CUET PG 2024 Mathematics Question Paper is available for candidates to download on the NTA official website. Candidates preparing for the CUET PG 2025 exam can download the CUET PG Mathematics Question Paper here. Know the CUET PG Mathematics exam pattern and syllabus in the article below. Get the direct link to download the CUET PG Mathematics Question Paper and mock tests here.
CUET PG Mathematics Question Paper: The National Testing Agency (NTA) releases the CUET PG 2024 Mathematics Question Paper online for candidates aspiring to appear in the CUET PG exam. Candidates preparing for the exam can download the CUET PG Mathematics question paper for reference. Candidates can also refer to the CUET PG Mathematics Question Paper/ previous year question paper. In order to prepare well for the exam, candidates need to have a better understanding of the eligibility criteria, exam structure and similar exam-related details. Candidates can read the article below to know about all the CUET PG exam related details.
Explore colleges based on CUET-PG
- CUET PG 2024 Mathematics Question Paper- PDF Download
- CUET PG 2024: Mathematics Analysis
- CUET PG Mathematics Exam Pattern
- CUET PG 2024 Exam: Mathematics Practice Questions
- CUET PG 2024 Question Paper: Memory Based
CUET PG 2024 Mathematics Question Paper- PDF Download
NTA, the exam conducting body releases the CUET Mathematics Question Paper at the official website of CUET- nta.ac.in. The CUET Mathematics Question Paper 2024 PDF download link is available online. Candidates can download the question paper online without any prior registrations.
CUET PG previous year's question papers are important for several reasons. Some of the reasons are mentioned below:
a) To Get Familiar with Exam Pattern: Solving the previous year's question papers helps candidates to get familiar with the exam pattern, types of questions, and difficulty level of the exam. This can help them to prepare effectively and improve their chances of scoring well in the exam.
B) To Identify Important Topics: By solving the previous year's question papers, candidates can identify the important topics that are frequently asked in the exam. This can help them to prioritize their preparation and focus on the topics that are more likely to be asked in the exam.
C) To Boosts Confidence: Solving the previous year's question papers can help candidates to build confidence and reduce exam anxiety. It can also help them to develop a strategy for time management and improve their speed and accuracy in solving the questions.
D) Practice and Revision: Solving the previous year's question papers can help candidates to practice and revise the concepts they have learned. This can help them to reinforce their understanding of the subject and identify areas where they need to improve.
CUET PG exam is based on multiple-choice questions (MCQs) and each question will have four answer options and you have to select only one.
CUET PG 2024 Mathematics Question Paper | Soon |
Download - CUET Mathematics 2023 Question Paper PDF Here
CUET Mathematics 2023 Question Paper (English) | CUET Mathematics 2023 Question Paper (English) |
CUET Mathematics 2023 Question Paper (Hindi) | - |
CUET PG 2024: Mathematics Analysis
CUET PG 2024 Mathematics exam level was moderate to easy. Questions were asked from Real analysis, Complex Analysis, Algebra and Vector Analysis. Many of the questions that were asked in the examination had the analytical approach to answer the questions. Very few questions were direct from the King theory and group theory.
Here is the list of important topics from which the questions were asked in the examination along with its weightage.
Topics | Number of Questions Asked |
---|---|
Real Analysis | 12-14 |
Complex Analysis | 9 |
Vector Calculus | 11 |
Integral Calculus | 9 |
Group Theory | 5 |
Ring Theory | 1 |
Linear Programming | 6 |
Algebra | 10 |
Ordinary Differential Equation | 8 |
Also Read:
CUET PG Mathematics Exam Pattern
CUET PG 2024 question paper will have 75 MCQ questions. Candidates can check the table below to learn about the expected CUET PG 2025 exam pattern.
Particulars |
Details |
---|---|
Mode of the examination |
Computer-based-test (CBT)/Offline |
Type of questions |
Multiple Choice Questions (MCQs) |
Slot Timings (Schedule mention here as per 2023 trend) |
Shift 1 - 8:30 AM to 10:15 AM Shift 2 - 12 Noon to 1:45 PM Shift 3 - 3:30 PM to 5:15 PM |
Total sections in the question paper |
Section A: Scrapped Section B: Domain Specific ( 75 questions from Mathematics Domain) |
Total number of Questions |
75 (Mutiple Choice Questions) |
Negative marking |
Yes |
Marking Scheme |
+4 for each correct answer -1 for each incorrect answer |
Also Read: CUET PG 2025 Mathematics Syllabus; Important Topics, Books & Download PDF
CUET PG 2024 Exam: Mathematics Practice Questions
It is advisable to start solving CUET PG question papers as part of your exam preparation at least 4-5 months before the exam date. This will give you sufficient time to practice and revise the concepts.
