The NTA successfully conducted the CSIR NET 2024 Mathematics and Earth Science exam on February 28, 2025 in Shift 1. Scroll down for detailed CSIR NET 2024 Maths and Earth Science paper analysis based on the student reviews, overall difficulty level of the exam, memory-based questions, answers, expected cut-off, etc.
CSIR NET 2024 Dec Exam Analysis: The National Testing Agency (NTA) conducted the CSIR NET 2024 December session exam from February 28 to March 2, 2025. The Mathematical and Earth Science exam Shift 1 (9 am to 12 pm) was over. The CSIR NET 2024 Mathematics and Earth Science exam is conducted in an online mode in several centres across the country. In Mathematical Science, 120 MCQs were asked in the exam, and candidates needed to attempt 60 questions. On the other hand, in Earth Atmospheric, Ocean, and Planetary Science, a total of 150 questions were asked, and candidates needed to attempt 75 questions. CSIR NET 2024 Dec Analysis plays a crucial role and helps candidates to understand the difficulty level of each section asked in the question paper and also predict the cutoff that will rise or drop as compared to the previous year.
- CSIR NET Mathematics Exam Analysis 2024: Student Reactions (Shift 1, February 28)
- CSIR NET 2024 Dec Mathematical Science Questions and Answers
- CSIR NET Earth Science Exam Analysis 2024: Student Reactions (Shift 1, February 28)
- CSIR NET Section-Wise Analysis: Mathematical Science
- CSIR NET Section-Wise Analysis: Earth Science
- CSIR NET 2024 December Answer Key
CSIR NET Mathematics Exam Analysis 2024: Student Reactions (Shift 1, February 28)
As per students reactions, the CSIR NET 2024 Mathematics paper's overall difficulty level is moderate. Candidates did not face any technical glitches.
Topics asked in the exam
As per students, topics asked:
Part B same as usual
Part A is easy as compared to the previous year
- Uniform conversion
- Complex integration
- Linear Algebra
- Analytic function
- Complex analysis a bit hard
Questions asked:
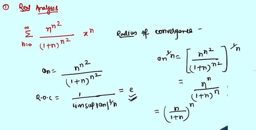
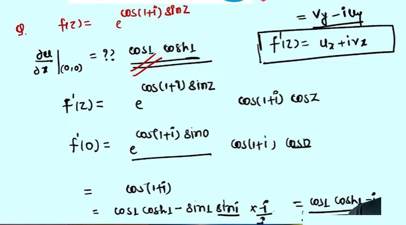
- Complex Analysis (9 to 8 Questions asked)
- Linear Algebra (10-15 Questions asked)
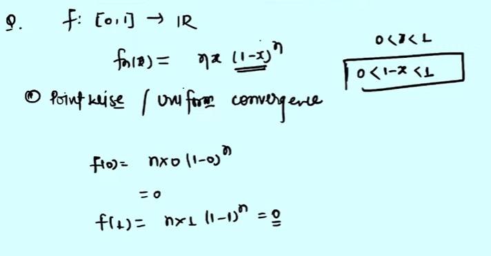
- Real Analysis (15 to 16 Questions asked)
- Ordinary Differential Equation (5 to 6 Question asked)
- Modern Algebra (7 to 8 Questions asked), etc.
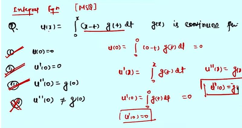
CSIR NET 2024 Dec Mathematical Science Questions and Answers
Q.
Q.
Q.
Ans.
Options are:
Q.
Q. Complex Analysis Question
Q.
CSIR NET Earth Science Exam Analysis 2024: Student Reactions (Shift 1, February 28)
According to the students, the overall difficulty level was Moderate.
Topics asked in the exam
CSIR NET Section-Wise Analysis: Mathematical Science
Candidates can check the CSIR NET Mathematical Science Analysis for December session in the table below based on the students' review.
| Part Name |
Total MCQs |
Total MCQs to be Attempted |
Good Attempts |
Difficulty Level |
|---|---|---|---|---|
| Part A |
20 |
15 |
10-11 |
Easy |
| Part B |
40 |
25 |
18-20 |
Easy to Moderate |
| Part C |
60 |
20 |
11-13 |
Easy |
| Total |
120 |
60 |
45-50 |
Moderate |
CSIR NET Section-Wise Analysis: Earth Science
Candidates can check the CSIR NET 2024 Dec Earth Science Analysis in the table below.
| Part Name |
Total MCQs |
Total MCQs to be Attempted |
|
Difficulty Level |
|---|---|---|---|---|
| Part A |
20 |
15 |
10-12 |
Easy to Moderate |
| Part B |
50 |
35 |
27-29 |
Moderate |
| Part C |
80 |
25 |
18-20 |
Moderate |
| Total |
150 |
75 |
55-62 |
Moderate |
CSIR NET 2024 December Answer Key
The National Testing Agency (NTA) will release the CSIR NET Answer Key 2024 one week after the exam was concluded. Candidates will be able to raise objections against the CSIR UGC NET 2024 Dec Provisional Answer Key by logging into the official website for a specific time period. The CSIR UGC NET 2024 Dec exam is conducted by NTA from February 28 to March 2, 2025. The Answer Key of CSIR NET will be available in the PDF format. After releasing the final answer key, CSIR NET Result & Cut-off will soon be published by NTA on the official website.
