Check KEAM 2022 paper 2 answer key on this page. Use the marking scheme of the exam to crosscheck the answers marked in the exam.
KEAM 2022 Answer Key for Maths (Paper 2): CEE has released KEAM 2022 official answer key for Maths, check below. Using the KEAM answer key 2022, candidates can crosscheck their answers in the exam and find their probable score. To calculate scores candidates have to use the marking scheme of the exam. Check all about KEAM 2022 paper 2 answer key on this page below.
Also Check: KEAM 2022 answer key for Physics and Chemistry (Paper 1)
- KEAM 2022 Answer Key for Mathematics (Paper 2) PDF
- KEAM 2022 Answer Key Date
- How to Calculate Score Using KEAM 2022 Answer Key
- KEAM 2022 Unofficial Answer Key - Paper 2
- KEAM 2022 Question, Answers and Solutions for Paper 2
- Previous Year KEAM Answer Key for Paper 1
KEAM 2022 Answer Key for Mathematics (Paper 2) PDF
After the KEAM exam, various coaching centres release the KEAM answer keys. All such answer keys are provided below. However, candidates must also crosscheck their answers using the official answer key that will also be available on this page once CEE releases them.
Explore colleges based on KEAM
Official KEAM 2022 Answer Key for Paper 2
CEE has released KEAM 2022 answer key on the official website a few days after the exam. KEAM answer key is available as a PDF for all versions of the question paper distributed in the exam.
The last date to challenge the KEAM answer key will be notified with the release of the KEAM 2026 answer keys. CEE releases the KEAM answer key online in PDF format. The provisional KEAM answer key is also made available for challenges. After the challenges are received, they are scrutinised and a final KEAM answer key is released. To challenge, candidates can follow the steps below:
Candidates can submit challenges against the KEAM answer key 2025, if any, through the Candidate Portal. By selecting the applicable links 'Answer Key Challenge (Engineering), Answer Key Challenge (Pharmacy)' in the Candidate Portal, candidates can enter the details of the complaints in the answer key/question.
If the complaint filed is found to be genuine, the fee remitted while filing the complaint will be refunded. Complaints received after the stipulated date and without the requisite fee will not be considered under any circumstances. Complaints received by Email/Fax will not be considered on any account. The objection window is made available on the official website after the release of the answer keys for KEAM. Submitted objections are scrutinised by the expert committee at CEE. The authorities will then release the KEAM final answer key. The final answer keys released will not be subjected to any revision. The decision made will be final. No further objections will be entertained on the same. Based on the final answer key, the KEAM result is calculated.
The official answer key for KEAM 2022 can be challenged. To challenge the KEAM answer key 2022, candidates must report the same to CEE in writing along with supporting documents. A fee of INR 100/- per question s to be paid as a DD in favour of CEE, payable at Thiruvananthapuram, within 5 days from the date of publication of the answer keys on the website of the CEE.
| Download official KEAM 2022 answer key for Maths |
KEAM 2022 Answer Key Date
KEAM 2022 answer key will be available as per the dates below:
| KEAM 2022 answer key |
Dates |
|---|---|
| KEAM 2022 exam date |
4 Jul 2022 |
| KEAM answer key - unofficial |
4 Jul 2022 |
| KEAM answer key - official |
4 Jul 2022 |
| Last date to challenge answer key |
13 Jul 2022, by 5 pm |
How to Calculate Score Using KEAM 2022 Answer Key
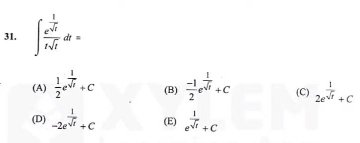
Once the KEAM 2022 answer key is made available, candidates can use it to calculate their probable score in the exam.
Steps to follow:
- Download the KEAM answer key.
- Now match the answer key with the answers marked by you in the exam.
- Count the number of correct answers and the number of wrong ones.
- Once the number of correct and incorrect answers have been achieved, put them to the above formula.
