commerce |
PWD-LM-EW |
122 |
2 |
142 |
1 |
| Commerce |
PWD-OD&AO-EW |
---- |
---- |
134 |
1 |
| Education |
UNRESERVED |
184 |
1418 |
208 |
98 |
|
Subject |
Category |
Assistant Professor |
JRF G Assistant Professor |
||
|---|---|---|---|---|---|
| Cutoff Marks |
Total Cand |
Cutoff Marks |
Total Cand |
||
| Education |
OBC(NCL) |
168 |
848 |
198 |
66 |
| Education |
EWS |
168 |
357 |
198 |
32 |
| Education |
SC |
156 |
553 |
186 |
44 |
| Education |
ST |
156 |
237 |
182 |
18 |
| Education |
PWD-VI-UR |
146 |
18 |
184 |
1 |
| Education |
PWD-HI-UR |
124 |
40 |
170 |
2 |
| Education |
PWD-LM-UR |
156 |
26 |
180 |
1 |
| Education |
PWD-OD&AO-UR |
116 |
12 |
148 |
1 |
| Education |
PWD-VI-OB |
128 |
13 |
182 |
1 |
| Education |
PWD-HI-OB |
106 |
9 |
148 |
2 |
| Education |
PWD-LM-OB |
142 |
15 |
166 |
1 |
| Education |
PWD-OD&AO-OB |
---- |
---- |
128 |
1 |
| Education |
PWD-VI-SC |
112 |
6 |
152 |
1 |
| Education |
PWD-HI-SC |
112 |
2 |
---- |
---- |
| Education |
PWD-LM-SC |
138 |
10 |
168 |
2 |
| Education |
PWD-OD&AO-SC |
---- |
---- |
---- |
---- |
| Education |
PWD-VI-ST |
---- |
---- |
---- |
---- |
| Education |
PWD-HI-ST |
114 |
1 |
114 |
1 |
| Education |
PWD-LM-ST |
124 |
1 |
124 |
1 |
| Education |
PWD-OD&AO-ST |
---- |
---- |
120 |
1 |
| Education |
PWD-VI-EW |
128 |
7 |
174 |
1 |
| Education |
PWD-HI-EW |
106 |
4 |
168 |
1 |
| Education |
PWD-LM-EW |
136 |
6 |
176 |
1 |
| Education |
PWD-OD&AO-EW |
---- |
---- |
140 |
1 |
| Education |
Third Gender |
180 |
1 |
180 |
1 |
| Social Work |
UNRESERVED |
180 |
310 |
202 |
28 |
| Social Work |
OBC(NCL) |
166 |
190 |
194 |
20 |
| Social Work |
EWS |
164 |
57 |
188 |
7 |
| Social Work |
SC |
152 |
116 |
186 |
9 |
| Social Work |
ST |
150 |
84 |
178 |
8 |
| Social Work |
PWD-VI-UR |
136 |
4 |
176 |
1 |
| Social Work |
PWD-HI-UR |
124 |
1 |
---- |
---- |
| Social Work |
PWD-LM-UR |
140 |
3 |
174 |
1 |
| Social Work |
PWD-OD&AO-UR |
108 |
6 |
148 |
1 |
| Social Work |
PWD-VI-OB |
126 |
2 |
136 |
1 |
| Social Work |
PWD-HI-OB |
116 |
1 |
116 |
1 |
| Social Work |
PWD-LM-OB |
134 |
3 |
138 |
1 |
| Social Work |
PWD-OD&AO-OB |
---- |
---- |
---- |
---- |
| Social Work |
PWD-VI-SC |
128 |
1 |
128 |
1 |
| Social Work |
PWD-HI-SC |
---- |
---- |
---- |
---- |
| Social Work |
PWD-LM-SC |
130 |
3 |
164 |
1 |
|
Subject |
Category |
Assistant Professor |
JRF G Assistant Professor |
||
|---|---|---|---|---|---|
| Cutoff Marks |
Total Cand |
Cutoff Marks |
Total Cand |
||
| Social Work |
PWD-OD&AO-SC |
---- |
---- |
112 |
1 |
| Social Work |
PWD-VI-ST |
106 |
1 |
106 |
1 |
| Social Work |
PWD-HI-ST |
---- |
---- |
---- |
---- |
| Social Work |
PWD-LM-ST |
110 |
1 |
110 |
1 |
| Social Work |
PWD-OD&AO-ST |
---- |
---- |
---- |
---- |
| Social Work |
PWD-VI-EW |
130 |
1 |
130 |
1 |
| Social Work |
PWD-HI-EW |
---- |
---- |
---- |
---- |
| Social Work |
PWD-LM-EW |
136 |
1 |
---- |
---- |
| Social Work |
PWD-OD&AO-EW |
---- |
---- |
---- |
---- |
| Social Work |
Third Gender |
130 |
2 |
162 |
1 |
| Defence and Strategic Studies |
UNRESERVED |
200 |
58 |
222 |
5 |
| Defence and Strategic Studies |
OBC(NCL) |
180 |
26 |
218 |
2 |
| Defence and Strategic Studies |
EWS |
184 |
17 |
216 |
3 |
| Defence and Strategic Studies |
SC |
172 |
12 |
212 |
1 |
| Defence and Strategic Studies |
ST |
164 |
7 |
202 |
1 |
| Defence and Strategic Studies |
PWD-VI-UR |
138 |
1 |
138 |
1 |
| Defence and Strategic Studies |
PWD-HI-UR |
---- |
---- |
---- |
---- |
| Defence and Strategic Studies |
PWD-LM-UR |
110 |
1 |
110 |
1 |
| Defence and Strategic Studies |
PWD-OD&AO-UR |
---- |
---- |
---- |
---- |
| Defence and Strategic Studies |
PWD-VI-OB |
---- |
---- |
---- |
---- |
| Defence and Strategic Studies |
PWD-HI-OB |
---- |
---- |
---- |
---- |
| Defence and Strategic Studies |
PWD-LM-OB |
---- |
---- |
---- |
---- |
| Defence and Strategic Studies |
PWD-OD&AO-OB |
---- |
---- |
---- |
---- |
| Defence and Strategic Studies |
PWD-VI-SC |
---- |
---- |
---- |
---- |
| Defence and Strategic Studies |
PWD-HI-SC |
---- |
---- |
---- |
---- |
| Defence and Strategic Studies |
PWD-LM-SC |
---- |
---- |
---- |
---- |
| Defence and Strategic Studies |
PWD-OD&AO-SC |
---- |
---- |
---- |
---- |
| Defence and Strategic Studies |
PWD-VI-ST |
---- |
---- |
---- |
---- |
| Defence and Strategic Studies |
PWD-HI-ST |
---- |
---- |
---- |
---- |
| Defence and Strategic Studies |
PWD-LM-ST |
---- |
---- |
---- |
---- |
| Defence and Strategic Studies |
PWD-OD&AO-ST |
---- |
---- |
---- |
---- |
| Defence and Strategic Studies |
PWD-VI-EW |
106 |
1 |
106 |
1 |
| Defence and Strategic Studies |
PWD-HI-EW |
---- |
---- |
---- |
---- |
| Defence and Strategic Studies |
PWD-LM-EW |
---- |
---- |
---- |
---- |
| Defence and Strategic Studies |
PWD-OD&AO-EW |
---- |
---- |
---- |
---- |
| Home Science |
UNRESERVED |
178 |
668 |
204 |
48 |
| Home Science |
OBC(NCL) |
164 |
405 |
192 |
32 |
| Home Science |
EWS |
158 |
149 |
196 |
12 |
| Home Science |
SC |
154 |
186 |
180 |
17 |
| Home Science |
ST |
156 |
50 |
186 |
4 |
| Home Science |
PWD-VI-UR |
140 |
4 |
158 |
1 |
|
Subject |
Category |
Assistant Professor |
JRF G Assistant Professor |
||
|---|---|---|---|---|---|
| Cutoff Marks |
Total Cand |
Cutoff Marks |
Total Cand |
||
| Home Science |
PWD-HI-UR |
130 |
5 |
134 |
1 |
| Home Science |
PWD-LM-UR |
160 |
4 |
168 |
2 |
| Home Science |
PWD-OD&AO-UR |
110 |
5 |
124 |
1 |
| Home Science |
PWD-VI-OB |
128 |
4 |
144 |
1 |
| Home Science |
PWD-HI-OB |
124 |
1 |
130 |
2 |
| Home Science |
PWD-LM-OB |
146 |
4 |
160 |
1 |
| Home Science |
PWD-OD&AO-OB |
---- |
---- |
116 |
1 |
| Home Science |
PWD-VI-SC |
136 |
1 |
136 |
1 |
| Home Science |
PWD-HI-SC |
120 |
1 |
120 |
1 |
| Home Science |
PWD-LM-SC |
126 |
1 |
---- |
---- |
| Home Science |
PWD-OD&AO-SC |
---- |
---- |
---- |
---- |
| Home Science |
PWD-VI-ST |
---- |
---- |
---- |
---- |
| Home Science |
PWD-HI-ST |
---- |
---- |
---- |
---- |
| Home Science |
PWD-LM-ST |
114 |
1 |
114 |
1 |
| Home Science |
PWD-OD&AO-ST |
---- |
---- |
---- |
---- |
| Home Science |
PWD-VI-EW |
122 |
2 |
126 |
1 |
| Home Science |
PWD-HI-EW |
---- |
---- |
---- |
---- |
| Home Science |
PWD-LM-EW |
120 |
1 |
120 |
1 |
| Home Science |
PWD-OD&AO-EW |
---- |
---- |
---- |
---- |
| Home Science |
Third Gender |
132 |
1 |
192 |
1 |
| Public Administration |
UNRESERVED |
190 |
155 |
210 |
19 |
| Public Administration |
OBC(NCL) |
174 |
85 |
204 |
10 |
| Public Administration |
EWS |
176 |
31 |
204 |
3 |
| Public Administration |
SC |
160 |
54 |
196 |
4 |
| Public Administration |
ST |
156 |
32 |
194 |
3 |
| Public Administration |
PWD-VI-UR |
168 |
3 |
178 |
1 |
| Public Administration |
PWD-HI-UR |
130 |
2 |
180 |
1 |
| Public Administration |
PWD-LM-UR |
160 |
2 |
166 |
1 |
| Public Administration |
PWD-OD&AO-UR |
106 |
1 |
---- |
---- |
| Public Administration |
PWD-VI-OB |
164 |
1 |
170 |
1 |
| Public Administration |
PWD-HI-OB |
108 |
1 |
108 |
1 |
| Public Administration |
PWD-LM-OB |
146 |
1 |
160 |
1 |
| Public Administration |
PWD-OD&AO-OB |
---- |
---- |
---- |
---- |
| Public Administration |
PWD-VI-SC |
118 |
1 |
118 |
1 |
| Public Administration |
PWD-HI-SC |
---- |
---- |
---- |
---- |
| Public Administration |
PWD-LM-SC |
124 |
1 |
124 |
1 |
| Public Administration |
PWD-OD&AO-SC |
---- |
---- |
---- |
---- |
| Public Administration |
PWD-VI-ST |
110 |
3 |
148 |
1 |
| Public Administration |
PWD-HI-ST |
---- |
---- |
---- |
---- |
| Public Administration |
PWD-LM-ST |
114 |
1 |
114 |
1 |
| Public Administration |
PWD-OD&AO-ST |
---- |
---- |
---- |
---- |
|
Subject |
Category |
Assistant Professor |
JRF & Assistant Professor |
||
|---|---|---|---|---|---|
| Cutoff Marks |
Total Cand |
Cutoff Marks |
Total Cand |
||
| Public Administration |
PWD-VI-EW |
152 |
1 |
152 |
1 |
| Public Administration |
PWD-HI-EW |
---- |
---- |
---- |
---- |
| Public Administration |
PWD-LM-EW |
126 |
1 |
---- |
---- |
| Public Administration |
PWD-OD&AO-EW |
---- |
---- |
---- |
---- |
| Population Studies |
UNRESERVED |
190 |
81 |
208 |
9 |
| Population Studies |
OBC(NCL) |
172 |
53 |
202 |
4 |
| Population Studies |
EWS |
176 |
23 |
200 |
2 |
| Population Studies |
SC |
162 |
23 |
190 |
3 |
| Population Studies |
ST |
162 |
9 |
194 |
1 |
| Population Studies |
PWD-VI-UR |
152 |
1 |
152 |
1 |
| Population Studies |
PWD-HI-UR |
120 |
1 |
