GATE 2025 Feb 16 CE question paper answer key: IIT Roorkee has released the GATE 2025 CE question paper and answer key PDF. Candidates who have appeared for the GATE 2025 CE exam on Feb 16 can check the question paper solutions by logging in to the GATE candidate login. Candidates can find the GATE CE1 and CE2 memory-based questions and solutions PDF below. Students say that the paper was moderate to tough. Few questions were tricky and challenging. Read below for GATE 2025 Feb 16 CE shift 1 &2 question paper solution key details.
GATE 2025 February 16 CE1 Question Paper and Answer Key: CE shift 1 exam has ended. The computer-based test was held for 100 marks, comprising 15 marks for general aptitude, engineering mathematics - 13 marks, and subject-based questions for 72. Aspirants can find the GATE February 16 CE shift 1 memory-based question paper and answer key below.
Explore colleges based on GATE
GATE CE shift 1 paper analysis: Students say that the paper was moderate to tough. Few questions were tricky and challenging.
GATE CE1 Memory-Based Question Answer Key (Shift 1)
The GATE previous years question paper are available on the official website - gate2026.iitg.ac.in. Candidates who are appearing for GATE exam must attempt the question paper to understand what sort of questions are asked in the exam. Candidates can download them for free. However, they must check the paper code carefully before downloading PDF.
So, if you are planning to appear for GATE this year, then it is very important to solve the GATE old question paper, as they come with tons of benefits.
- First and foremost, the GATE old question paper allows students to understand the GATE exam structure and pattern, with which you can tally and filter out the GATE subject-wise weightage, and which questions are asked more frequently.
- Also, solving the GATE previous year's paper gives you an upper hand in improving your time management skills and accuracy.
- Besides that, the GATE old question paper also gives you a clear understanding of the difficulty level.
Therefore, it is advised to keep a habit of solving GATE old question papers. Try to solve atleast one full-length paper per day.
Q.
Ans -
The GATE CS is one of the most demanding paper taken by the aspirants. Here are some of the important high-weightage topics and chapters that are frequently asked in the GATE exam every year.
- Data Structures and Algorithms
- Theory of Computation
- Operation Systems
- Databases and Computer Networks.
Every year, more than 8 to 12 marks of questions are extracted from these topics. The questions range from easy to challenging. So, it is advisable to focus on these topics for GATE preparation.
The following are the most registered subjects/papers in the GATE examination -
- Computer Science and Engineering
- Civil Engineering
- Electronics and Communication Engineering
- Mechanical Engineering
- Electrical Engineering
Every year, Lacs of candidates register for the above subjects, making the respective branch competitive.
The IITs and IISc prepare GATE question paper to test candidates skills and knowledge in their relevant discipline. Questions in GATE exam 2026 will be prepared under the following category - recall, comprehension, application, and analysis.
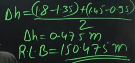
Q.
Ans- 150.475 m
Q
Q.
Q.
Ans-
Q.
Ans-
Q.
Ans- 4.4%
Q.
Ans-
Q.
Ans- option "B"
Q.
Ans- 24.06
Q.
Ans - option "C"
Q.
Ans- option "A" "B" and "C"
Q.
Ans- option "B" and "D"
Q.
Q.
Ans- 49.48 degrees
Q.
Q.
Ans- option "D"
Q.
Ans- option "A" "B" and "C"
Q
Q.
Ans- Option "A" "B" and "C"
Q.
Ans- 488
Q.
Ans- Option "B"
Q.
Ans- 514 KW
Q.
Ans-
Q.
Ans-
GATE 2025 CE Memory-Based Question Paper Answer Key by MADE EASY
The GATE 2025 CE shift 1 and 2 question paper and solutions is NOW available. Candidates can check the PDF link for GATE 2025 CE1 and CE2 paper below.
GATE 2025 Official Question Paper and Answer Key PDF: Release Date
IIT Roorkee has released the official GATE 2025 CE1 and CE2 question papers on the official website. Candidates can find the GATE question paper answer key pdf on the official website- gate2025.iitr.ac.in once released. The GATE 2025 results was released on March 19, 2025.