In order to calculate the probable score in KEAM 2022, candidates can also use the below formula:
KEAM 2022 probable score = 4 X number of correct responses – 1X number of incorrect responses
KEAM 2022 Unofficial Answer Key - Paper 2
Check the Unofficial answer keys below:
| Coaching Institute |
Maths (Paper 2) |
|---|---|
| Brilliant Study Centre |
|
| XYLEM |
KEAM 2022 Question, Answers and Solutions for Paper 2
Check unofficial KEAM questions and answers with solutions below:
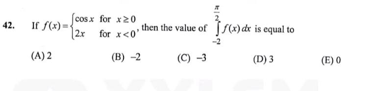
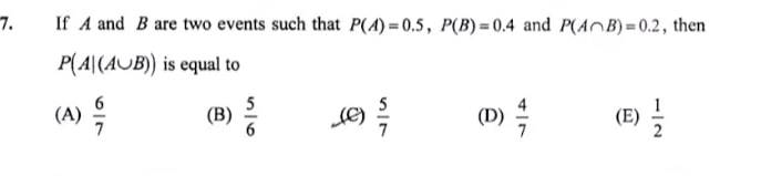
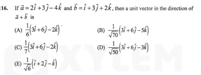
Q:
A: b
In the KEAM answer key, candidates can check the questions asked in the exan, the options and the correct answer. Candidates can check KEAM answer keys to calculate their probable scores in the exam. KEAM question paper and answers keys are made available for all shisfts in PDF format that the candidates can download form the official website after the exam.
Candidates who wish to challenge the KEAM answer key must pay a fee of INR 200/- online for each question they want to contest.
Candidates can submit the KEAM answer key 2026 challenge, if any, regarding the answer keys and questions through the KEAM 2026 candidate portal. By selecting the applicable links 'Answer Key Challenge (Engineering), Answer Key Challenge (Pharmacy)' in the Candidate Portal, candidates can enter the details about the complaints in the answer key/question.
To download the KEAM answer key, candidates can follow the steps below: Step-1: Go to cee. Kerala. Gov. In. Step-2: Then click the download KEAM answer key link. Step-3: Thereafter select the question paper set. Step-4: The pdf of the KEAM answer key opens on the screen. Step-5: Download the PDF and start calculating the score.
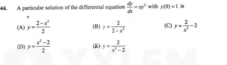
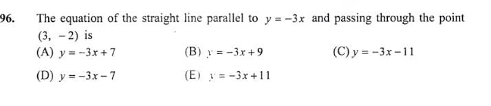
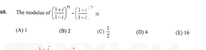
Q:
A: b
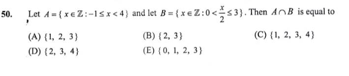
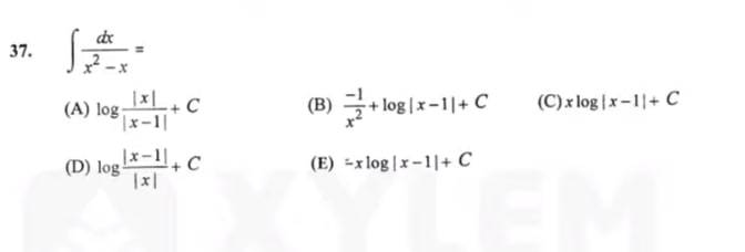
Q:
A: a
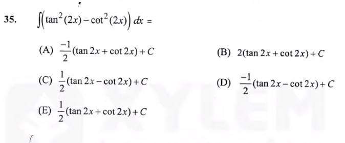
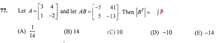
Q:
A: b
Q:
A: c
Q:
A: c
Q:
A: e
Q:
A: e
Q:
A: e
Q:
A: c
Q:
A: d
Q:
A: e
Q:
A: d
Q:
A: a
Q:
A: c
Q:
A: b
Q:
A: d
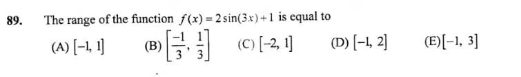
Q:
A: a
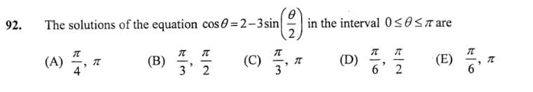
Q:
A: e
Q:
A: a
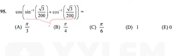
Q:
A: c
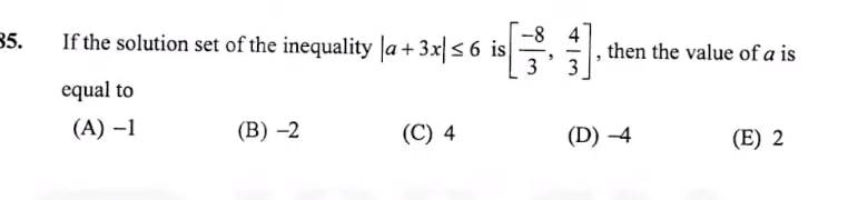
Q:
A: c
Q:
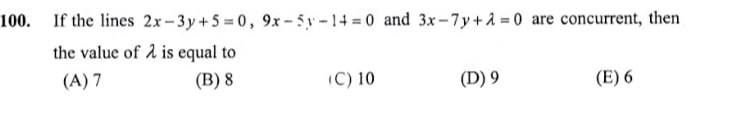
A: d
Q:
A: b
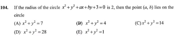
Q:
A: a
Q:
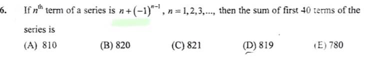
A: e
Q:
A: c
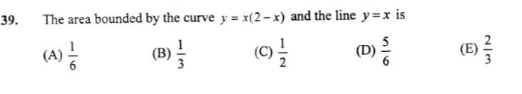
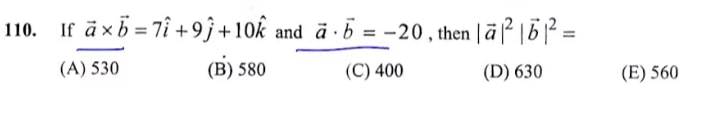
Q:
A: e
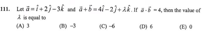
Q:
A: e
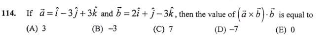
A: a
Q:
A: b
Q:
A: e
Q:
A: b
Q:
A: d