---- |
---- |
| Population Studies |
PWD-LM-UR |
166 |
1 |
166 |
1 |
| Population Studies |
PWD-OD&AO-UR |
112 |
1 |
112 |
1 |
| Population Studies |
PWD-VI-OB |
140 |
1 |
140 |
1 |
| Population Studies |
PWD-HI-OB |
---- |
---- |
---- |
---- |
| Population Studies |
PWD-LM-OB |
114 |
1 |
---- |
---- |
| Population Studies |
PWD-OD&AO-OB |
---- |
---- |
---- |
---- |
| Population Studies |
PWD-VI-SC |
---- |
---- |
---- |
---- |
| Population Studies |
PWD-HI-SC |
---- |
---- |
---- |
---- |
| Population Studies |
PWD-LM-SC |
152 |
1 |
152 |
1 |
| Population Studies |
PWD-OD&AO-SC |
---- |
---- |
---- |
---- |
| Population Studies |
PWD-VI-ST |
---- |
---- |
---- |
---- |
| Population Studies |
PWD-HI-ST |
---- |
---- |
---- |
---- |
| Population Studies |
PWD-LM-ST |
---- |
---- |
---- |
---- |
| Population Studies |
PWD-OD&AO-ST |
---- |
---- |
---- |
---- |
| Population Studies |
PWD-VI-EW |
116 |
1 |
---- |
---- |
UGC NET Subject Wise Cut Off Marks: June
The candidates can check the UGC NET June cut off marks for reference in the table below:
| Subject |
Category |
Jrf & Assistant Professor |
Assistant Professor |
||
|---|---|---|---|---|---|
| Cutoff |
Total |
Cutoff |
Total |
||
| Philosophy |
UNRESERVED |
218 |
18 |
198 |
144 |
| Philosophy |
EWS |
208 |
7 |
186 |
41 |
| Philosophy |
OBC(NCL) |
206 |
10 |
184 |
80 |
| Philosophy |
SC |
200 |
9 |
178 |
57 |
| Philosophy |
ST |
178 |
4 |
154 |
26 |
| Philosophy |
PWD-VI-UR |
188 |
1 |
188 |
1 |
| Philosophy |
PWD-HI-UR |
152 |
1 |
152 |
1 |
| Philosophy |
PWD-LM-UR |
178 |
1 |
178 |
1 |
| Philosophy |
PWD-OD&AO-UR |
---- |
---- |
---- |
---- |
| Philosophy |
PWD-VI-OB |
186 |
1 |
142 |
1 |
| Philosophy |
PWD-HI-OB |
---- |
---- |
---- |
---- |
| Philosophy |
PWD-LM-OB |
156 |
1 |
156 |
1 |
| Philosophy |
PWD-OD&AO-OB |
---- |
---- |
---- |
---- |
| Philosophy |
PWD-VI-SC |
114 |
1 |
114 |
1 |
| Philosophy |
PWD-HI-SC |
---- |
---- |
---- |
---- |
| Philosophy |
PWD-LM-SC |
---- |
---- |
130 |
1 |
| Philosophy |
PWD-OD&AO-SC |
---- |
---- |
---- |
---- |
| Philosophy |
PWD-VI-ST |
---- |
---- |
---- |
---- |
| Philosophy |
PWD-HI-ST |
---- |
---- |
---- |
---- |
| Philosophy |
PWD-LM-ST |
---- |
---- |
---- |
---- |
| Philosophy |
PWD-OD&AO-ST |
---- |
---- |
---- |
---- |
| Philosophy |
PWD-VI-EW |
128 |
1 |
128 |
1 |
| Philosophy |
PWD-HI-EW |
---- |
---- |
108 |
1 |
| Philosophy |
PWD-LM-EW |
136 |
1 |
136 |
1 |
| Philosophy |
PWD-OD&AO-EW |
---- |
---- |
---- |
---- |
| Psychology |
UNRESERVED |
216 |
54 |
194 |
501 |
| Psychology |
EWS |
206 |
7 |
176 |
73 |
| Psychology |
OBC(NCL) |
200 |
27 |
176 |
221 |
| Psychology |
SC |
190 |
14 |
162 |
99 |
| Psychology |
ST |
184 |
6 |
156 |
51 |
| Psychology |
PWD-VI-UR |
188 |
1 |
168 |
2 |
| Psychology |
PWD-HI-UR |
132 |
1 |
116 |
3 |
| Psychology |
PWD-LM-UR |
172 |
1 |
172 |
2 |
| Psychology |
PWD-OD&AO-UR |
162 |
1 |
106 |
4 |
| Psychology |
PWD-VI-OB |
166 |
1 |
166 |
1 |
| Psychology |
PWD-HI-OB |
---- |
---- |
108 |
1 |
| Psychology |
PWD-LM-OB |
144 |
1 |
144 |
1 |
| Psychology |
PWD-OD&AO-OB |
106 |
1 |
---- |
---- |
| Psychology |
PWD-VI-SC |
152 |
1 |
152 |
1 |
| Psychology |
PWD-HI-SC |
106 |
1 |
106 |
1 |
| Psychology |
PWD-LM-SC |
120 |
1 |
120 |
1 |
| Psychology |
PWD-OD&AO-SC |
---- |
---- |
---- |
---- |
| Subject
|
|
Jrf & Assistant Professor |
Assistant Professor |
||
|---|---|---|---|---|---|
| Category |
Cutoff |
Total |
Cutoff |
Total |
|
| Psychology |
PWD-HI-EW |
---- |
---- |
---- |
---- |
| Psychology |
PWD-LM-EW |
142 |
1 |
142 |
1 |
| Psychology |
PWD-OD&AO-EW |
---- |
---- |
---- |
---- |
| Sociology |
UNRESERVED |
216 |
93 |
196 |
688 |
| Sociology |
EWS |
210 |
23 |
180 |
165 |
| Sociology |
OBC(NCL) |
206 |
53 |
180 |
392 |
| Sociology |
SC |
194 |
28 |
168 |
256 |
| Sociology |
ST |
190 |
20 |
162 |
185 |
| Sociology |
PWD-VI-UR |
198 |
1 |
158 |
8 |
| Sociology |
PWD-HI-UR |
154 |
2 |
132 |
11 |
| Sociology |
PWD-LM-UR |
188 |
1 |
156 |
11 |
| Sociology |
PWD-OD&AO-UR |
178 |
1 |
106 |
9 |
| Sociology |
PWD-VI-OB |
166 |
1 |
128 |
5 |
| Sociology |
PWD-HI-OB |
144 |
1 |
108 |
7 |
| Sociology |
PWD-LM-OB |
186 |
1 |
142 |
9 |
| Sociology |
PWD-OD&AO-OB |
142 |
1 |
---- |
---- |
| Sociology |
PWD-VI-SC |
---- |
---- |
128 |
2 |
| Sociology |
PWD-HI-SC |
110 |
1 |
110 |
1 |
| Sociology |
PWD-LM-SC |
160 |
1 |
146 |
5 |
| Sociology |
PWD-OD&AO-SC |
---- |
---- |
---- |
---- |
| Sociology |
PWD-VI-ST |
---- |
---- |
130 |
1 |
| Sociology |
PWD-HI-ST |
---- |
---- |
110 |
1 |
| Sociology |
PWD-LM-ST |
---- |
---- |
116 |
3 |
| Sociology |
PWD-OD&AO-ST |
---- |
---- |
---- |
---- |
| Sociology |
PWD-VI-EW |
164 |
1 |
134 |
4 |
| Sociology |
PWD-HI-EW |
138 |
1 |
110 |
3 |
| Sociology |
PWD-LM-EW |
156 |
1 |
148 |
3 |
| Sociology |
PWD-OD&AO-EW |
---- |
---- |
---- |
---- |
| * History |
UNRESERVED |
99.7874663 |
91 |
98.5237521 |
640 |
| * History |
EWS |
99.5634442 |
19 |
95.8929289 |
191 |
| * History |
OBC(NCL) |
99.2762364 |
63 |
95.083003 |
572 |
| * History |
SC |
97.8427089 |
36 |
89.7596942 |
346 |
| * History |
ST |
97.2887587 |
18 |
86.834396 |
153 |
| * History |
PWD-VI-UR |
98.5237521 |
2 |
86.834396 |
20 |
| * History |
PWD-HI-UR |
83.4079738 |
2 |
70.2512288 |
8 |
| * History |
PWD-LM-UR |
98.5417804 |
1 |
91.7801137 |
12 |
| * History |
PWD-OD&AO-UR |
85.0409612 |
2 |
55.7345713 |
13 |
| * History |
PWD-VI-OB |
94.1288913 |
1 |
67.5040961 |
14 |
| * History |
PWD-HI-OB |
80.067781 |
2 |
46.5428727 |
7 |
| * History |
PWD-LM-OB |
97.8427089 |
1 |
86.7012561 |
8 |
| * History |
PWD-OD&AO-OB |
77.6667241 |
1 |
---- |
---- |
|
|
|
Jrf & Assistant Professor |
Assistant Professor |
||||
| Subcd |
|
Subject |
Category |
Cutoff |
Total |
Cutoff |
Total |
| 006 |
* History |
|
PWD-VI-SC |
96.7315756 |
1 |
55.7345713 |
6 |
| 006 |
* History |
|
PWD-HI-SC |
70.2512288 |
1 |
52.7252867 |
1 |
| 006 |
* History |
|
PWD-LM-SC |
93.0151071 |
1 |
72.1006376 |
6 |
| 006 |
* History |
|
PWD-OD&AO-SC |
65.2076512 |
1 |
---- |
---- |
| 006 |
* History |
|
PWD-VI-ST |
80.067781 |
1 |
67.5040961 |
3 |
| 006 |
* History |
|
PWD-HI-ST |
49.8197706 |
1 |
49.8197706 |
1 |
| 006 |
* History |
|
PWD-LM-ST |
65.2076512 |
1 |
64.576734 |
3 |
| 006 |
* History |
|
PWD-OD&AO-ST |
43.2823594 |
1 |
43.2823594 |
1 |
| 006 |
* History |
|
PWD-VI-EW |
85.0409612 |
1 |
77.6667241 |
5 |
| 006 |
* History |
|
PWD-HI-EW |
---- |
---- |
52.7252867 |
1 |
| 006 |
* History |
|
PWD-LM-EW |
95.5816494 |
1 |
75.2048061 |
3 |
| 006 |
* History |
|
PWD-OD&AO-EW |
61.5892955 |
1 |
---- |
---- |
| 007 |
Anthropology |
|
UNRESERVED |
214 |
6 |
190 |
60 |
| 007 |
Anthropology |
|
EWS |
206 |
1 |
180 |
9 |
| 007 |
Anthropology |
|
OBC(NCL) |
206 |
4 |
172 |
23 |
| 007 |
Anthropology |
|
SC |
188 |
2 |
166 |
15 |
| 007 |
Anthropology |
|
ST |
170 |
3 |
156 |
23 |
| 007 |
Anthropology |
|
PWD-VI-UR |
148 |
1 |
148 |
1 |
| 007 |
Anthropology |
|
PWD-HI-UR |
---- |
---- |
---- |
---- |
| 007 |
Anthropology |
|
PWD-LM-UR |
134 |
1 |
134 |
1 |
| 007 |
Anthropology |
|
PWD-OD&AO-UR |
---- |
---- |
---- |
---- |
| 007 |
Anthropology |
|
PWD-VI-OB |
128 |
1 |
128 |
1 |
| 007 |
Anthropology |
|
PWD-HI-OB |
---- |
---- |
---- |
---- |
| 007 |
Anthropology |
|
PWD-LM-OB |
120 |
1 |
120 |
1 |
| 007 |
Anthropology |
|
PWD-OD&AO-OB |
---- |
---- |
---- |
---- |
| 007 |
Anthropology |
|
PWD-VI-SC |
---- |
---- |
---- |
---- |
| 007 |
Anthropology |
|
PWD-HI-SC |
---- |
---- |
---- |
---- |
| 007 |
Anthropology |
|
PWD-LM-SC |
---- |
---- |
---- |
---- |
| 007 |
Anthropology |
|
PWD-OD&AO-SC |
---- |
---- |
---- |
---- |
| 007 |
Anthropology |
|
PWD-VI-ST |
---- |
---- |
---- |
---- |
| 007 |
Anthropology |
|
PWD-HI-ST |
---- |
---- |
---- |
---- |
| 007 |
Anthropology |
|
PWD-LM-ST |
---- |
---- |
---- |
---- |
| 007 |
Anthropology |
|
PWD-OD&AO-ST |
---- |
---- |
---- |
---- |
| 007 |
Anthropology |
|
PWD-VI-EW |
---- |
---- |
---- |
---- |
| 007 |
Anthropology |
|
PWD-HI-EW |
---- |
---- |
---- |
---- |
| 007 |
Anthropology |
|
PWD-LM-EW |
---- |
---- |
---- |
---- |
| 007 |
Anthropology |
|
PWD-OD&AO-EW |
---- |
---- |
---- |
---- |
| 008 |
* Commerce |
|
UNRESERVED |
99.7868561 |
100 |
98.122304 |
892 |
| 008 |
* Commerce |
|
EWS |
99.3741307 |
30 |
94.3618371 |
248 |
| 008 |
* Commerce |
|
OBC(NCL) |
98.7921847 |
73 |
92.2755964 |
689 |
| 008 |
* Commerce |
|
SC |
97.6249683 |
