Candidates can check here JEE Main 2021 session 3 exam live updates on students reaction, answer key, question papers and paper analysis.
The National Testing Agency has released official JEE Main 2021 answer key and question papers for session 3 exam. The facility to challenge JEE Main answer key 2021 has also been opened. Candidates can check JEE Main question paper 2021 and answer key using direct link given below.
Check JEE Main 2021 Official Answer key and Question Papers
NTA conducted day 2 of JEE Main 2021 session 3 exam today, July 22. JEE Main 22 July question papers and answer key with solution by coaching institutes will be available here soon. JEE Main 2021 22 July live updates students reaction, paper analysis, memory based question paper, answer key with solutions can be checked here. JEE Main 2021 July 22 paper was held only in evening shift from 03:00 PM to 06:00 PM. NTA has set up 828 exam centres in 334 cities across India and abroad for JEE Main 3rd attempt 2021 exam. JEE Main 2021 3rd attempt date is July 20, 22, 25 and 27.
Explore colleges based on JEE Main
JEE Main 20 July 2021 question papers, answer key with solution for shift 1 & 2 has been released by several coaching institutes. Candidates can check below JEE Main 2021 answer key and question paper with solution for Physics, Chemistry and Maths. The first day of JEE Main 2021 3rd attempt exam has been conducted on July 20 in two shifts. Students who will be appearing for JEE Main 2021 in the upcoming days can get benefit from students reaction by understanding the difficulty level of exam, their preparation strategy and subject-wise weightage of topics in the exam.
- JEE Main 22 July 2021 Question Paper with Solution- Shift 2
- JEE Main 20 July 2021 Question Paper with Solution- July 20 Shift 1 & 2
- JEE Main 2021 July 20 Shift 2 Analysis
- JEE Main 2021 July 20 Shift 1 Analysis
- JEE Main 2021 July 20 Shift 1 & 2 Students Reaction
- JEE Mains 20 July 2021 Shift-2 Question Paper: Physics
- JEE Mains 20 July 2021 Shift-2 Question Paper: Chemistry
- JEE Main 2021: Important Instruction to candidates
- JEE Main COVID-19 Protocols
JEE Main 22 July 2021 Question Paper with Solution- Shift 2
| JEE Main Date | Shift 2 |
| JEE Main 22 July 2021 Question Paper Answer Key | Physics |
| Chemistry | |
| Maths |
JEE Main 20 July 2021 Question Paper with Solution- July 20 Shift 1 & 2
| JEE Main Date | Shift 1 | Shift 2 |
| JEE Main 20 July 2021 Question Paper Answer Key | Physics | Physics |
| Chemistry | Chemistry | |
| Maths | Math |
JEE Main 2021 July 20 Shift 2 Analysis
- Most students found questions from NCERT
- Overall difficulty level of paper was easy to moderate
- Questions in Physics were more from class 11 topics
JEE Main 2021 July 20 Shift 1 Analysis
Check the JEE Main JUly 2021 exam analysis for Shift 1 below:
- Overall the level of question paper was from easy to moderate
- Chemistry was easier than Physics
- Maths was lengthy
- Basic questions from organic chemistry were asked
- Formula based questions were asked in Physics and Maths
- Most of the questions were from NCERT
- 1 to 2 questions from Biomolecules
- MCQs were asked from organic and inorganic chemistry
- Numerical type questions from Organic Chemistry
- No question was asked from Statistics
- No question of vernier calliper
- Questions of polymer in Chemistry
| JEE Main 20 July 2021 Exam Analysis | |
|---|---|
| Subjects | Difficulty Level |
| Physics | Moderate |
| Chemistry | Easy to Moderate |
| Mathematics | Moderate to Difficult |
JEE Main 2021 July 20 Shift 1 & 2 Students Reaction
Many students have called the difficulty level in line with the previous attempt papers of JEE Main. For today's paper, most students found the physics section to be the hardest. Many questions from Electromagnetism and Rotational motion were also said to be harder. Numerical section of Mathematics section was said to be hard.
As for Chemistry paper, most of the students reported it to be easy and largely from NCERT. Questions from Organic and Physicl Chemistry were equally difficult. A few questions from Mole Concept were said to have lengthy calculation. But most of the students said that the paper was relatively easy.
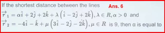
JEE Main 20 July 2021 question paper Maths
JEE Main 2021: Important Instruction to candidates
- Candidates should report to the exam centre as per the reporting time mentioned on their JEE Main admit card 2021.