Q:
A: a
Q:
A: e
Q:
A: c
Q:
A: c
Q:
A: e
Q:
A: b
Q:
A: a
Q:
A: e
Q:
A: d
Q:
A: b
Q:
A: b
Q:
A: c
Q:
A: a
Q:
A: c
Q:
A: a
Q:
A: c
Q:
A: b
Q:
A: b
Q:
A: a
Q:
A: c
Q:
A: b
Q:
A: d
Q:
A: d
Q:
A: d
Q:
A: b
Q:
A: e
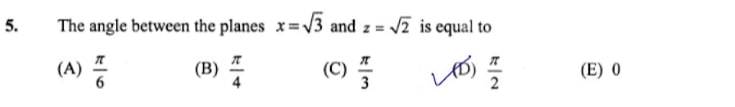
Q:
A: 2
Q:
A: a
Q:
A: b
Q:
A: c
Q:
A: c
Q:
A: b
Q:
A: c
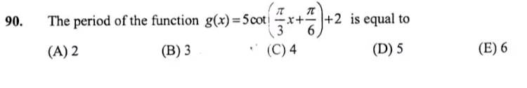
Q:
A: e
Q:
A: e
Q:
A: b
Q:
A: a
Q:
A: e
Q:
A: a
Q:
A: a
Q:
A: c
Q:
A: d
Q:
A: b
Q:
A: a
Q:
A: c
Q:
A: e
Q:
A: d
Q:
A: a
Q:
A: e
Q:
A: d
Q:
A: a
Q:
A: e
Q:
A: d
Q:
A: c
Q:
A: d
Q:
A: c
Q:
A: a
Q:
A: e
Q:
A: d
Q:
A: b
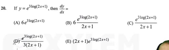
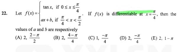
Q:
A: 5
Q:
A: a
Q:
A: b
Q:
A: e
Q:
A: a
Q:
A: c
Q:
A: b
Q:
A: e
Q:
A: d
Q:
A: c
Q:
A: d
Q:
A: e
Q:
A: a
Q:
A: b
Q:
A: d
Q:
A: b
Q:
A: d
Q:
A: d
Q:
A: a
Q:
A: c
Q:
A: a
Q:
A: d
Q:
A: d
Q:
A: d
Q:
A: d
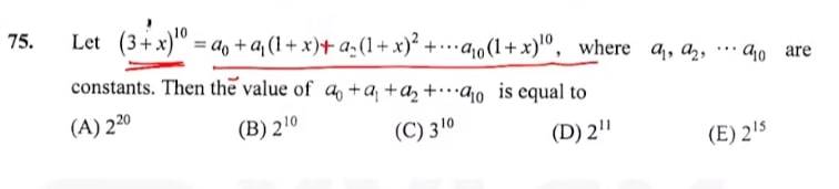
Q:
A: e
Previous Year KEAM Answer Key for Paper 1
Check below the previous year's KEAM 2022 answer key for Maths in the table below:
| Year |
Paper 2 answer key |
|---|---|
| 2021 |
|
| 2020 |
|
| 2019 |
|
| 2018 |
|
| 2017 |
|
| 2016 |
|
| 2015 |
|
| 2014 |
Download here |
Read More:

Currently: Assistant Manager - Content
Role: News & Feature Writer, Content Editor
Expertise: Engineering Education and Counselling
Mamona Majumder specialises in news and feature writing, content editing, and educa
Read Full BioNews & Updates
Explore Other Exams
Feb '26 | TS EAMCET 2026 notification |
Mar '26 | TS EAMCET 2026 application for... |
Mar '26 | CG PET 2026 application form |
May '26 | CG PET 2026 admit card |
29 Oct '25 - 15 Jan '26 | AEEE 2026 Phase 1 Registration |
10 Jan '26 | AEEE 2026 slot booking for pha... |
Mar '26 | AP EAMCET 2026 Application For... |
May '26 | AP EAMCET 2026 Application for... |
Dec '25 | SITEEE 2026 Application Form |
Apr '26 | SITEEE 2026 Admit Card - Test ... |
Nov '25 | WBJEE JELET 2025 result date |
Nov '25 | WBJEE JELET 2025 counselling d... |
Feb '26 | COMEDK application form 2026 |
May '26 | COMEDK exam date 2026 |
Student Forum
Answered a month ago
KEAM cutoff is the last rank at which admission was ceased against a given course and institute.
M
Contributor-Level 6
Answered a month ago
A few days after the KEAM counselling ends, the KEAM last ranks are uploaded for all courses and institutes on the official website of KEAM - cee.kerala.gov.in.
A
Contributor-Level 6
Answered a month ago
CEE will release the complete schedule for KEAM counselling after the KEAM 2026 results are out. The KEAM option registration and allotment will be made available round wise on the official website - cee.kerala.gov.in.
M
Contributor-Level 10
Answered a month ago