25 |
86.8256788 |
233 |
| 008 |
* Commerce |
|
ST |
96.69627 |
15 |
83.0105916 |
112 |
| 008 |
* Commerce |
|
PWD-VI-UR |
91.0238579 |
1 |
84.9470418 |
8 |
| 008 |
* Commerce |
|
PWD-HI-UR |
88.4344075 |
1 |
61.2281147 |
11 |
| 008 |
* Commerce |
|
PWD-LM-UR |
96.0415106 |
1 |
91.0238579 |
8 |
| 008 |
* Commerce |
|
PWD-OD&AO-UR |
82.9028165 |
1 |
54.4887084 |
5 |
| Subject |
Category |
Jrf & Assistant Professor |
Assistant Professor |
||
| Cutoff |
Total |
Cutoff |
Total |
||
| * Commerce |
PWD-VI-OB |
90.0228368 |
1 |
64.9031775 |
6 |
| * Commerce |
PWD-HI-OB |
78.3941372 |
1 |
41.3983096 |
4 |
| * Commerce |
PWD-LM-OB |
91.2408018 |
1 |
80.7157377 |
6 |
| * Commerce |
PWD-OD&AO-OB |
---- |
---- |
---- |
---- |
| * Commerce |
PWD-VI-SC |
84.9470418 |
1 |
51.8883064 |
2 |
| * Commerce |
PWD-HI-SC |
---- |
---- |
34.3425698 |
3 |
| * Commerce |
PWD-LM-SC |
---- |
---- |
70.7383913 |
1 |
| * Commerce |
PWD-OD&AO-SC |
---- |
---- |
---- |
---- |
| * Commerce |
PWD-VI-ST |
80.9185486 |
1 |
80.9185486 |
1 |
| * Commerce |
PWD-HI-ST |
---- |
---- |
---- |
---- |
| * Commerce |
PWD-LM-ST |
34.3425698 |
1 |
34.3425698 |
1 |
| * Commerce |
PWD-OD&AO-ST |
---- |
---- |
---- |
---- |
| * Commerce |
PWD-VI-EW |
88.263614 |
1 |
48.5610356 |
2 |
| * Commerce |
PWD-HI-EW |
88.263614 |
1 |
45.0037445 |
5 |
| * Commerce |
PWD-LM-EW |
91.2408018 |
1 |
73.4567241 |
2 |
| * Commerce |
PWD-OD&AO-EW |
61.5919546 |
1 |
---- |
---- |
| Education |
UNRESERVED |
190 |
105 |
172 |
908 |
| Education |
EWS |
182 |
27 |
156 |
307 |
| Education |
OBC(NCL) |
180 |
64 |
158 |
573 |
| Education |
SC |
170 |
37 |
148 |
361 |
| Education |
ST |
168 |
17 |
148 |
152 |
| Education |
PWD-VI-UR |
168 |
1 |
144 |
16 |
| Education |
PWD-HI-UR |
152 |
2 |
124 |
25 |
| Education |
PWD-LM-UR |
162 |
3 |
144 |
22 |
| Education |
PWD-OD&AO-UR |
186 |
1 |
106 |
13 |
| Education |
PWD-VI-OB |
158 |
1 |
132 |
9 |
| Education |
PWD-HI-OB |
140 |
2 |
106 |
17 |
| Education |
PWD-LM-OB |
160 |
1 |
136 |
12 |
| Education |
PWD-OD&AO-OB |
130 |
1 |
---- |
---- |
| Education |
PWD-VI-SC |
142 |
1 |
114 |
4 |
| Education |
PWD-HI-SC |
144 |
1 |
106 |
4 |
| Education |
PWD-LM-SC |
150 |
1 |
138 |
5 |
| Education |
PWD-OD&AO-SC |
---- |
---- |
---- |
---- |
| Education |
PWD-VI-ST |
146 |
1 |
124 |
1 |
| Education |
PWD-HI-ST |
---- |
---- |
---- |
---- |
| Education |
PWD-LM-ST |
---- |
---- |
110 |
1 |
| Education |
PWD-OD&AO-ST |
---- |
---- |
---- |
---- |
| Education |
PWD-VI-EW |
146 |
1 |
132 |
4 |
| Education |
PWD-HI-EW |
136 |
1 |
112 |
5 |
| Education |
PWD-LM-EW |
144 |
1 |
134 |
6 |
| Education |
PWD-OD&AO-EW |
138 |
1 |
---- |
---- |
| Social Work |
UNRESERVED |
198 |
27 |
180 |
225 |
| Social Work |
EWS |
194 |
4 |
166 |
35 |
| Social Work |
OBC(NCL) |
190 |
18 |
168 |
124 |
| Social Work |
SC |
174 |
9 |
154 |
81 |
| Social Work |
ST |
170 |
7 |
152 |
67 |
| Subject |
Category |
Jrf & Assistant Professor |
Assistant Professor |
||
|---|---|---|---|---|---|
| Cutoff |
Total |
Cutoff |
Total |
||
| Defence and Strategic Studies |
UNRESERVED |
224 |
4 |
202 |
44 |
| Defence and Strategic Studies |
EWS |
220 |
2 |
190 |
20 |
| Defence and Strategic Studies |
OBC(NCL) |
212 |
2 |
192 |
24 |
| Defence and Strategic Studies |
SC |
200 |
1 |
184 |
11 |
| Defence and Strategic Studies |
ST |
188 |
1 |
184 |
3 |
| Defence and Strategic Studies |
PWD-VI-UR |
152 |
1 |
152 |
1 |
| Defence and Strategic Studies |
PWD-HI-UR |
---- |
---- |
144 |
1 |
| Defence and Strategic Studies |
PWD-LM-UR |
220 |
1 |
---- |
---- |
| Defence and Strategic Studies |
PWD-OD&AO-UR |
---- |
---- |
---- |
---- |
| Defence and Strategic Studies |
PWD-VI-OB |
---- |
---- |
---- |
---- |
| Defence and Strategic Studies |
PWD-HI-OB |
---- |
---- |
---- |
---- |
| Defence and Strategic Studies |
PWD-LM-OB |
---- |
---- |
---- |
---- |
| Defence and Strategic Studies |
PWD-OD&AO-OB |
---- |
---- |
---- |
---- |
| Defence and Strategic Studies |
PWD-VI-SC |
---- |
---- |
---- |
---- |
| Defence and Strategic Studies |
PWD-HI-SC |
---- |
---- |
---- |
---- |
| Defence and Strategic Studies |
PWD-LM-SC |
---- |
---- |
---- |
---- |
| Defence and Strategic Studies |
PWD-OD&AO-SC |
---- |
---- |
---- |
---- |
| Defence and Strategic Studies |
PWD-VI-ST |
---- |
---- |
---- |
---- |
| Defence and Strategic Studies |
PWD-HI-ST |
---- |
---- |
---- |
---- |
| Defence and Strategic Studies |
PWD-LM-ST |
---- |
---- |
---- |
---- |
| Defence and Strategic Studies |
PWD-OD&AO-ST |
---- |
---- |
---- |
---- |
| Defence and Strategic Studies |
PWD-VI-EW |
---- |
---- |
---- |
---- |
| Defence and Strategic Studies |
PWD-HI-EW |
---- |
---- |
---- |
---- |
| Defence and Strategic Studies |
PWD-LM-EW |
---- |
---- |
---- |
---- |
| Defence and Strategic Studies |
PWD-OD&AO-EW |
---- |
---- |
---- |
---- |
| Home Science |
UNRESERVED |
204 |
47 |
184 |
371 |
| Subject |
Category |
Jrf & Assistant Professor |
Assistant Professor |
||
|---|---|---|---|---|---|
| Cutoff |
Total |
Cutoff |
Total |
||
| Home Science |
EWS |
194 |
11 |
168 |
92 |
| Home Science |
OBC(NCL) |
190 |
34 |
168 |
252 |
| Home Science |
SC |
184 |
11 |
160 |
98 |
| Home Science |
ST |
182 |
3 |
156 |
30 |
| Home Science |
PWD-VI-UR |
150 |
1 |
140 |
2 |
| Home Science |
PWD-HI-UR |
142 |
1 |
122 |
4 |
| Home Science |
PWD-LM-UR |
176 |
2 |
160 |
3 |
| Home Science |
PWD-OD&AO-UR |
200 |
1 |
106 |
2 |
| Home Science |
PWD-VI-OB |
140 |
1 |
130 |
2 |
| Home Science |
PWD-HI-OB |
122 |
2 |
118 |
1 |
| Home Science |
PWD-LM-OB |
160 |
1 |
148 |
3 |
| Home Science |
PWD-OD&AO-OB |
106 |
1 |
---- |
---- |
| Home Science |
PWD-VI-SC |
---- |
---- |
---- |
---- |
| Home Science |
PWD-HI-SC |
---- |
---- |
---- |
---- |
| Home Science |
PWD-LM-SC |
144 |
1 |
144 |
1 |
| Home Science |
PWD-OD&AO-SC |
---- |
---- |
---- |
---- |
| Home Science |
PWD-VI-ST |
---- |
---- |
---- |
---- |
| Home Science |
PWD-HI-ST |
---- |
---- |
---- |
---- |
| Home Science |
PWD-LM-ST |
---- |
---- |
---- |
---- |
| Home Science |
PWD-OD&AO-ST |
---- |
---- |
---- |
---- |
| Home Science |
PWD-VI-EW |
114 |
1 |
114 |
1 |
| Home Science |
PWD-HI-EW |
118 |
1 |
118 |
1 |
| Home Science |
PWD-LM-EW |
154 |
1 |
154 |
1 |
| Home Science |
PWD-OD&AO-EW |
---- |
---- |
---- |
---- |
| Public Administration |
UNRESERVED |
202 |
8 |
182 |
78 |
| Public Administration |
EWS |
198 |
2 |
168 |
24 |
| Public Administration |
OBC(NCL) |
192 |
5 |
164 |
44 |
| Public Administration |
SC |
186 |
3 |
154 |
28 |
| Public Administration |
ST |
172 |
3 |
148 |
23 |
| Public Administration |
PWD-VI-UR |
152 |
1 |
152 |
1 |
| Public Administration |
PWD-HI-UR |
110 |
1 |
110 |
1 |
| Public Administration |
PWD-LM-UR |
176 |
1 |
166 |
2 |
| Public Administration |
PWD-OD&AO-UR |
142 |
1 |
138 |
2 |
| Public Administration |
PWD-VI-OB |
108 |
1 |
108 |
1 |
| Public Administration |
PWD-HI-OB |
---- |
---- |
---- |
---- |
| Public Administration |
PWD-LM-OB |
---- |
---- |
118 |
1 |
| Public Administration |
PWD-OD&AO-OB |
---- |
---- |
---- |
---- |
| Public Administration |
PWD-VI-SC |
116 |
1 |
116 |
1 |
| Public Administration |
PWD-HI-SC |
---- |
---- |
---- |
---- |
| Public Administration |
PWD-LM-SC |
---- |
---- |
128 |
1 |
| Public Administration |
PWD-OD&AO-SC |
---- |
---- |
---- |
---- |
| Public Administration |
PWD-VI-ST |
122 |
1 |
122 |
1 |
| Public Administration |
PWD-HI-ST |
---- |
---- |
---- |
---- |
| Public Administration |
PWD-LM-ST |
---- |
---- |
132 |
1 |
| Public Administration |
PWD-OD&AO-ST |
---- |
---- |
---- |
---- |
| Public Administration |
PWD-VI-EW |
---- |
---- |
---- |
---- |
|
Subject |
Category |
Jrf & Assistant Professor |
Assistant Professor |
||
|---|---|---|---|---|---|
| Cutoff |
Total |
Cutoff |
Total |
||
| Public Administration |
PWD-HI-EW |
---- |
---- |
---- |
---- |
| Public Administration |
PWD-LM-EW |
166 |
1 |
---- |
---- |
| Public Administration |
PWD-OD&AO-EW |
---- |
---- |
---- |
---- |
| Population Studies |
UNRESERVED |
212 |
8 |
194 |
64 |
| Population Studies |
EWS |
202 |
3 |
184 |
15 |
| Population Studies |
OBC(NCL) |
208 |
6 |
178 |
44 |
| Population Studies |
SC |
198 |
2 |
166 |
14 |
| Population Studies |
ST |
186 |
1 |
166 |
6 |
| Population Studies |
PWD-VI-UR |
160 |
1 |
160 |
1 |
| Population Studies |
PWD-HI-UR |
158 |
1 |
158 |
1 |
| Population Studies |