For which subjects candidates are appearing for in CSIR NET Dec 2024?
In a poll, candidates have shown their reaction for the subjects they are appearing for the CSIR NET 2024 Dec session exam. Take a look below:
Read More:
CSIR NET Shift Timings 2024: DEC Subject-Wise Paper Timing, Exam Date & Instructions

Role: Editorial Domain
Education: Mass Com & Journalism, MSC Mathematics
Expertise: Sarkari Exam Expert
About
Shikha Goyal is a double post graduate with more than 12 years of experience in education domain, journal
Read Full BioNews & Updates
Explore Other Exams
19 Dec '25 | SSC JE Tier 1 Provisional Answ... |
19 Dec '25 - 22 Dec '25 | SSC JE Tier 1 Answer Key Objec... |
4 Oct '25 - 6 Oct '25 | Application Correction |
1 Oct '25 - 3 Oct '25 | HP TET Nov 2025 Application Wi... |
Aug '25 | Kerala SET 2025 July Exam |
12 Jun '25 | Kerala SET 2025 July Applicati... |
14 Jan '26 | UGC NET 2025 Dec Answer Key |
14 Jan '26 - 17 Jan '26 | UGC NET 2025 Dec Answer Key Ch... |
29 Sep '25 | KTET Answer Key |
18 Sep '25 - 19 Sep '25 | KTET Exam Date |
17 Dec '25 | OTET Exam Date |
10 Dec '25 | OTET Admit Card |
3 Jan '26 - 31 Jan '26 | TSTET Exam Date |
27 Dec '25 | TSTET Admit Card Release |
1 Feb '26 | IBPS RRB Clerk 2025 Mains Exam |
28 Dec '25 | IBPS RRB 2025 Single Online Ex... |
Nov '25 | UPSC IAS Main Result 2025 |
22 Aug '25 - 31 Aug '25 | IAS Main 2025 Exam Date |
7 Sep '25 | JK SET Exam |
1 Sep '25 | Release of admit card |
Student Forum
Answered 6 days ago
The authority is expected to soon release the CSIR NET 2025 December session result on the official website at csirnet.nta.nic.in. It will be released in the form of PDF. It also consists of the roll numbers and rank of candidates who qualified the exam.
V
Contributor-Level 6
Answered a week ago
List of some the books that are helpful for the CSIR NET Earth Science preparation are mentioned below:
- Environmental Geology by Edward A Keller
- Structural Geology by Haakon Fossen
- Sedimentology and Stratigraphy by Gary Nichols
- Principles of Sedimentology and Stratigraphy by Sam Boggs Jr.
- Vertebrate Pale
N
Contributor-Level 6
Answered a week ago
The list of some of the important topics of Mathematical Science paper is mentioned below:
- Analysis
- Numerical & Complex Analysis
- Calculus of Variations
- Linear Integral Equations
- Algebra
- Ordinary Differential Equations (ODEs)
- Descriptive Statistics, Exploratory Data
- Classical Mechanics
S
Contributor-Level 6
Answered a week ago
The CSIR NET Physical Science Paper consists of the important topics as mentioned below:
- Mathematical Methods of Physics
- Classical Mechanics
- Thermodynamic and Statistical Physics
- Electromagnetic Theory
- Quantum Mechanics
- Electronics and Experimental Methods
M
Contributor-Level 6
Answered a week ago
Topics that are covered in the CSIR NET Life Science exam are listed below:
- Molecules and their Interaction Relevant to Biology
- Cellular Organization
- Cell Communication and Cell Signaling
- Developmental Biology
- System Physiology – Plant
- System Physiology – Animal
- Fundamental Processes
- Ecological Principles
- Ev
C
Contributor-Level 6
Answered a week ago
Officially, the CSIR NET Syllabus is available on the official portal at csirhrdg.res.in. It is available subject-wise in the form of PDF. Candidates can downlaod by visiting the official website. The CSIR NET syllabus is also available on this page itself.
I
Contributor-Level 6
Answered 2 weeks ago
Yes, the NTA released the CSIR NET 2025 Answer Key on its portal. The candidates were required to login with their credentials to download their subject answer key. The last date to send objections was January 1, 2026.
M
Contributor-Level 6
Answered 3 weeks ago
Yes. The NTA has released the CSIR UGC NET 2025 Provisional Answer Key for the December session. Candidates can download it by visiting the official portal or via a direct link provided on this page. They required login credentials to check the answer key.
I
Contributor-Level 6
Answered a month ago
The CSIR NET 2025 exam was conducted on December 18 in two shifts. As per the schedule released, the Mathematical Science exam was held from 3 pm to 6 pm on Dec 18.
I
Contributor-Level 6
Answered a month ago
The CSIR NET 2025 Notification was released on September 25 in the form of PDF at csirnet.nta.nic.in. The notification conists if the important information related to the exam like exam dates, syllabus, pattern of an exam, etc.
G
Contributor-Level 6

The CSIR NET exam consists of five subjects some of them are Maths, Physical Science, Chemical Science, etc. Part A in the exam is common for all candidates and Part B and C is subject-specific. Candidates need to select one subject and prepare well to clear the examination.