CEE will announce the KEAM 2026 candidate response sheet release date after the exam ends. Candidates will be able to access their individual candidate response sheet under their respective logins at cee.kerala.gov.in.
N
Contributor-Level 6
Answered a month ago
The KEAM candidate response sheet is issued to each of the candidates who take the KEAM exam under their respective KEAM candidate login after the exam. The response sheet includes the record of the answers marked by the candidaes on the exam day.
A
Contributor-Level 6
Answered a month ago
No. Since KEAM has transitioned to a computer-based test from 2024, hard copies of the question papers are not provided to the candidates. However, the KEAM question paper PDFs are uploaded on the official website of KEAM after the exam is over.
V
Contributor-Level 6
Answered a month ago
Solving past year papers of KEAM, has the following benefits:
- Candidates get insights into the exam pattern and marking scheme.
- Candidates can analyse the past years papers to identify the high-weightage topics in the exam.
- Previous year papers help the candidates to improve their speed and accuracy.
C
Contributor-Level 6
Answered 2 months ago
For admission into CET Trivandrum BTech courses, students must register and appear for the KEAM exam. It is a state-level entrance exam conducted by CEE Kerala. Students can check below to know the category-wise application fees:
| Category | KEAM Application Fees 2025 |
|---|---|
| General | INR 875 |
| SC | INR 375 |
Note: The above-mentioned application fees is as per official sources.
S
Contributor-Level 10
Answered 2 months ago
KEAM is a state-level entrance examination accepted by many BTech-offering colleges, including CET Trivandrum. As per the KEAM schedule, the exam was held from Apr 22, 2025 to Apr 30, 2025. For the exam session, i.e., 2026, the exam date has not been released yet. However, as per sources collated
S
Contributor-Level 10
Answered 2 months ago
CET Trivandrum only accepts KEAM for admission to its BTech courses. Once students have taken the exam, they are required to take part in KEAM counselling. In this counselling, students are allocated a BTech seat based on scores obtained by them in the aforementioned exam. The college may conduct a
S
Contributor-Level 10

Once the KEAM answer key is made available, candidates can use it to calculate their probable scores in the exam. In order to calculate the probable score in KEAM , candidates can use the below formula: KEAM probable score = 4 X number of correct responses 1X number of incorrect responses Steps to follow: Download the KEAM answer key for papers 1 and 2. Now match the answer key with the answers marked by you in the exam. Count the number of correct answers and the number of wrong ones. Once the number of correct and incorrect answers has been achieved, put them into the above formula.