PWD-LM-UR |
156 |
1 |
156 |
1 |
| Population Studies |
PWD-OD&AO-UR |
---- |
---- |
---- |
---- |
| Population Studies |
PWD-VI-OB |
142 |
1 |
142 |
1 |
| Population Studies |
PWD-HI-OB |
142 |
1 |
142 |
1 |
| Population Studies |
PWD-LM-OB |
152 |
1 |
152 |
1 |
| Population Studies |
PWD-OD&AO-OB |
---- |
---- |
---- |
---- |
| Population Studies |
PWD-VI-SC |
---- |
---- |
---- |
---- |
| Population Studies |
PWD-HI-SC |
---- |
---- |
134 |
1 |
| Population Studies |
PWD-LM-SC |
---- |
---- |
124 |
1 |
| Population Studies |
PWD-OD&AO-SC |
---- |
---- |
---- |
---- |
| Population Studies |
PWD-VI-ST |
---- |
---- |
---- |
---- |
| Population Studies |
PWD-HI-ST |
---- |
---- |
---- |
---- |
| Population Studies |
PWD-LM-ST |
---- |
---- |
---- |
---- |
| Population Studies |
PWD-OD&AO-ST |
---- |
---- |
---- |
---- |
| Population Studies |
PWD-VI-EW |
---- |
---- |
128 |
1 |
| Population Studies |
PWD-HI-EW |
---- |
---- |
---- |
---- |
| Population Studies |
PWD-LM-EW |
144 |
1 |
144 |
1 |
| Population Studies |
PWD-OD&AO-EW |
---- |
---- |
---- |
---- |
| Music |
UNRESERVED |
228 |
13 |
200 |
132 |
| Music |
EWS |
216 |
5 |
186 |
40 |
| Music |
OBC(NCL) |
210 |
7 |
184 |
52 |
| Music |
SC |
202 |
7 |
176 |
51 |
| Music |
ST |
194 |
1 |
166 |
6 |
| Music |
PWD-VI-UR |
206 |
2 |
168 |
6 |
| Music |
PWD-HI-UR |
---- |
---- |
---- |
---- |
| Music |
PWD-LM-UR |
172 |
1 |
172 |
1 |
| Music |
PWD-OD&AO-UR |
136 |
1 |
106 |
3 |
| Music |
PWD-VI-OB |
182 |
1 |
128 |
2 |
| Music |
PWD-HI-OB |
---- |
---- |
---- |
---- |
| Music |
PWD-LM-OB |
170 |
1 |
170 |
1 |
| Music |
PWD-OD&AO-OB |
---- |
---- |
---- |
---- |
| Music |
PWD-VI-SC |
146 |
1 |
138 |
3 |
| Music |
PWD-HI-SC |
---- |
---- |
---- |
---- |
| Music |
PWD-LM-SC |
---- |
---- |
---- |
---- |
| Music |
PWD-OD&AO-SC |
---- |
---- |
---- |
---- |
| Music |
PWD-VI-ST |
134 |
1 |
134 |
1 |
| Subject |
Category |
Jrf & Assistant Professor |
Assistant Professor |
||
|---|---|---|---|---|---|
| Cutoff |
Total |
Cutoff |
Total |
||
| Music |
PWD-HI-ST |
---- |
---- |
---- |
---- |
| Music |
PWD-LM-ST |
---- |
---- |
---- |
---- |
| Music |
PWD-OD&AO-ST |
---- |
---- |
---- |
---- |
| Music |
PWD-VI-EW |
156 |
1 |
156 |
1 |
| Music |
PWD-HI-EW |
---- |
---- |
---- |
---- |
| Music |
PWD-LM-EW |
168 |
1 |
168 |
1 |
| Music |
PWD-OD&AO-EW |
---- |
---- |
---- |
---- |
| Management (including Business Admn. |
UNRESERVED |
184 |
27 |
164 |
307 |
| Management (including Business Admn. |
EWS |
170 |
5 |
150 |
61 |
| Management (including Business Admn. |
OBC(NCL) |
168 |
19 |
148 |
196 |
| Management (including Business Admn. |
SC |
160 |
16 |
142 |
109 |
| Management (including Business Admn. |
ST |
162 |
4 |
140 |
37 |
| Management (including Business Admn. |
PWD-VI-UR |
148 |
1 |
146 |
3 |
| Management (including Business Admn. |
PWD-HI-UR |
110 |
1 |
110 |
1 |
| Management (including Business Admn. |
PWD-LM-UR |
154 |
2 |
142 |
4 |
| Management (including Business Admn. |
PWD-OD&AO-UR |
120 |
1 |
114 |
2 |
| Management (including Business Admn. |
PWD-VI-OB |
140 |
1 |
140 |
1 |
| Management (including Business Admn. |
PWD-HI-OB |
108 |
1 |
108 |
1 |
| Management (including Business Admn. |
PWD-LM-OB |
148 |
1 |
134 |
3 |
| Management (including Business Admn. |
PWD-OD&AO-OB |
114 |
1 |
---- |
---- |
| Management (including Business Admn. |
PWD-VI-SC |
110 |
1 |
110 |
1 |
| Management (including Business Admn. |
PWD-HI-SC |
---- |
---- |
---- |
---- |
| Management (including Business Admn. |
PWD-LM-SC |
---- |
---- |
120 |
1 |
| Management (including Business Admn. |
PWD-OD&AO-SC |
---- |
---- |
---- |
---- |
| Management (including Business Admn. |
PWD-VI-ST |
118 |
1 |
118 |
1 |
| Management (including Business Admn. |
PWD-HI-ST |
---- |
---- |
---- |
---- |
| Management (including Business Admn. |
PWD-LM-ST |
---- |
---- |
---- |
---- |
| Management (including Business Admn. |
PWD-OD&AO-ST |
---- |
---- |
---- |
---- |
| Management (including Business Admn. |
PWD-VI-EW |
146 |
1 |
130 |
2 |
| Management (including Business Admn. |
PWD-HI-EW |
---- |
---- |
---- |
---- |
| Management (including Business Admn. |
PWD-LM-EW |
140 |
1 |
140 |
1 |
| Management (including Business Admn. |
PWD-OD&AO-EW |
---- |
---- |
---- |
---- |
| Maithili |
UNRESERVED |
238 |
1 |
214 |
8 |
| Maithili |
EWS |
234 |
1 |
196 |
5 |
| Maithili |
OBC(NCL) |
218 |
1 |
204 |
6 |
| Maithili |
SC |
214 |
1 |
198 |
2 |
| Maithili |
ST |
---- |
---- |
136 |
1 |
| Maithili |
PWD-VI-UR |
---- |
---- |
---- |
---- |
| Maithili |
PWD-HI-UR |
---- |
---- |
120 |
1 |
| Maithili |
PWD-LM-UR |
---- |
---- |
---- |
---- |
| Maithili |
PWD-OD&AO-UR |
---- |
---- |
---- |
---- |
| Maithili |
PWD-VI-OB |
---- |
---- |
---- |
---- |
| Maithili |
PWD-HI-OB |
---- |
---- |
---- |
---- |
| Maithili |
PWD-LM-OB |
---- |
---- |
---- |
---- |
| Maithili |
PWD-OD&AO-OB |
---- |
---- |
---- |
---- |
| Maithili |
PWD-VI-SC |
---- |
---- |
---- |
---- |
|
|
|
Jrf & Assistant Professor |
Assistant Professor |
|||
|---|---|---|---|---|---|---|
| Subject |
Category |
Cutoff |
Total |
Cutoff |
Total |
|
| Maithili |
|
PWD-HI-SC |
---- |
---- |
---- |
---- |
| Maithili |
|
PWD-LM-SC |
---- |
---- |
---- |
---- |
| Maithili |
|
PWD-OD&AO-SC |
---- |
---- |
---- |
---- |
| Maithili |
|
PWD-VI-ST |
---- |
---- |
---- |
---- |
| Maithili |
|
PWD-HI-ST |
---- |
---- |
---- |
---- |
| Maithili |
|
PWD-LM-ST |
---- |
---- |
---- |
---- |
| Maithili |
|
PWD-OD&AO-ST |
---- |
---- |
---- |
---- |
| Maithili |
|
PWD-VI-EW |
---- |
---- |
---- |
---- |
| Maithili |
|
PWD-HI-EW |
---- |
---- |
---- |
---- |
| Maithili |
|
PWD-LM-EW |
---- |
---- |
---- |
---- |
| Maithili |
|
PWD-OD&AO-EW |
---- |
---- |
---- |
---- |
| Bengali |
|
UNRESERVED |
184 |
15 |
166 |
114 |
| Bengali |
|
EWS |
178 |
2 |
156 |
18 |
| Bengali |
|
OBC(NCL) |
176 |
8 |
152 |
61 |
| Bengali |
|
SC |
166 |
13 |
144 |
96 |
| Bengali |
|
ST |
154 |
2 |
132 |
15 |
| Bengali |
|
PWD-VI-UR |
166 |
1 |
154 |
3 |
| Bengali |
|
PWD-HI-UR |
132 |
1 |
124 |
5 |
| Bengali |
|
PWD-LM-UR |
136 |
2 |
136 |
3 |
| Bengali |
|
PWD-OD&AO-UR |
148 |
1 |
118 |
2 |
| Bengali |
|
PWD-VI-OB |
130 |
2 |
130 |
2 |
| Bengali |
|
PWD-HI-OB |
126 |
1 |
108 |
2 |
| Bengali |
|
PWD-LM-OB |
126 |
1 |
126 |
1 |
| Bengali |
|
PWD-OD&AO-OB |
118 |
1 |
---- |
---- |
| Bengali |
|
PWD-VI-SC |
124 |
1 |
124 |
1 |
| Bengali |
|
PWD-HI-SC |
128 |
1 |
---- |
---- |
| Bengali |
|
PWD-LM-SC |
118 |
1 |
118 |
1 |
| Bengali |
|
PWD-OD&AO-SC |
---- |
---- |
---- |
---- |
| Bengali |
|
PWD-VI-ST |
114 |
1 |
114 |
1 |
| Bengali |
|
PWD-HI-ST |
---- |
---- |
---- |
---- |
| Bengali |
|
PWD-LM-ST |
---- |
---- |
---- |
---- |
| Bengali |
|
PWD-OD&AO-ST |
---- |
---- |
---- |
---- |
| Bengali |
|
PWD-VI-EW |
124 |
1 |
116 |
2 |
| Bengali |
|
PWD-HI-EW |
---- |
---- |
---- |
---- |
| Bengali |
|
PWD-LM-EW |
124 |
1 |
124 |
1 |
| Bengali |
|
PWD-OD&AO-EW |
---- |
---- |
---- |
---- |
| * Hindi |
|
UNRESERVED |
99.596729 |
152 |
97.3171278 |
1072 |
| * Hindi |
|
EWS |
99.227064 |
50 |
92.860993 |
385 |
| * Hindi |
|
OBC(NCL) |
98.8201473 |
110 |
92.522684 |
901 |
| * Hindi |
|
SC |
96.5622567 |
57 |
84.9837571 |
502 |
| * Hindi |
|
ST |
93.6764871 |
22 |
80.1221776 |
176 |
| * Hindi |
|
PWD-VI-UR |
97.3171278 |
2 |
80.699003 |
19 |
| * Hindi |
|
PWD-HI-UR |
92.522684 |
3 |
49.7334851 |
18 |
| * Hindi |
|
PWD-LM-UR |
98.4989358 |
2 |
84.9837571 |
19 |
| * Hindi |
|
PWD-OD&AO-UR |
63.391957 |
1 |
39.65383 |
12 |
| * Hindi |
|
PWD-VI-OB |
91.3016691 |
3 |
65.1853626 |
14 |
|
Subject |
Category |
Jrf & Assistant Professor |
Assistant Professor |
||
|---|---|---|---|---|---|
| Cutoff |
Total |
Cutoff |
Total |
||
| * Hindi |
PWD-HI-OB |
73.1987782 |
3 |
26.9090256 |
13 |
| * Hindi |
PWD-LM-OB |
90.7588189 |
4 |
75.7381566 |
14 |
| * Hindi |
PWD-OD&AO-OB |
50.4704828 |
1 |
---- |
---- |
| * Hindi |
PWD-VI-SC |
94.5199736 |
1 |
43.0676169 |
9 |
| * Hindi |
PWD-HI-SC |
33.7347373 |
1 |
29.813739 |
3 |
| * Hindi |
PWD-LM-SC |
89.9630335 |
1 |
63.391957 |
12 |
| * Hindi |
PWD-OD&AO-SC |
60.3842276 |
1 |
---- |
---- |
| * Hindi |
PWD-VI-ST |
---- |
---- |
---- |
---- |
| * Hindi |
PWD-HI-ST |
---- |
---- |
---- |
---- |
| * Hindi |
PWD-LM-ST |
78.2009634 |
1 |
68.0960652 |
4 |
| * Hindi |
PWD-OD&AO-ST |
39.65383 |
1 |
29.813739 |
1 |
| * Hindi |
PWD-VI-EW |
93.6695215 |
1 |