There are 75 questions asked in Section 2 of the CUET PG exam. This section contains domain-specific questions on the subject that you have chosen.
Here is the list of important topics from which the question s were asked in the examination along with its weightage.
Topics | Number of Questions Asked |
---|---|
Real Analysis | 12-14 |
Complex Analysis | 9 |
Vector Calculus | 11 |
Integral Calculus | 9 |
Group Theory | 5 |
Ring Theory | 1 |
Linear Programming | 6 |
Algebra | 10 |
Ordinary Differential Equation | 8 |
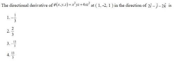
CUET PG 2024 Question Paper: Memory Based
CUET PG 2025 exam is yet to be conducted. The exam will be held at 326 exam centres across the nation and overseas. The NTA will release the CUET PG 2024 question paper subject-wise after the successful conduct of the CUET PG 2024 exam, and expected to be released in the month of December, 2024. For reference, you can go through the CUET PG 2024 subject wise memory based questions from here:
Read More:

News & Updates
Explore Other Exams
16 Aug '25 - 19 Aug '25 | IISER 2025 Round 4 Seat Allotm... |
8 Aug '25 - 12 Aug '25 | IISER 2025 Round 3 Seat Allotm... |
Oct '25 | OUAT 2025 Campus Reporting for... |
Nov '25 | OUAT 2025 Campus Reporting for... |
Mar '26 | CUET 2026 Application Process |
May '26 | CUET 2026 Exam |
Jul '22 | DAVV CET 2022 Registration |
Dec '24 | TISSNET 2024 Mock Test |
Jun '24 | TISS Online Assessment 2024 |
Student Forum
Answered 3 weeks ago
Here are some tips for candidates preparing for the CUET PG exam in CBT mode:
Understand the exam format, make sure you have a good understanding of computer, choose a test center that is convenient for you, arrive early on the center.
R
Contributor-Level 7
Answered 3 weeks ago
See, solve as many previous question papers and it is advised to allocate time to yourself while solving the paper.
R
Contributor-Level 7
Answered 3 weeks ago
It is advisable to start solving CUET PG question papers as part of your exam preparation at least 4-5 months before the exam date.
R
Contributor-Level 7
Answered 3 weeks ago
Well, there is no fixed number, but candidates are advised to solve as many question papers as they can. and it also depends on the individual preparation.
R
Contributor-Level 7
Answered 3 weeks ago
It is conducted once a year only. And it is typically held in the month of March or April. The exact date is announced on NTA a few months before the exam
R
Contributor-Level 7
Answered 3 weeks ago
It is important because you can be familiar with the exam pattern, identify important topics, boosts confidence, and helps in practice and revision.
R
Contributor-Level 7
Answered 3 weeks ago
IIT JAM is for PG scientific and engineering courses in IITs and other premier institutons while CUET PG is a wider platform for admissions to postgraduate programs across private, state and central universities.
R
Contributor-Level 7
Answered 3 weeks ago
The candidates can fill up to two cities as per their preferences.
R
Contributor-Level 7
Answered 3 weeks ago
No, it doesn't change. The National Testing Agency (NTA) has been consistently responsible for conducting the Common University Entrance Test (CUET) PG since its inception.
The NTA is a government autonomous organisation under the Ministry of Education, India. It has been entrusted with the task of c
R
Contributor-Level 7
Answered 3 weeks ago
No, candidates are not allowed to take the CUET PG question paper or any other exam-related material outside the examination hall after the Computer Based Test (CBT) is over.
R
Contributor-Level 7
NTA, National Testing Agency is the examination conducting body of CUET PG examination. The exam syllabus, structure of the examination is set by the NTA for the ongoing academic session.
On the basis of previous year's trends it is highly expected that NTA will set the CUET PG 2024 structure in such a way that the examination will have 2 sections to be attempted by the candidates. The section I of the examintion will be General Aptitude specific and Section II will be subject domain specific which depends upon the subject choose by the candidates while filling up the CUET PG 2024 examination. There is no complusion in attempting any question asked in the examination. However, it is being advised not to attempt the questions for which candiates are not sure about their answer. One mark will be deducted for every wrong answer marked by the candidates.