- Candidates should follow social distancing norms and avoid gathering at the exam centre
- Any prohibited item like mobile phone, watch, calculators should not be carried at the exam centre
- Candidates should wear mask and carry hand sanitizers
- Candidates should carry their admit card, photo ID proof and one photo to the exam centre
JEE Main COVID-19 Protocols
Candidates have to strictly follow all the COVID-19 guidelines mentioned on their JEE Main admit card. It is advised that students maintain a distance of 6 feet with each other at the exam centre, wear face mask and keep sanitizing the hands. Students of morning shifts have started coming to the exam centre early from the morning. The security guards at the JEE Main exam centre are announcing not to gather in groups and follow social distancing norms. The entry to the exam hall has started from 08:00 AM. Students are being frisked without personal touch using hand held metal detectors and temperature of every candidate is checked using thermal gun. Students are also provided a three-ply face mask at the entry date of the exam centre. Hand sanitizers are also placed at the entry gate.
News & Updates
Explore Other Exams
6 Apr '26 - 2 May '26 | JEE Advanced 2026 registration... |
Apr '26 | JEE Advanced 2026 practice tes... |
10 Apr '26 | BITSAT 2026 Admit Card Session... |
15 Apr '26 - 16 Apr '26 | BITSAT 2026 Exam Date Session ... |
3 Nov '25 - 16 Apr '26 | SRMJEEE 2026 Registration (Pha... |
3 Nov '25 - 4 Jun '26 | SRMJEEE 2026 Registration (Pha... |
10 Apr '26 - 13 Apr '26 | COMEDK Form Correction 2026 |
29 Apr '26 - 9 May '26 | COMEDK Admit Card Download 202... |
10 Mar '26 - 8 Apr '26 | WBJEE 2026 application form |
10 Apr '26 - 12 Apr '26 | WBJEE 2026 application form co... |
24 Oct '25 - 12 Apr '26 | VITEEE 2026 application form |
Apr '26 | VITEEE 2026 slot booking |
7 Apr '26 | MHT CET 2026 Final Hall Ticket |
11 Apr '26 - 20 Apr '26 | MHT CET 2026 Date for PCM Grou... |
Student Forum
Answered 11 hours ago
95 percentile
S
Beginner-Level 1
Answered 15 hours ago
If you get above 93 percentile in the 1st or 2nd session of JEE main, take preparation of JEE advanced. You can get IIT's seat through JEE advanced. Or you can also try for NITs. If you are unable to clear the cutoff, you can also give exams for state government colleges and exams for specific colle
T
Beginner-Level 1
Answered Yesterday
Yes, you can take admission in BTech at ABES Engineering College without appearing in JEE Mains. They can take direct admission in the B.Tech programme. Candidates with an Engineering Diploma or a B.Sc degree with a minimum of 45% marks are eligible.
R
Contributor-Level 10
Answered Yesterday
The I2IT Pune JEE Main cutoff 2025 was released in the form of ranks for the All India categories. For the General AI category, the BE in the Computer Engineering branch had the overall cutoff ranging from 42136 in the first round to 52834 in the last round. Hence, General AI students needed to atta
N
Contributor-Level 10
Answered Yesterday
The selection process for the All India quota students is based on their JEE Main ranks. Students who want admission to I2IT Pune need to appear in the CAP counselling process to avail a seat for any BE course.
The minimum rank required for admission was 68635 for the General AI category. Hence, stu
N
Contributor-Level 10
Answered Yesterday
The minimum rank required to get admission at I2IT Pune would depend on the category you belong to. The I2IT Pune JEE Main cutoff 2025 for the General AI category says that a rank of at least 61370 is required to be eligible for admission to the BTech in Information Technology department. This categ
N
Contributor-Level 10
Answered Yesterday
Students who attempted the JEE Main should start preparing for the JEE Advanced entrance examination if they want admission at IITs. Those who score above the 98th percentile in JEE Main session 2 should start to study for the JEE Advanced exam.
Students who get around the 95th and 98th percentile
N
Contributor-Level 10
Answered 2 days ago
As of now, the easiest shift of JEE Main 2026 April session was the April 4 shift 2 exam.
C
Contributor-Level 7
Answered 2 days ago
No, JEE Main is not compulsory for Intellipaat School of Technology, Pune BTech admissions. The institute conducts an in-house test based on which seats are given. Aspirants have to appear for the ISTEE to get admission in the institute.
A
Contributor-Level 10
Answered 3 days ago
Yes, MITS Deemed to be University accepts valid score in JEE (Main) for admission in its BTech programme. Students can also choose take the MITSUCET instead which is conducted by the university for BTech admission.
S
Contributor-Level 10
Exam On - 2 Apr '26 - 8 Apr '26


Engineering Education & Entrance Exam Expert
Role: Senior News Writer & Content Editor, Shiksha.com
Education: B.Tech in Mechanical Engineering [IET], MA Education Philosophy
Satyendra Singh is an Engineering gradua
Read Full Bio