60.3842276 |
4 |
| * Hindi |
PWD-HI-EW |
29.813739 |
2 |
27.7136776 |
3 |
| * Hindi |
PWD-LM-EW |
95.4856055 |
1 |
66.528509 |
5 |
| * Hindi |
PWD-OD&AO-EW |
---- |
---- |
---- |
---- |
| Kannada |
UNRESERVED |
182 |
13 |
162 |
93 |
| Kannada |
EWS |
178 |
1 |
152 |
7 |
| Kannada |
OBC(NCL) |
170 |
9 |
148 |
68 |
| Kannada |
SC |
168 |
10 |
144 |
73 |
| Kannada |
ST |
166 |
4 |
148 |
31 |
| Kannada |
PWD-VI-UR |
148 |
1 |
132 |
3 |
| Kannada |
PWD-HI-UR |
156 |
1 |
108 |
2 |
| Kannada |
PWD-LM-UR |
150 |
1 |
136 |
3 |
| Kannada |
PWD-OD&AO-UR |
150 |
1 |
106 |
4 |
| Kannada |
PWD-VI-OB |
146 |
1 |
126 |
2 |
| Kannada |
PWD-HI-OB |
---- |
---- |
106 |
1 |
| Kannada |
PWD-LM-OB |
144 |
1 |
128 |
2 |
| Kannada |
PWD-OD&AO-OB |
112 |
1 |
---- |
---- |
| Kannada |
PWD-VI-SC |
118 |
1 |
108 |
3 |
| Kannada |
PWD-HI-SC |
---- |
---- |
---- |
---- |
| Kannada |
PWD-LM-SC |
134 |
1 |
128 |
2 |
| Kannada |
PWD-OD&AO-SC |
106 |
1 |
---- |
---- |
| Kannada |
PWD-VI-ST |
---- |
---- |
---- |
---- |
| Kannada |
PWD-HI-ST |
120 |
1 |
---- |
---- |
| Kannada |
PWD-LM-ST |
148 |
1 |
112 |
2 |
| Kannada |
PWD-OD&AO-ST |
---- |
---- |
---- |
---- |
| Kannada |
PWD-VI-EW |
144 |
1 |
---- |
---- |
| Kannada |
PWD-HI-EW |
---- |
---- |
---- |
---- |
| Kannada |
PWD-LM-EW |
---- |
---- |
---- |
---- |
| Kannada |
PWD-OD&AO-EW |
---- |
---- |
---- |
---- |
| Malayalam |
UNRESERVED |
190 |
13 |
172 |
107 |
| Malayalam |
EWS |
184 |
3 |
154 |
15 |
| Malayalam |
OBC(NCL) |
180 |
13 |
160 |
94 |
| Malayalam |
SC |
172 |
4 |
148 |
28 |
| Malayalam |
ST |
174 |
1 |
140 |
2 |
| Malayalam |
PWD-VI-UR |
146 |
1 |
150 |
1 |
| Subject |
Category |
Jrf & Assistant Professor |
Assistant Professor |
||
|---|---|---|---|---|---|
| Cutoff |
Total |
Cutoff |
Total |
||
| Malayalam |
PWD-HI-UR |
---- |
---- |
---- |
---- |
| Malayalam |
PWD-LM-UR |
168 |
1 |
132 |
1 |
| Malayalam |
PWD-OD&AO-UR |
124 |
1 |
106 |
2 |
| Malayalam |
PWD-VI-OB |
140 |
1 |
140 |
2 |
| Malayalam |
PWD-HI-OB |
---- |
---- |
---- |
---- |
| Malayalam |
PWD-LM-OB |
118 |
1 |
118 |
1 |
| Malayalam |
PWD-OD&AO-OB |
106 |
1 |
---- |
---- |
| Malayalam |
PWD-VI-SC |
108 |
1 |
108 |
1 |
| Malayalam |
PWD-HI-SC |
---- |
---- |
---- |
---- |
| Malayalam |
PWD-LM-SC |
132 |
1 |
---- |
---- |
| Malayalam |
PWD-OD&AO-SC |
---- |
---- |
---- |
---- |
| Malayalam |
PWD-VI-ST |
---- |
---- |
---- |
---- |
| Malayalam |
PWD-HI-ST |
---- |
---- |
---- |
---- |
| Malayalam |
PWD-LM-ST |
---- |
---- |
---- |
---- |
| Malayalam |
PWD-OD&AO-ST |
---- |
---- |
---- |
---- |
| Malayalam |
PWD-VI-EW |
---- |
---- |
---- |
---- |
| Malayalam |
PWD-HI-EW |
---- |
---- |
---- |
---- |
| Malayalam |
PWD-LM-EW |
---- |
---- |
---- |
---- |
| Malayalam |
PWD-OD&AO-EW |
---- |
---- |
---- |
---- |
| Oriya |
UNRESERVED |
188 |
17 |
170 |
139 |
| Oriya |
EWS |
180 |
5 |
158 |
34 |
| Oriya |
OBC(NCL) |
178 |
15 |
158 |
98 |
| Oriya |
SC |
170 |
12 |
152 |
59 |
| Oriya |
ST |
164 |
5 |
142 |
38 |
| Oriya |
PWD-VI-UR |
176 |
1 |
142 |
3 |
| Oriya |
PWD-HI-UR |
148 |
1 |
130 |
2 |
| Oriya |
PWD-LM-UR |
154 |
1 |
148 |
3 |
| Oriya |
PWD-OD&AO-UR |
128 |
1 |
106 |
8 |
| Oriya |
PWD-VI-OB |
160 |
1 |
114 |
2 |
| Oriya |
PWD-HI-OB |
130 |
1 |
126 |
1 |
| Oriya |
PWD-LM-OB |
152 |
1 |
144 |
1 |
| Oriya |
PWD-OD&AO-OB |
124 |
1 |
---- |
---- |
| Oriya |
PWD-VI-SC |
---- |
---- |
130 |
3 |
| Oriya |
PWD-HI-SC |
---- |
---- |
106 |
1 |
| Oriya |
PWD-LM-SC |
---- |
---- |
138 |
1 |
| Oriya |
PWD-OD&AO-SC |
106 |
1 |
---- |
---- |
| Oriya |
PWD-VI-ST |
---- |
---- |
---- |
---- |
| Oriya |
PWD-HI-ST |
---- |
---- |
---- |
---- |
| Oriya |
PWD-LM-ST |
108 |
1 |
108 |
1 |
| Oriya |
PWD-OD&AO-ST |
---- |
---- |
---- |
---- |
| Oriya |
PWD-VI-EW |
122 |
1 |
122 |
1 |
| Oriya |
PWD-HI-EW |
---- |
---- |
---- |
---- |
| Oriya |
PWD-LM-EW |
112 |
1 |
112 |
1 |
| Oriya |
PWD-OD&AO-EW |
---- |
---- |
---- |
---- |
| Punjabi |
UNRESERVED |
176 |
7 |
158 |
50 |
| Punjabi |
EWS |
172 |
2 |
150 |
16 |
| Subject |
Category |
Jrf & Assistant Professor |
Assistant Professor |
||
|---|---|---|---|---|---|
| Cutoff |
Total |
Cutoff |
Total |
||
| Punjabi |
OBC(NCL) |
166 |
3 |
142 |
36 |
| Punjabi |
SC |
158 |
8 |
136 |
81 |
| Punjabi |
ST |
130 |
1 |
130 |
1 |
| Punjabi |
PWD-VI-UR |
---- |
---- |
---- |
---- |
| Punjabi |
PWD-HI-UR |
---- |
---- |
112 |
1 |
| Punjabi |
PWD-LM-UR |
128 |
1 |
128 |
2 |
| Punjabi |
PWD-OD&AO-UR |
---- |
---- |
---- |
---- |
| Punjabi |
PWD-VI-OB |
---- |
---- |
---- |
---- |
| Punjabi |
PWD-HI-OB |
---- |
---- |
---- |
---- |
| Punjabi |
PWD-LM-OB |
120 |
1 |
120 |
1 |
| Punjabi |
PWD-OD&AO-OB |
---- |
---- |
---- |
---- |
| Punjabi |
PWD-VI-SC |
---- |
---- |
---- |
---- |
| Punjabi |
PWD-HI-SC |
---- |
---- |
---- |
---- |
| Punjabi |
PWD-LM-SC |
126 |
1 |
126 |
1 |
| Punjabi |
PWD-OD&AO-SC |
---- |
---- |
---- |
---- |
| Punjabi |
PWD-VI-ST |
---- |
---- |
---- |
---- |
| Punjabi |
PWD-HI-ST |
---- |
---- |
---- |
---- |
| Punjabi |
PWD-LM-ST |
---- |
---- |
---- |
---- |
| Punjabi |
PWD-OD&AO-ST |
---- |
---- |
---- |
---- |
| Punjabi |
PWD-VI-EW |
---- |
---- |
---- |
---- |
| Punjabi |
PWD-HI-EW |
---- |
---- |
---- |
---- |
| Punjabi |
PWD-LM-EW |
---- |
---- |
---- |
---- |
| Punjabi |
PWD-OD&AO-EW |
---- |
---- |
---- |
---- |
| Sanskrit |
UNRESERVED |
212 |
44 |
190 |
353 |
| Sanskrit |
EWS |
204 |
24 |
174 |
171 |
| Sanskrit |
OBC(NCL) |
200 |
24 |
172 |
190 |
| Sanskrit |
SC |
188 |
21 |
164 |
149 |
| Sanskrit |
ST |
182 |
7 |
146 |
48 |
| Sanskrit |
PWD-VI-UR |
188 |
1 |
144 |
4 |
| Sanskrit |
PWD-HI-UR |
170 |
1 |
120 |
12 |
| Sanskrit |
PWD-LM-UR |
190 |
1 |
148 |
6 |
| Sanskrit |
PWD-OD&AO-UR |
138 |
1 |
106 |
6 |
| Sanskrit |
PWD-VI-OB |
170 |
1 |
118 |
2 |
| Sanskrit |
PWD-HI-OB |
146 |
1 |
106 |
5 |
| Sanskrit |
PWD-LM-OB |
160 |
1 |
140 |
4 |
| Sanskrit |
PWD-OD&AO-OB |
112 |
1 |
---- |
---- |
| Sanskrit |
PWD-VI-SC |
140 |
1 |
120 |
4 |
| Sanskrit |
PWD-HI-SC |
154 |
1 |
108 |
1 |
| Sanskrit |
PWD-LM-SC |
158 |
1 |
134 |
2 |
| Sanskrit |
PWD-OD&AO-SC |
---- |
---- |
---- |
---- |
| Sanskrit |
PWD-VI-ST |
---- |
---- |
---- |
---- |
| Sanskrit |
PWD-HI-ST |
---- |
---- |
---- |
---- |
| Sanskrit |
PWD-LM-ST |
---- |
---- |
---- |
---- |
| Sanskrit |
PWD-OD&AO-ST |
---- |
---- |
---- |
---- |
| Sanskrit |
PWD-VI-EW |
114 |
1 |
114 |
1 |
| Sanskrit |
PWD-HI-EW |
122 |
2 |
112 |
3 |
|
Subject |
Category |
Jrf & Assistant Professor |
Assistant Professor |
||
|---|---|---|---|---|---|
| Cutoff |
Total |
Cutoff |
Total |
||
| Sanskrit |
PWD-LM-EW |
---- |
---- |
142 |
1 |
| Sanskrit |
PWD-OD&AO-EW |
---- |
---- |
---- |
---- |
| Tamil |
UNRESERVED |
164 |
9 |
146 |
84 |
| Tamil |
EWS |
138 |
1 |
138 |
2 |
| Tamil |
OBC(NCL) |
154 |
11 |
136 |
149 |
| Tamil |
SC |
146 |
6 |
132 |
69 |
| Tamil |
ST |
130 |
1 |
130 |
1 |
| Tamil |
PWD-VI-UR |
144 |
1 |
126 |
4 |
| Tamil |
PWD-HI-UR |
134 |
1 |
134 |
1 |
| Tamil |
PWD-LM-UR |
126 |
1 |
126 |
1 |
| Tamil |
PWD-OD&AO-UR |
142 |
1 |
106 |
2 |
| Tamil |
PWD-VI-OB |
140 |
1 |
114 |
7 |
| Tamil |
PWD-HI-OB |
---- |
---- |
---- |
---- |
| Tamil |
PWD-LM-OB |
---- |
---- |
118 |
1 |
| Tamil |
PWD-OD&AO-OB |
---- |
---- |
---- |
---- |
| Tamil |
PWD-VI-SC |
126 |
1 |
114 |
1 |
| Tamil |
PWD-HI-SC |
---- |
---- |
118 |
1 |
| Tamil |
PWD-LM-SC |
---- |
---- |
110 |
1 |
| Tamil |
PWD-OD&AO-SC |
106 |
1 |
---- |
---- |
| Tamil |
PWD-VI-ST |
---- |
---- |
---- |
---- |
| Tamil |
PWD-HI-ST |
---- |
---- |
---- |
---- |
| Tamil |
PWD-LM-ST |
---- |
---- |
---- |
---- |
| Tamil |
PWD-OD&AO-ST |
---- |
---- |
---- |
---- |
| Tamil |
PWD-VI-EW |
---- |
---- |
---- |
---- |
| Tamil |
PWD-HI-EW |
---- |
---- |
---- |
---- |
| Tamil |
PWD-LM-EW |
---- |
---- |
---- |
---- |
| Tamil |
PWD-OD&AO-EW |
---- |
---- |
---- |
---- |
| Telugu |
UNRESERVED |
172 |
11 |
158 |
66 |
| Telugu |
EWS |
164 |
1 |
146 |
9 |
| Telugu |
OBC(NCL) |
166 |
8 |
146 |
71 |
| Telugu |
SC |
162 |
5 |
140 |
46 |
| Telugu |
ST |
152 |
3 |
136 |
18 |
| Telugu |
PWD-VI-UR |
162 |
1 |
142 |
1 |
| Telugu |
PWD-HI-UR |
---- |
---- |
---- |
---- |
| Telugu |
PWD-LM-UR |
144 |
1 |
138 |
3 |
| Telugu |
PWD-OD&AO-UR |
---- |
---- |
---- |
---- |
| Telugu |
PWD-VI-OB |
148 |
1 |
134 |
2 |
| Telugu |
PWD-HI-OB |
---- |
---- |
---- |
---- |
| Telugu |
PWD-LM-OB |
138 |
2 |
132 |
2 |
| Telugu |
PWD-OD&AO-OB |
---- |
---- |
---- |
---- |
| Telugu |
PWD-VI-SC |
