Read the article below to know important details about AP EAMCET 2020 result and rank card.
The AP EAMCET 2020 Result has been announced by the Jawaharlal Nehru Technological University (JNTU), Kakinada on October 10. Candidates can know their results for AP EAMCET 2020 online by logging into the official website. The rank card of AP EAMCET 2020 will be available on October 14. AP EAMCET 2020 result/rank card must be secured by the candidates as it will be required during the APEAMCET 2020 counselling.
Latest: AP EAMCET 2020 result declared, check here
Check AP EAMCET Toppers list here
Andhra Pradesh Engineering, Agriculture & Medical Common Entrance Test (EAMCET) is conducted by JNTU on behalf of Andhra Pradesh State Council of Higher education (APSCHE). It is a state-level entrance examination. Marks obtained by candidates in the exam id the basis for admission to various courses such as engineering, agriculture, and pharmacy. Candidates can get admission in government and private institutions of the state of Andhra Pradesh. Interested candidates can get all the details related to the AP EAMCET 2020 result in the below article.
Explore colleges based on AP EAMCET
The JNTU has announced the result in online mode only. No other mode is available to access the result. The rank card will not be sent to the candidates through post or any other means. The university has informed the candidates participated in the exam through SMS on registered mobile number.
- AP EAMCET 2020 result – Important dates
- How to Check AP EAMCET 2020 result
- Details mentioned on the AP EAMCET 2020 Result
- Normalisation of Score in AP EAMCET 2020
- AP EAMCET rank card 2020
- AP EAMCET 2020 Answer Key/Preliminary Key
AP EAMCET 2020 result – Important dates
| Events |
Important Dates |
|---|---|
| AP EAMCET 2020 |
17-Sep-2020, 18-Sep-2020, 21-Sep-2020: Engineering 23-Sep-2020 to 25-Sep-2020: Agriculture |
| Declaration of AP EAMCET 2020 Result |
10-Oct-2020 |
| Start of Downloading AP EAMCET 2020 Rank Card |
14-Oct-2020 |
| Commencement of Counselling |
To be announced |
How to Check AP EAMCET 2020 result
Candidates should follow the guidelines given below to check the AP EAMCET result 2020.
- Visit the official website
- Open the website and search for ‘AP EAMCET 2020 Result’ link
- Click on the link, a login page will open
- Enter the required details: AP EAMCET registration number and date of birth
- Click on ‘View Result’
- The result will be displayed on your screen
- Take a printout of the result and secure till counselling procedure
Details mentioned on the AP EAMCET 2020 Result
- Registration No.
- Candidates’ Name
- Father’s Name
- Gender
- Category
- Local Area
- Combined Score
- EAMCET Weightage
- Inter Weightage
- Group Total
- Subject-wise Marks
- Rank
- Intermediate Percentage
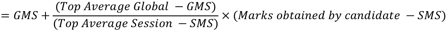
Normalisation of Score in AP EAMCET 2020
The following formula will be used to calculate the normalised marks in the exam:
Top Average Global: Average marks of the top 0.1% of all the candidates across all sessions Together
GMS: (Average + Standard Deviation) of all the candidates across all sessions together
SMS: (Average + Standard Deviation) of the session in which the candidate belongs to
Top Average Session: Average marks of the top 0.1% of the candidates in the session in which the candidate belongs
AP EAMCET rank card 2020
AP EAMCET 2020 rank card will be made available by the JNTU online in the first week of May. Candidates will be able to download the AP EAMCET 2020 rank card only after the result announcement. Rank card will be accessed by entering the hall ticket number, registration number, and date of birth. Candidates will be ranked in the order of their merit based on performance in the examination. Without a rank card, no candidate will be allowed to attend AP EAMCET counselling.
AP EAMCET 2020 Answer Key/Preliminary Key
- AP EAMCET 2020 official answer key has been released by JNTU Kakinada
- To download official AP EAMCET 2020 Answer key, candidates have to enter their Login ID and Password
- Preliminary Key is provided for candidates to check it against their answer sheets and get an idea of approximate marks they may score in the exam
- In case of any discrepancy in the answer key, candidates can challenge it by sending a valid proof before the specified last date
News & Updates
Explore Other Exams
31 Oct '25 - 27 Nov '25 | JEE Main 2026 Registration Ses... |
Jan '26 | JEE Main Admit Card 2025 Sessi... |
Feb '26 | TS EAMCET 2026 notification |
Mar '26 | TS EAMCET 2026 application for... |
Feb '26 | KEAM 2026 registration |
Mar '26 | KEAM 2026 last date to pay app... |
Mar '26 | CG PET 2026 application form |
May '26 | CG PET 2026 admit card |
24 Oct '25 - 31 Mar '26 | VITEEE 2026 application form |
Apr '26 | VITEEE 2026 Mock Test Release ... |
3 Nov '25 - 16 Apr '26 | SRMJEEE 2026 Registration (Pha... |
3 Nov '25 - 4 Jun '26 | SRMJEEE 2026 Registration (Pha... |
Jan '26 | BITSAT 2026 application form -... |
May '26 | BITSAT 2026 application form -... |
19 Sep '25 - 12 Nov '25 | KLEEE 2026 Application Form - ... |
13 Nov '25 | KLEEE 2026 Admit Card - Phase ... |
Feb '26 | COMEDK application form 2026 |
May '26 | COMEDK exam date 2026 |
Student Forum
Answered a month ago
Yes, you can participate in the VSAT counselling even though if you have passed the JEE/EAMCET exam.
M
Contributor-Level 7
Answered a month ago
To prepare for the TS EAMCET exam, candidates can refer to the NCERT books, however, they can also take help from supplementary books, but over burdening oneself with a lot of books is not recommended.
S
Contributor-Level 7
Answered a month ago
If candidates have focused well in their 10 and 10+2 classes, they can easily qualify in the exam. The question paper is similar to popular engineering entrance exams such as JEE Mains, but the difficulty level is of easy to moderate.
N
Contributor-Level 7
Answered a month ago
At the TS EAMCET exam centre, candidates need to follow the below guidelines -
- Reach the exam centre atleast 40-60 minutes before the reporting time.
- Carry your government issued IDs.
- Carry a passport size photo,
- Although the exam is in CBT based online mode, carry black and blue ball point pen.
- Avoid
M
Contributor-Level 7
Answered a month ago
No, once being alloted the TS EAMCET exam centres, candidates will not be able to change it. The decision is final from the exam body.
L
Contributor-Level 7
Answered a month ago
The TS EAMCET exam centre are located at major exam centres in Telangana State. While filling the TS EAMCET application form, candidates will have to select the TS EAMCET exam centre based on the options and preferences available.
N
Contributor-Level 7
Answered a month ago
The TS EAMCET exam centres are the dedicated venue where the TS EAMCET exam is being conducted.
M
Contributor-Level 7
Answered a month ago
No, there is no negative marking in the TS EAMCET exam. Tshis gives candidates complete fredom to solve as many questions as they can, without the fear of loosing the marks.
M
Contributor-Level 7
Answered a month ago
The question paper will be in online mode and MCQ format. Here candidates can check the distribution of the questions for Engineering
Subjects | No. of Questions |
|---|---|
Mathematics | 80 |
Physics | 40 |
Chemistry | 40 |
A
Contributor-Level 7
Answered a month ago
Yes, for SC, ST, OBC, and local candidates as per state norms.
C
Contributor-Level 7

I have passed in JEE/EAMCET exam, can I appear for VSAT counselling?