Upasana Pradhan is an Mtech graduate in Electronics and Communication Engineering from DTU who specialises in curating postgraduate and undergraduate engineering entrance exam content, such as GATE, TS PGECET, KCET,
Read Full BioNews & Updates
Explore Other Exams
1 Feb '26 - 25 Feb '26 | JEE Main 2026 Registration Ses... |
Feb '26 | JEE Main 2026 Final Answer Key... |
19 Feb '26 - 4 Apr '26 | TS EAMCET Application Form 202... |
7 Apr '26 - 8 Apr '26 | TS EAMCET 2026 form correction |
16 Jan '26 - 22 Feb '26 | KCET Application Form 2026 |
24 Feb '26 | Last date to pay application f... |
Sep '26 | DTU LEET 2026 Application Form... |
Oct '26 | DTU LEET 2026 Exam Date |
22 Mar '26 | OJEE 2026: Last date of fee pa... |
25 Apr '26 | OJEE 2026 Admit Card Release |
May '26 | AISECT Joint Entrance Exam 202... |
May '26 | AISECT Joint Entrance Exam 202... |
Student Forum
Answered 20 hours ago
GATE 2026 CE-1 paper was conducted on Feb 14 in forenoon shift. Based on the experts and students feedback, the paper was easy to moderate with concept loaded questions. The most important topics that were covered in GATE 2026 CE-1 question paper were - Geotechnical Engineering, Environmental, and T
H
Contributor-Level 7
Answered Yesterday
IIT Guwahati had conducted GATE 2026 exam on Feb 7 and 8 in two shifts. The papers that were held on February 7 and 8 can be checked below -
| GATE 2026 Feb 7 exam (shift 1) | AG, ES, GG, IN, MA, MN, TF, XE, XL |
| GATE 2026 Feb 7 (shift 2) | AE, BT, CH, CY, GE, PH, XH |
| GATE Exam 2026 Feb 8 (shift 1) | CS-1 and ST |
| GATE 2026 exam Feb 8 (shift 2) | CS-2, EY, NM, PE |
Based on student's reaction, the GATE 2026 question paper difficulty level varied for all papers. Students can check brief analysis of all GATE subjects below -
T
Contributor-Level 7
Answered Yesterday
No, GATE is not a mandatory entrance exam for IIT Patna PhD admissions. To become qualified for IIT Patna course admission to the PhD course, candidates can also appear for the UGC NET as well.
However, candidates with an appropriate CGPA in their BTech course from a Centrally Funded Technical Insti
S
Contributor-Level 10
Answered 2 days ago
No, GATE is not a mandatory entrance exam for all PhD admissions at NIT Jalandhar. Candidates who are qualified for direct admissions at NIT Jalandhar's Engineering PhD courses are require to clear it during ME/MTech admissions.
However, for the remaining candidates, they can also appear for the UGC-
S
Contributor-Level 10
Answered 2 days ago
No, candidates who are applying through their GATE score are not required to appear for the Written Test conducted by IIIT Bhubaneshwar for M.Tech admissions. This Written Test is only meant for candidates who did not apply through a valid GATE score. Other candidates will be moved directly to the P
S
Contributor-Level 10
Answered 2 days ago
No, GATE is not a mandatory entrance exam for securing admissions at IIIT Bhubaneshwar. Candidates who fail to secure a GATE scorecard can still appear for the IIIT Bhubaneshwar M.Tech entrance exam which includes a written test. The syllabus of this written test is the same as the GATE.
S
Contributor-Level 10
Answered 3 days ago
GATE memory-based answer key, also known as the unofficial answer key released by several coaching institutes immediately after the completion of the exam. These questions are mainly derived by students feedback and might not be 100% accurate.
These memory-based GATE answer key helps students to ana
A
Contributor-Level 7
Answered 3 days ago
The GATE provisional answer key is an official document released by the official authorities along with the response sheet. The provisional answer key of GATE contains all the correct answers to the questions that were asked in Graduate Aptitude Test in Engineering.
With the help of the GATE 2026 pr
S
Contributor-Level 7
Answered 3 days ago
In GATE (Graduate Aptitude Test in Engineering) official answer key, MTA stands for Marks to All.
"Marks to All" states that the marks allotted to that question will be given to all candidates who attempted that particular test paper.
I
Contributor-Level 7
Answered 3 days ago
No, both are the same in difficulty level. GATE is conducted for 30 papers, while JAM is held for seven papers. The difficulty level of IIT JAM and GATE varies from paper to paper. To score good marks, students must focus on the exam syllabus and high-weightage topics.
V
Contributor-Level 9
Exam On - 14 Feb '26
Attempting two papers in GATE allows students to broaden their skills and career options in different disciplines. Implemented in 2021, the GATE two paper combination can be chosen from the given list of paper combinations (already set by the authorities). With the GATE two paper combination list, also, you have better chances of qualifying the examination.