---- |
---- |
---- |
---- |
| Telugu |
PWD-HI-SC |
---- |
---- |
---- |
---- |
| Telugu |
PWD-LM-SC |
140 |
1 |
124 |
2 |
| Telugu |
PWD-OD&AO-SC |
---- |
---- |
---- |
---- |
| Telugu |
PWD-VI-ST |
---- |
---- |
---- |
---- |
| Telugu |
PWD-HI-ST |
---- |
---- |
---- |
---- |
| Subject |
Category |
Jrf & Assistant Professor |
Assistant Professor |
||
|---|---|---|---|---|---|
| Cutoff |
Total |
Cutoff |
Total |
||
| Telugu |
PWD-LM-ST |
---- |
---- |
124 |
1 |
| Telugu |
PWD-OD&AO-ST |
---- |
---- |
---- |
---- |
| Telugu |
PWD-VI-EW |
---- |
---- |
---- |
---- |
| Telugu |
PWD-HI-EW |
---- |
---- |
---- |
---- |
| Telugu |
PWD-LM-EW |
---- |
---- |
130 |
1 |
| Telugu |
PWD-OD&AO-EW |
---- |
---- |
---- |
---- |
| Urdu |
UNRESERVED |
236 |
19 |
216 |
164 |
| Urdu |
EWS |
230 |
9 |
200 |
61 |
| Urdu |
OBC(NCL) |
224 |
19 |
200 |
115 |
| Urdu |
SC |
230 |
1 |
182 |
7 |
| Urdu |
ST |
224 |
2 |
190 |
16 |
| Urdu |
PWD-VI-UR |
208 |
1 |
192 |
2 |
| Urdu |
PWD-HI-UR |
---- |
---- |
120 |
1 |
| Urdu |
PWD-LM-UR |
202 |
1 |
200 |
3 |
| Urdu |
PWD-OD&AO-UR |
184 |
1 |
120 |
3 |
| Urdu |
PWD-VI-OB |
148 |
1 |
148 |
1 |
| Urdu |
PWD-HI-OB |
---- |
---- |
---- |
---- |
| Urdu |
PWD-LM-OB |
198 |
1 |
194 |
2 |
| Urdu |
PWD-OD&AO-OB |
---- |
---- |
---- |
---- |
| Urdu |
PWD-VI-SC |
---- |
---- |
---- |
---- |
| Urdu |
PWD-HI-SC |
---- |
---- |
---- |
---- |
| Urdu |
PWD-LM-SC |
---- |
---- |
---- |
---- |
| Urdu |
PWD-OD&AO-SC |
---- |
---- |
---- |
---- |
| Urdu |
PWD-VI-ST |
---- |
---- |
---- |
---- |
| Urdu |
PWD-HI-ST |
---- |
---- |
---- |
---- |
| Urdu |
PWD-LM-ST |
---- |
---- |
---- |
---- |
| Urdu |
PWD-OD&AO-ST |
---- |
---- |
---- |
---- |
| Urdu |
PWD-VI-EW |
130 |
1 |
130 |
1 |
| Urdu |
PWD-HI-EW |
---- |
---- |
---- |
---- |
| Urdu |
PWD-LM-EW |
154 |
1 |
154 |
1 |
| Urdu |
PWD-OD&AO-EW |
---- |
---- |
---- |
---- |
| Arabic |
UNRESERVED |
236 |
8 |
210 |
64 |
| Arabic |
EWS |
234 |
1 |
200 |
6 |
| Arabic |
OBC(NCL) |
224 |
11 |
196 |
75 |
| Arabic |
SC |
132 |
1 |
132 |
1 |
| Arabic |
ST |
192 |
2 |
172 |
3 |
| Arabic |
PWD-VI-UR |
150 |
1 |
150 |
1 |
| Arabic |
PWD-HI-UR |
---- |
---- |
---- |
---- |
| Arabic |
PWD-LM-UR |
202 |
1 |
202 |
1 |
| Arabic |
PWD-OD&AO-UR |
184 |
1 |
184 |
1 |
| Arabic |
PWD-VI-OB |
112 |
1 |
112 |
1 |
| Arabic |
PWD-HI-OB |
---- |
---- |
---- |
---- |
| Arabic |
PWD-LM-OB |
---- |
---- |
138 |
1 |
| Arabic |
PWD-OD&AO-OB |
---- |
---- |
---- |
---- |
| Arabic |
PWD-VI-SC |
---- |
---- |
---- |
---- |
| Arabic |
PWD-HI-SC |
---- |
---- |
---- |
---- |
| Subject |
Category |
Jrf & Assistant Professor |
Assistant Professor |
||
|---|---|---|---|---|---|
| Cutoff |
Total |
Cutoff |
Total |
||
| Linguistics |
PWD-LM-OB |
---- |
---- |
110 |
1 |
| Linguistics |
PWD-OD&AO-OB |
---- |
---- |
---- |
---- |
| Linguistics |
PWD-VI-SC |
---- |
---- |
---- |
---- |
| Linguistics |
PWD-HI-SC |
---- |
---- |
---- |
---- |
| Linguistics |
PWD-LM-SC |
---- |
---- |
---- |
---- |
| Linguistics |
PWD-OD&AO-SC |
---- |
---- |
---- |
---- |
| Linguistics |
PWD-VI-ST |
---- |
---- |
---- |
---- |
| Linguistics |
PWD-HI-ST |
---- |
---- |
---- |
---- |
| Linguistics |
PWD-LM-ST |
---- |
---- |
---- |
---- |
| Linguistics |
PWD-OD&AO-ST |
---- |
---- |
---- |
---- |
| Linguistics |
PWD-VI-EW |
---- |
---- |
---- |
---- |
| Linguistics |
PWD-HI-EW |
---- |
---- |
---- |
---- |
| Linguistics |
PWD-LM-EW |
---- |
---- |
---- |
---- |
| Linguistics |
PWD-OD&AO-EW |
---- |
---- |
---- |
---- |
Previous Years’ UGC NET Cutoff
Check UGC NET cutoffs of previous years below in the tables below.
UGC NET December 2022 Cut Off
The candidates can check the UGC NET cut-off for the UGC NET 2022 December cycle below in the table:
|
Subject |
Category |
Assistant Professor |
Jrf & Assistant Professor |
|---|---|---|---|
| Cutoff Percentile |
Cutoff Percentile |
||
| Economics / Rural Economics /Co-operation |
UNRESERVED |
97.2733082 |
99.7500164 |
| Economics / Rural Economics /Co-operation |
EWS |
92.7501243 |
99.2960989 |
| Economics / Rural Economics /Co-operation |
OBC(NCL) |
91.3015693 |
98.8948096 |
| Economics / Rural Economics /Co-operation |
SC |
84.3073209 |
96.6910072 |
| Economics / Rural Economics /Co-operation |
ST |
79.8622453 |
94.9740149 |
| Economics / Rural Economics /Co-operation |
PWD-VI-UR |
73.6990987 |
90.0269719 |
| Economics / Rural Economics /Co-operation |
PWD-HI-UR |
55.6608118 |
72.3141376 |
| Economics / Rural Economics /Co-operation |
PWD-LM-UR |
81.4741177 |
95.6384448 |
| Economics / Rural Economics /Co-operation |
PWD-OD&AO-UR |
25.5377936 |
76.3260669 |
| Economics / Rural Economics /Co-operation |
PWD-VI-OB |
53.6604417 |
78.1509622 |
| Economics / Rural Economics /Co-operation |
PWD-HI-OB |
34.3464246 |
49.7335702 |
| Economics / Rural Economics /Co-operation |
PWD-LM-OB |
71.6334452 |
94.9740149 |
| Economics / Rural Economics /Co-operation |
PWD-OD&AO-OB |
--- |
53.6604417 |
| Economics / Rural Economics /Co-operation |
PWD-VI-SC |
37.3462272 |
71.6334452 |
| Economics / Rural Economics /Co-operation |
PWD-HI-SC |
22.80771 |
47.4685791 |
| Economics / Rural Economics /Co-operation |
PWD-LM-SC |
65.0713626 |
70.0773983 |
| Economics / Rural Economics /Co-operation |
PWD-OD&AO-SC |
--- |
75.8042234 |
| Economics / Rural Economics /Co-operation |
PWD-VI-ST |
31.4189856 |
55.6608118 |
| Economics / Rural Economics /Co-operation |
PWD-HI-ST |
--- |
--- |
| Economics / Rural Economics /Co-operation |
PWD-LM-ST |
62.3801747 |
66.9626998 |
| Economics / Rural Economics /Co-operation |
PWD-OD&AO-ST |
--- |
--- |
| Economics / Rural Economics /Co-operation |
PWD-VI-EW |
67.6560392 |
71.6334452 |
| Economics / Rural Economics /Co-operation |
PWD-HI-EW |
22.80771 |
66.9626998 |
| Economics / Rural Economics /Co-operation |
PWD-LM-EW |
64.3378725 |
93.4175957 |
| Economics / Rural Economics /Co-operation |
PWD-OD&AO-EW |
--- |
--- |
| Political Science |
UNRESERVED |
96.9560738 |
99.5995423 |
| Political Science |
EWS |
92.0436452 |
99.1657132 |
| Political Science |
OBC(NCL) |
92.0436452 |
98.9041866 |
| Political Science |
SC |
82.5793762 |
95.6307952 |
| Political Science |
ST |
78.6613272 |
94.1742944 |
| Political Science |
PWD-VI-UR |
80.4109458 |
98.9041866 |
| Political Science |
PWD-HI-UR |
59.6047579 |
82.2654462 |
| Political Science |
PWD-LM-UR |
82.2654462 |
98.7121851 |
| Political Science |
PWD-OD&AO-UR |
22.6544622 |
85.2641114 |
| Political Science |
PWD-VI-OB |
59.6047579 |
97.3822235 |
| Political Science |
PWD-HI-OB |
26.8115942 |
79.6150604 |
| Political Science |
PWD-LM-OB |
76.3838157 |
95.0266929 |
| Political Science |
PWD-OD&AO-OB |
--- |
80.4109458 |
| Political Science |
PWD-VI-SC |
44.0807343 |
86.6800153 |
| Political Science |
PWD-HI-SC |
30.5516531 |
38.6672286 |
| Political Science |
PWD-LM-SC |
67.0242182 |
86.7565796 |
| Political Science |
PWD-OD&AO-SC |
--- |
--- |
| Political Science |
PWD-VI-ST |
35.583524 |
93.2684973 |
| Political Science |
PWD-HI-ST |
28.7805111 |
54.6220849 |
| Political Science |
PWD-LM-ST |
41.3177859 |
79.6150604 |
|
Subject |
Category |
Assistant Professor |
Jrf & Assistant Professor |
|---|---|---|---|
| Cutoff Percentile |
Cutoff Percentile |
||
| Political Science |
PWD-OD&AO-ST |
--- |
64.9218154 |
| Political Science |
PWD-VI-EW |
51.2109077 |
96.0663108 |
| Political Science |
PWD-HI-EW |
24.7044241 |
71.0030908 |
| Political Science |
PWD-LM-EW |
71.0030908 |
95.0266929 |
| Political Science |
PWD-OD&AO-EW |
--- |
--- |
| History |
UNRESERVED |
97.7871542 |
99.7233943 |
| History |
EWS |
94.2217407 |
99.4479699 |
| History |
OBC(NCL) |
93.3188877 |
99.2827004 |
| History |
SC |
87.4308486 |
97.7093329 |
| History |
ST |
84.1162682 |
96.6760431 |
| History |
PWD-VI-UR |
82.0628223 |
97.4410566 |
| History |
PWD-HI-UR |
71.8051901 |
97.2667604 |
| History |
PWD-LM-UR |
86.9008925 |
98.9123301 |
| History |
PWD-OD&AO-UR |
35.2648851 |
79.2704948 |
| History |
PWD-VI-OB |
68.869628 |
92.962963 |
| History |
PWD-HI-OB |
32.2503516 |
83.3668679 |
| History |
PWD-LM-OB |
79.8968589 |
97.4410566 |
| History |
PWD-OD&AO-OB |
--- |
75.0961088 |
| History |
PWD-VI-SC |
44.9507736 |
85.1003457 |
| History |
PWD-HI-SC |
41.5236756 |
84.1162682 |
| History |
PWD-LM-SC |
74.410566 |
91.8893577 |
| History |
PWD-OD&AO-SC |
--- |
--- |
| History |
PWD-VI-ST |
44.9507736 |
82.0628223 |
| History |
PWD-HI-ST |
48.3216128 |
48.3216128 |
| History |
PWD-LM-ST |
58.1950305 |
81.3909096 |
| History |
PWD-OD&AO-ST |
--- |
75.0961088 |
| History |
PWD-VI-EW |
65.9856575 |
95.8884201 |
| History |
PWD-HI-EW |
48.2278285 |
93.3188877 |
| History |
PWD-LM-EW |
77.6136896 |
97.4410566 |
| History |
PWD-OD&AO-EW |
--- |
--- |
| Commerce |
UNRESERVED |
97.433551 |
99.7296286 |
| Commerce |
EWS |
93.6067551 |
99.2868431 |
| Commerce |
OBC(NCL) |
91.5798857 |
98.9642694 |
| Commerce |
SC |
84.8051246 |
96.9843185 |
| Commerce |
ST |
79.6015141 |
96.3329146 |
| Commerce |
PWD-VI-UR |
81.5523481 |
99.1348114 |
| Commerce |
PWD-HI-UR |
65.9955909 |
98.0990807 |
| Commerce |
PWD-LM-UR |
86.4148746 |
97.433551 |
| Commerce |
PWD-OD&AO-UR |
25.1362256 |
92.7457261 |
| Commerce |
PWD-VI-OB |
63.4499397 |
87.9247951 |
| Commerce |
PWD-HI-OB |
33.6425273 |
87.9492686 |
| Commerce |
PWD-LM-OB |
75.6416122 |
96.4435756 |
| Commerce |
PWD-OD&AO-OB |
--- |
87.9247951 |
| Commerce |
PWD-VI-SC |
39.9442619 |
54.8271703 |
| Commerce |
PWD-HI-SC |
--- |
79.3954374 |
|
Subject |
Category |
Assistant Professor |
Jrf & Assistant Professor |
|---|---|---|---|
| Cutoff Percentile |
Cutoff Percentile |
||
| Commerce |
PWD-LM-SC |
77.6881161 |
83.2452893 |
| Commerce |
PWD-OD&AO-SC |
--- |
--- |
| Commerce |
PWD-VI-ST |
48.6162324 |
48.6162324 |
| Commerce |
PWD-HI-ST |
33.6425273 |
65.9955909 |
| Commerce |
PWD-LM-ST |
55.0062806 |
86.4986426 |
| Commerce |
PWD-OD&AO-ST |
--- |
--- |
| Commerce |
PWD-VI-EW |
54.8271703 |
92.7457261 |
| Commerce |
PWD-HI-EW |
48.9455513 |
61.4530573 |
| Commerce |
PWD-LM-EW |
58.1992787 |
90.6617861 |
| Commerce |
PWD-OD&AO-EW |
--- |
--- |
| Education |
UNRESERVED |
96.8775319 |
99.6759115 |
| Education |
EWS |
90.9566843 |
99.0575042 |
| Education |
OBC(NCL) |
90.9566843 |
99.0401994 |
| Education |
SC |
83.4714864 |
96.8026724 |
| Education |
ST |
82.0031019 |
95.2457647 |
| Education |
PWD-VI-UR |
79.3331256 |
97.2858506 |
| Education |
PWD-HI-UR |
49.6778812 |
88.1651157 |
| Education |
PWD-LM-UR |
80.0763541 |
97.30134 |
| Education |
PWD-OD&AO-UR |
22.4230494 |
86.8647101 |
| Education |
PWD-VI-OB |
59.4390776 |
94.5657361 |
| Education |
PWD-HI-OB |
20.3677158 |
71.1047483 |
| Education |
PWD-LM-OB |
73.5683608 |
93.0320972 |
| Education |
PWD-OD&AO-OB |
--- |
74.259894 |
| Education |
PWD-VI-SC |
39.8504207 |
81.5456529 |
| Education |
PWD-HI-SC |
22.4230494 |
80.0763541 |
| Education |
PWD-LM-SC |
62.6176379 |
91.8396564 |
| Education |
PWD-OD&AO-SC |
--- |
--- |
| Education |
PWD-VI-ST |
--- |
--- |
| Education |
PWD-HI-ST |
--- |
62.5685994 |
| Education |
PWD-LM-ST |
56.2854472 |
56.3648294 |
| Education |
PWD-OD&AO-ST |
--- |
--- |
| Education |
PWD-VI-EW |
49.9033967 |
89.6852602 |
| Education |
PWD-HI-EW |
25.8024307 |
71.1047483 |
| Education |
PWD-LM-EW |
62.5685994 |
96.2854472 |
| Education |
PWD-OD&AO-EW |
--- |
31.1810533 |
| Bengali |
UNRESERVED |
98.3408072 |
99.8488665 |
| Bengali |
EWS |
95.7399103 |
99.6473552 |
| Bengali |
OBC(NCL) |
95.0672646 |
99.103139 |
| Bengali |
SC |
90.4282116 |
98.9686099 |
| Bengali |
ST |
85.3400504 |
98.161435 |
| Bengali |
PWD-VI-UR |
93.5874439 |
98.161435 |
| Bengali |
PWD-HI-UR |
64.0358744 |
92.5560538 |
| Bengali |
PWD-LM-UR |
85.2914798 |
85.2914798 |
| Bengali |
PWD-OD&AO-UR |
64.0358744 |
69.9748111 |
| Bengali |
PWD-VI-OB |
78.6547085 |
78.6547085 |
|
Subject |
Category |
Assistant Professor |
Jrf & Assistant Professor |
|---|---|---|---|
| Cutoff Percentile |
Cutoff Percentile |
||
| Bengali |
PWD-HI-OB |
--- |
64.0358744 |
| Bengali |
PWD-LM-OB |
83.67713 |
83.67713 |
| Bengali |
PWD-OD&AO-OB |
--- |
--- |
| Bengali |
PWD-VI-SC |
60.3526448 |
74.0050378 |
| Bengali |
PWD-HI-SC |
--- |
--- |
| Bengali |
PWD-LM-SC |
76.5470852 |
76.5470852 |
| Bengali |
PWD-OD&AO-SC |
--- |
64.0358744 |
| Bengali |
PWD-VI-ST |
--- |
--- |
| Bengali |
PWD-HI-ST |
--- |
--- |
| Bengali |
PWD-LM-ST |
--- |
--- |
| Bengali |
PWD-OD&AO-ST |
--- |
--- |
| Bengali |
PWD-VI-EW |
--- |
--- |
| Bengali |
PWD-HI-EW |
--- |
--- |
| Bengali |
PWD-LM-EW |
84.0302267 |
84.0302267 |
| Bengali |
PWD-OD&AO-EW |
--- |
--- |
| Hindi |
UNRESERVED |
97.1827618 |
99.6422182 |
| Hindi |
EWS |
92.7057923 |
99.3303678 |
| Hindi |
OBC(NCL) |
92.4285645 |
98.9653338 |
| Hindi |
SC |
84.3059517 |
96.3931731 |
| Hindi |
ST |
80.0802592 |
95.8033167 |
| Hindi |
PWD-VI-UR |
84.3059517 |
99.3424552 |
| Hindi |
PWD-HI-UR |
58.8792728 |
90.2141856 |
| Hindi |
PWD-LM-UR |
85.9256394 |
97.9289233 |
| Hindi |
PWD-OD&AO-UR |
22.6756273 |
95.8033167 |
| Hindi |
PWD-VI-OB |
64.8406904 |
98.1724121 |
| Hindi |
PWD-HI-OB |
20.1614853 |
80.5089205 |
| Hindi |
PWD-LM-OB |
77.9335686 |
93.6193619 |
| Hindi |
PWD-OD&AO-OB |
--- |
68.0441957 |
| Hindi |
PWD-VI-SC |
30.7547261 |
88.951069 |
| Hindi |
PWD-HI-SC |
22.6756273 |
22.6756273 |
| Hindi |
PWD-LM-SC |
65.3465347 |
90.4099106 |
| Hindi |
PWD-OD&AO-SC |
--- |
22.6756273 |
| Hindi |
PWD-VI-ST |
73.669106 |
73.669106 |
| Hindi |
PWD-HI-ST |
--- |
--- |
| Hindi |
PWD-LM-ST |
39.7911328 |
88.9522797 |
| Hindi |
PWD-OD&AO-ST |
--- |
--- |
| Hindi |
PWD-VI-EW |
61.9155828 |
96.3931731 |
| Hindi |
PWD-HI-EW |
27.9504907 |
56.292151 |
| Hindi |
PWD-LM-EW |
68.0441957 |
97.1827618 |
| Hindi |
PWD-OD&AO-EW |
--- |
56.292151 |
| Kannada |
UNRESERVED |
98.3097056 |
99.6860283 |
| Kannada |
EWS |
96.5648855 |
99.4767138 |
| Kannada |
OBC(NCL) |
94.4531659 |
99.0580848 |
| Kannada |
SC |
91.522763 |
98.9010989 |
| Kannada |
ST |
91.522763 |
98.6368593 |
|
Subject |
Category |
Assistant Professor |
Jrf & Assistant Professor |
|---|---|---|---|
| Cutoff Percentile |
Cutoff Percentile |
||
| Kannada |
PWD-VI-UR |
97.0695971 |
98.7964417 |
| Kannada |
PWD-HI-UR |
81.4756672 |
--- |
| Kannada |
PWD-LM-UR |
85.5049712 |
93.6682365 |
| Kannada |
PWD-OD&AO-UR |
25.7906216 |
62.7943485 |
| Kannada |
PWD-VI-OB |
69.6292257 |
69.6292257 |
| Kannada |
PWD-HI-OB |
69.6292257 |
--- |
| Kannada |
PWD-LM-OB |
73.827699 |
85.5049712 |
| Kannada |
PWD-OD&AO-OB |
--- |
--- |
| Kannada |
PWD-VI-SC |
76.9901854 |
85.5049712 |
| Kannada |
PWD-HI-SC |
--- |
--- |
| Kannada |
PWD-LM-SC |
73.827699 |
73.827699 |
| Kannada |
PWD-OD&AO-SC |
--- |
25.7906216 |
| Kannada |
PWD-VI-ST |
--- |
--- |
| Kannada |
PWD-HI-ST |
--- |
--- |
| Kannada |
PWD-LM-ST |
78.3359498 |
78.3359498 |
| Kannada |
PWD-OD&AO-ST |
--- |
54.4711014 |
| Kannada |
PWD-VI-EW |
94.7655398 |
94.7655398 |
| Kannada |
PWD-HI-EW |
--- |
--- |
| Kannada |
PWD-LM-EW |
--- |
--- |
| Kannada |
PWD-OD&AO-EW |
--- |
--- |
| Oriya |
UNRESERVED |
97.0863112 |
99.7251237 |
| Oriya |
EWS |
92.7982408 |
99.4502474 |
| Oriya |
OBC(NCL) |
92.8529924 |
99.2303463 |
| Oriya |
SC |
89.0180128 |
97.9109401 |
| Oriya |
ST |
76.2506872 |
97.6176641 |
| Oriya |
PWD-VI-UR |
85.2116548 |
97.0863112 |
| Oriya |
PWD-HI-UR |
41.6618245 |
41.6618245 |
| Oriya |
PWD-LM-UR |
92.7982408 |
97.0366066 |
| Oriya |
PWD-OD&AO-UR |
--- |
--- |
| Oriya |
PWD-VI-OB |
55.9648158 |
72.1275426 |
| Oriya |
PWD-HI-OB |
--- |
--- |
| Oriya |
PWD-LM-OB |
78.7914003 |
96.3393376 |
| Oriya |
PWD-OD&AO-OB |
--- |
--- |
| Oriya |
PWD-VI-SC |
83.782298 |
83.782298 |
| Oriya |
PWD-HI-SC |
--- |
--- |
| Oriya |
PWD-LM-SC |
69.6106915 |
69.6106915 |
| Oriya |
PWD-OD&AO-SC |
--- |
--- |
| Oriya |
PWD-VI-ST |
--- |
--- |
| Oriya |
PWD-HI-ST |
--- |
--- |
| Oriya |
PWD-LM-ST |
69.9285322 |
69.9285322 |
| Oriya |
PWD-OD&AO-ST |
--- |
--- |
| Oriya |
PWD-VI-EW |
62.4636839 |
85.2116548 |
| Oriya |
PWD-HI-EW |
--- |
--- |
| Oriya |
PWD-LM-EW |
72.1275426 |
72.1275426 |
| Oriya |
PWD-OD&AO-EW |
--- |
--- |
|
Subject |
Category |
Assistant Professor |
Jrf & Assistant Professor |
|---|---|---|---|
| Cutoff Percentile |
Cutoff Percentile |
||
| Tamil |
UNRESERVED |
99.3275316 |
99.8417722 |
| Tamil |
EWS |
97.5474684 |
--- |
| Tamil |
OBC(NCL) |
97.1123418 |
99.6521067 |
| Tamil |
SC |
94.0268987 |
98.1012658 |
| Tamil |
ST |
86.5901899 |
86.5901899 |
| Tamil |
PWD-VI-UR |
77.2323154 |
98.8924051 |
| Tamil |
PWD-HI-UR |
96.0572091 |
--- |
| Tamil |
PWD-LM-UR |
94.9748744 |
94.9748744 |
| Tamil |
PWD-OD&AO-UR |
--- |
--- |
| Tamil |
PWD-VI-OB |
68.8291139 |
98.6470816 |
| Tamil |
PWD-HI-OB |
--- |
--- |
| Tamil |
PWD-LM-OB |
86.5901899 |
86.5901899 |
| Tamil |
PWD-OD&AO-OB |
--- |
--- |
| Tamil |
PWD-VI-SC |
64.940085 |
77.2323154 |
| Tamil |
PWD-HI-SC |
73.0189409 |
--- |
| Tamil |
PWD-LM-SC |
91.5732509 |
91.5732509 |
| Tamil |
PWD-OD&AO-SC |
--- |
--- |
| Tamil |
PWD-VI-ST |
--- |
--- |
| Tamil |
PWD-HI-ST |
--- |
--- |
| Tamil |
PWD-LM-ST |
--- |
--- |
| Tamil |
PWD-OD&AO-ST |
--- |
--- |
| Tamil |
PWD-VI-EW |
--- |
--- |
| Tamil |
PWD-HI-EW |
--- |
--- |
| Tamil |
PWD-LM-EW |
--- |
--- |
| Tamil |
PWD-OD&AO-EW |
--- |
--- |
| English |
UNRESERVED |
97.7305099 |
99.7378997 |
| English |
EWS |
93.5086493 |
99.3020606 |
| English |
OBC(NCL) |
91.9447842 |
98.8991788 |
| English |
SC |
85.7373755 |
97.1562118 |
| English |
ST |
81.6049275 |
94.4117368 |
| English |
PWD-VI-UR |
81.6049275 |
99.159624 |
| English |
PWD-HI-UR |
67.8577669 |
91.9447842 |
| English |
PWD-LM-UR |
83.1775293 |
99.5587978 |
| English |
PWD-OD&AO-UR |
34.2128254 |
80.9182414 |
| English |
PWD-VI-OB |
63.6074447 |
95.4394548 |
| English |
PWD-HI-OB |
35.5711708 |
71.8735163 |
| English |
PWD-LM-OB |
72.2872619 |
98.0255111 |
| English |
PWD-OD&AO-OB |
--- |
69.3001614 |
| English |
PWD-VI-SC |
34.2128254 |
91.1147999 |
| English |
PWD-HI-SC |
--- |
--- |
| English |
PWD-LM-SC |
66.5321432 |
95.1239199 |
| English |
PWD-OD&AO-SC |
--- |
--- |
| English |
PWD-VI-ST |
60.355142 |
60.355142 |
| English |
PWD-HI-ST |
--- |
--- |
| English |
PWD-LM-ST |
60.355142 |
65.4901276 |
|
Subject |
Category |
Assistant Professor |
Jrf & Assistant Professor |
|---|---|---|---|
| Cutoff Percentile |
Cutoff Percentile |
||
| English |
PWD-OD&AO-ST |
--- |
--- |
| English |
PWD-VI-EW |
42.8496819 |
71.8735163 |
| English |
PWD-HI-EW |
43.1853923 |
87.6032665 |
| English |
PWD-LM-EW |
76.3629215 |
86.8993535 |
| English |
PWD-OD&AO-EW |
--- |
76.7448485 |
| Assamese |
UNRESERVED |
96.1206897 |
99.7126437 |
| Assamese |
EWS |
91.3793103 |
99.0936556 |
| Assamese |
OBC(NCL) |
89.8791541 |
99.0936556 |
| Assamese |
SC |
84.7432024 |
99.5468278 |
| Assamese |
ST |
82.9305136 |
98.1321839 |
| Assamese |
PWD-VI-UR |
53.6253776 |
91.3897281 |
| Assamese |
PWD-HI-UR |
--- |
--- |
| Assamese |
PWD-LM-UR |
78.8793103 |
78.8793103 |
| Assamese |
PWD-OD&AO-UR |
23.5632184 |
--- |
| Assamese |
PWD-VI-OB |
--- |
--- |
| Assamese |
PWD-HI-OB |
--- |
--- |
| Assamese |
PWD-LM-OB |
--- |
--- |
| Assamese |
PWD-OD&AO-OB |
--- |
--- |
| Assamese |
PWD-VI-SC |
--- |
--- |
| Assamese |
PWD-HI-SC |
--- |
--- |
| Assamese |
PWD-LM-SC |
--- |
--- |
| Assamese |
PWD-OD&AO-SC |
--- |
--- |
| Assamese |
PWD-VI-ST |
--- |
--- |
| Assamese |
PWD-HI-ST |
--- |
--- |
| Assamese |
PWD-LM-ST |
--- |
--- |
| Assamese |
PWD-OD&AO-ST |
--- |
--- |
| Assamese |
PWD-VI-EW |
--- |
53.6253776 |
| Assamese |
PWD-HI-EW |
--- |
--- |
| Assamese |
PWD-LM-EW |
--- |
--- |
| Assamese |
PWD-OD&AO-EW |
--- |
--- |
| Marathi |
UNRESERVED |
97.9368932 |
99.8740554 |
| Marathi |
EWS |
94.2961165 |
99.0291262 |
| Marathi |
OBC(NCL) |
94.2961165 |
99.6359223 |
| Marathi |
SC |
90.5541562 |
99.2443325 |
| Marathi |
ST |
83.2524272 |
97.9368932 |
| Marathi |
PWD-VI-UR |
85.4368932 |
--- |
| Marathi |
PWD-HI-UR |
78.3980583 |
78.3980583 |
| Marathi |
PWD-LM-UR |
93.324937 |
--- |
| Marathi |
PWD-OD&AO-UR |
--- |
--- |
| Marathi |
PWD-VI-OB |
34.1309824 |
--- |
| Marathi |
PWD-HI-OB |
--- |
--- |
| Marathi |
PWD-LM-OB |
65.0485437 |
--- |
| Marathi |
PWD-OD&AO-OB |
--- |
--- |
| Marathi |
PWD-VI-SC |
--- |
--- |
| Marathi |
PWD-HI-SC |
--- |
--- |
|
Subject |
Category |
Assistant Professor |
Jrf & Assistant Professor |
|---|---|---|---|
| Cutoff Percentile |
Cutoff Percentile |
||
| Marathi |
PWD-LM-SC |
81.4861461 |
--- |
| Marathi |
PWD-OD&AO-SC |
--- |
--- |
| Marathi |
PWD-VI-ST |
--- |
--- |
| Marathi |
PWD-HI-ST |
--- |
--- |
| Marathi |
PWD-LM-ST |
74.9370277 |
--- |
| Marathi |
PWD-OD&AO-ST |
--- |
--- |
| Marathi |
PWD-VI-EW |
--- |
--- |
| Marathi |
PWD-HI-EW |
--- |
--- |
| Marathi |
PWD-LM-EW |
--- |
--- |
| Marathi |
PWD-OD&AO-EW |
--- |
--- |
| Geography |
UNRESERVED |
97.4926666 |
99.6717419 |
| Geography |
EWS |
93.6499431 |
99.316766 |
| Geography |
OBC(NCL) |
92.7294315 |
99.0501467 |
| Geography |
SC |
85.9937035 |
97.1330967 |
| Geography |
ST |
82.1972343 |
95.6929466 |
| Geography |
PWD-VI-UR |
80.409275 |
96.9688504 |
| Geography |
PWD-HI-UR |
64.6325943 |
86.8626903 |
| Geography |
PWD-LM-UR |
85.4379103 |
95.6929466 |
| Geography |
PWD-OD&AO-UR |
60.1480654 |
95.9282023 |
| Geography |
PWD-VI-OB |
64.6325943 |
85.9937035 |
| Geography |
PWD-HI-OB |
40.3478139 |
85.4379103 |
| Geography |
PWD-LM-OB |
76.4981143 |
87.4539487 |
| Geography |
PWD-OD&AO-OB |
--- |
62.6833357 |
| Geography |
PWD-VI-SC |
54.6514876 |
54.6514876 |
| Geography |
PWD-HI-SC |
37.3725381 |
43.2532477 |
| Geography |
PWD-LM-SC |
73.9232367 |
87.4539487 |
| Geography |
PWD-OD&AO-SC |
--- |
--- |
| Geography |
PWD-VI-ST |
43.2532477 |
62.6833357 |
| Geography |
PWD-HI-ST |
46.1656656 |
46.1656656 |
| Geography |
PWD-LM-ST |
57.4661266 |
86.8626903 |
| Geography |
PWD-OD&AO-ST |
--- |
--- |
| Geography |
PWD-VI-EW |
57.4661266 |
57.4661266 |
| Geography |
PWD-HI-EW |
43.2532477 |
74.416818 |
| Geography |
PWD-LM-EW |
70.0866043 |
95.3415281 |
| Geography |
PWD-OD&AO-EW |
--- |
--- |
UGC NET Exam
Student Forum
Answered a week ago
Candiates can check below the steps to download the UGC NET question papers:
- Visit at ugcnet.nta.nic.in.
- Click on the answer key & question paper link.
- Login using the required details.
- Download the question paper PDF
V
Contributor-Level 6
Answered a week ago
To give mock test is important. It helps them to find out strengths and weaknesses. regular practice also improves speed, gain confidence, reduce the exam pressure, helps to understand the exam pattern, improves speed, etc.
G
Contributor-Level 6
Answered a week ago
Analysis is crucial for a candidate in the NTA NET exam. It helps to strategize the preparation, understand the paper structure, difficulty level, topics asked or high weightage areas, expected cutoff, etc.
K
Contributor-Level 6
Answered a week ago
No. Candidate must possess a Master's degree with a minimum of 55% grade score average from a UGC recognised university to apply for the NTA UGC NET exam. Also, if she or he is in the final year of their Master's programme or hold a four year bachelor's degree in specific subjects.
N
Contributor-Level 6
Answered a week ago
There is no upper age limit to apply for the Assistant Professor positions. But for the Junior Research Fellowship (JRF), the maximum age limit is 30 years as of June 1 of the exam year. There is also an ahe relaxation provided to the candidates from reserved categories including OBC, SC and ST
S
Contributor-Level 6
Answered a week ago
The Commission released the UGC NET 2025 December session examination dates on the official website ugcnet.nta.nic.in. The exam will be conducted from December 31 to January 7, 2025. The detailed schedule will be released later.
V
Contributor-Level 6
Answered 3 weeks ago
The Commission released the UGC NET notification 2025 for the December session in the form of PDF on October 7 at ugcnet.nta.nic.in. The registration also started for the December sesison along with the notification. The last date to apply is November 7, 2025.
N
Contributor-Level 6
Answered a month ago
There are several books available in the market that consist of the UGC NET practice sets. Also, some standard guidebooks include model test papers for the practicing of the UGC NET exam. Online test series are also available for the candidates who are aspiring to prepare for the UGC NET exam.
S
Contributor-Level 10
Answered a month ago
Candidates can check below the important books that can be used for the preparation for UGC NET paper 2 Commerce and English.
Commerce: Some of the books are Trueman's UGC NET Commerce, CB Gupta's Business Organisation, etc.
English: Some of the books are Arihant UGC NET English Literature, History of
V
Contributor-Level 6
Answered a month ago
The National Testing Agency (NTA) will conduct the December session of the UGC NET 2025 exam. The notification is not released yet. It is conducted to determine the eligibility of candidates for the post of Assistant Professor, the award of Junior Research Fellowship (JRF), and the admission to Ph.D
K
Contributor-Level 6
Registration - 7 Oct '25 - 7 Nov '25
How to download the UGC NET question papers?